100% de satisfacción garantizada Inmediatamente disponible después del pago Tanto en línea como en PDF No estas atado a nada 4.2 TrustPilot
logo-home
Resumen

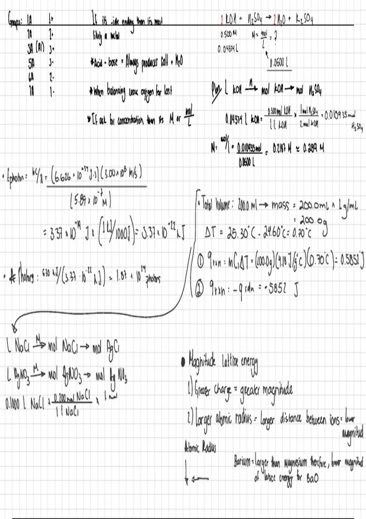
Summary Review for Final Exam Chemistry 1 with solutions and notes

Puntuación
-
Vendido
-
Páginas
3
Subido en
13-11-2023
Escrito en
2022/2023

This document just had a lot of important notes, important definitions, and lots of examples, and everything is clean and well-made in order to keep everything from being confusing as long as you understand everything up until this point. There are some explanations but this is from the point of view of an average person that just happened to get an A in the class and pass the final for General Chemistry 1 with a %90.

Mostrar más Leer menos
Institución
Grado








Ups! No podemos cargar tu documento ahora. Inténtalo de nuevo o contacta con soporte.

Libro relacionado

Escuela, estudio y materia

Institución
Grado

Información del documento

¿Un libro?
Subido en
13 de noviembre de 2023
Número de páginas
3
Escrito en
2022/2023
Tipo
Resumen

Temas

$10.14
Accede al documento completo:

100% de satisfacción garantizada
Inmediatamente disponible después del pago
Tanto en línea como en PDF
No estas atado a nada


Documento también disponible en un lote

Conoce al vendedor

Seller avatar
Los indicadores de reputación están sujetos a la cantidad de artículos vendidos por una tarifa y las reseñas que ha recibido por esos documentos. Hay tres niveles: Bronce, Plata y Oro. Cuanto mayor reputación, más podrás confiar en la calidad del trabajo del vendedor.
nelsondiaz Browad College
Seguir Necesitas iniciar sesión para seguir a otros usuarios o asignaturas
Vendido
19
Miembro desde
2 año
Número de seguidores
6
Documentos
47
Última venta
3 meses hace

5.0

5 reseñas

5
5
4
0
3
0
2
0
1
0

Recientemente visto por ti

Por qué los estudiantes eligen Stuvia

Creado por compañeros estudiantes, verificado por reseñas

Calidad en la que puedes confiar: escrito por estudiantes que aprobaron y evaluado por otros que han usado estos resúmenes.

¿No estás satisfecho? Elige otro documento

¡No te preocupes! Puedes elegir directamente otro documento que se ajuste mejor a lo que buscas.

Paga como quieras, empieza a estudiar al instante

Sin suscripción, sin compromisos. Paga como estés acostumbrado con tarjeta de crédito y descarga tu documento PDF inmediatamente.

Student with book image

“Comprado, descargado y aprobado. Así de fácil puede ser.”

Alisha Student

Preguntas frecuentes