100% de satisfacción garantizada Inmediatamente disponible después del pago Tanto en línea como en PDF No estas atado a nada 4,6 TrustPilot
logo-home
Examen

ATI PHARMACOLOGY 2019 PROCTORED EXAM UPDATED 2024/A+ GRADE

Puntuación
-
Vendido
-
Páginas
43
Grado
A+
Subido en
12-01-2024
Escrito en
2023/2024

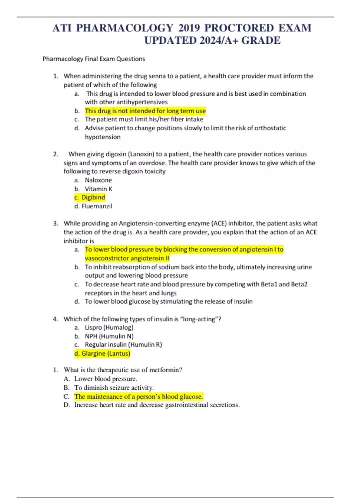
Pharmacology Final Exam Questions 1. When administering the drug senna to a patient, a health care provider must inform the patient of which of the following a. This drug is intended to lower blood pressure and is best used in combination with other antihypertensives b. This drug is not intended for long term use c. The patient must limit his/her fiber intake d. Advise patient to change positions slowly to limit the risk of orthostatic hypotension 2. When giving digoxin (Lanoxin) to a patient, the health care provider notices various signs and symptoms of an overdose. The health care provider knows to give which of the following to reverse digoxin toxicity a. Naloxone b. Vitamin K c. Digibind d. Fluemanzil 3. While providing an Angiotensin-converting enzyme (ACE) inhibitor, the patient asks what the action of the drug is. As a health care provider, you explain that the action of an ACE inhibitor is a. To lower blood pressure by blocking t

Mostrar más Leer menos
Institución
ATI PHARMACOLOGY 2019
Grado
ATI PHARMACOLOGY 2019











Ups! No podemos cargar tu documento ahora. Inténtalo de nuevo o contacta con soporte.

Escuela, estudio y materia

Institución
ATI PHARMACOLOGY 2019
Grado
ATI PHARMACOLOGY 2019

Información del documento

Subido en
12 de enero de 2024
Número de páginas
43
Escrito en
2023/2024
Tipo
Examen
Contiene
Preguntas y respuestas

Temas

$14.49
Accede al documento completo:

100% de satisfacción garantizada
Inmediatamente disponible después del pago
Tanto en línea como en PDF
No estas atado a nada

Conoce al vendedor

Seller avatar
Los indicadores de reputación están sujetos a la cantidad de artículos vendidos por una tarifa y las reseñas que ha recibido por esos documentos. Hay tres niveles: Bronce, Plata y Oro. Cuanto mayor reputación, más podrás confiar en la calidad del trabajo del vendedor.
Gradesway Johns Hopkins University School Of Nursing
Seguir Necesitas iniciar sesión para seguir a otros usuarios o asignaturas
Vendido
81
Miembro desde
2 año
Número de seguidores
32
Documentos
1678
Última venta
2 semanas hace
TOP NOTCH HOMEWORK AND TUTORING ASSISTANCE ,ALL KIND OF QUIZ,STUDY GUIDES, EXAMS AND RETAKE PAPERS WITH GUARANTEE OF A PASS

I'm an expert on major courses especially; psychology, Nursing, Human resource Management . Assisting students with quality work is my first priority. I ensure scholarly standards in my documents which gives you an assurance that you'll get the top score grade once you consume my knowledge. All my papers are latest updates and you can rest assured of success. I wish you all the best in your studies.

3.8

13 reseñas

5
7
4
0
3
3
2
2
1
1

Recientemente visto por ti

Por qué los estudiantes eligen Stuvia

Creado por compañeros estudiantes, verificado por reseñas

Calidad en la que puedes confiar: escrito por estudiantes que aprobaron y evaluado por otros que han usado estos resúmenes.

¿No estás satisfecho? Elige otro documento

¡No te preocupes! Puedes elegir directamente otro documento que se ajuste mejor a lo que buscas.

Paga como quieras, empieza a estudiar al instante

Sin suscripción, sin compromisos. Paga como estés acostumbrado con tarjeta de crédito y descarga tu documento PDF inmediatamente.

Student with book image

“Comprado, descargado y aprobado. Así de fácil puede ser.”

Alisha Student

Preguntas frecuentes