100% de satisfacción garantizada Inmediatamente disponible después del pago Tanto en línea como en PDF No estas atado a nada 4,6 TrustPilot
logo-home
Examen

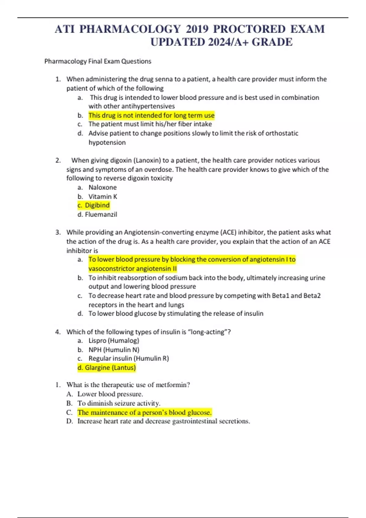
ATI PHARMACOLOGY 2019 PROCTORED EXAM UPDATED 2024/A+ GRADE

Puntuación
-
Vendido
-
Páginas
43
Grado
A+
Subido en
08-01-2024
Escrito en
2023/2024

ATI PHARMACOLOGY 2019 PROCTORED EXAM UPDATED 2024/A+ GRADE

Institución
ATI PHARMACOLOGY 2019
Grado
ATI PHARMACOLOGY 2019











Ups! No podemos cargar tu documento ahora. Inténtalo de nuevo o contacta con soporte.

Escuela, estudio y materia

Institución
ATI PHARMACOLOGY 2019
Grado
ATI PHARMACOLOGY 2019

Información del documento

Subido en
8 de enero de 2024
Número de páginas
43
Escrito en
2023/2024
Tipo
Examen
Contiene
Preguntas y respuestas

Temas

$12.99
Accede al documento completo:

100% de satisfacción garantizada
Inmediatamente disponible después del pago
Tanto en línea como en PDF
No estas atado a nada

Conoce al vendedor

Seller avatar
Los indicadores de reputación están sujetos a la cantidad de artículos vendidos por una tarifa y las reseñas que ha recibido por esos documentos. Hay tres niveles: Bronce, Plata y Oro. Cuanto mayor reputación, más podrás confiar en la calidad del trabajo del vendedor.
Excellencehighway West Coast University
Seguir Necesitas iniciar sesión para seguir a otros usuarios o asignaturas
Vendido
127
Miembro desde
2 año
Número de seguidores
29
Documentos
1705
Última venta
1 mes hace
Your One-Stop Shop for Exam Success!

Welcome to your premier destination for all your exam needs! Here, we understand the importance of academic success, and our store is designed to make your exam preparation a breeze.

3.6

11 reseñas

5
5
4
1
3
2
2
2
1
1

Recientemente visto por ti

Por qué los estudiantes eligen Stuvia

Creado por compañeros estudiantes, verificado por reseñas

Calidad en la que puedes confiar: escrito por estudiantes que aprobaron y evaluado por otros que han usado estos resúmenes.

¿No estás satisfecho? Elige otro documento

¡No te preocupes! Puedes elegir directamente otro documento que se ajuste mejor a lo que buscas.

Paga como quieras, empieza a estudiar al instante

Sin suscripción, sin compromisos. Paga como estés acostumbrado con tarjeta de crédito y descarga tu documento PDF inmediatamente.

Student with book image

“Comprado, descargado y aprobado. Así de fácil puede ser.”

Alisha Student

Preguntas frecuentes