100% de satisfacción garantizada Inmediatamente disponible después del pago Tanto en línea como en PDF No estas atado a nada 4,6 TrustPilot
logo-home
Resumen

Samenvatting Algemene psychologie 1ste Bachelor Orthopedagogie 17/20

Puntuación
4.5
(2)
Vendido
4
Páginas
85
Subido en
07-10-2023
Escrito en
2021/2022

Dit document bevat een ruime samenvatting over het OPO Algemene psychologie. De samenvatting bestaat uit hoorcolleges, notities, casussen en extra oefeningen.

Institución
Grado











Ups! No podemos cargar tu documento ahora. Inténtalo de nuevo o contacta con soporte.

Escuela, estudio y materia

Institución
Estudio
Grado

Información del documento

Subido en
7 de octubre de 2023
Número de páginas
85
Escrito en
2021/2022
Tipo
Resumen

Temas

Vista previa del contenido

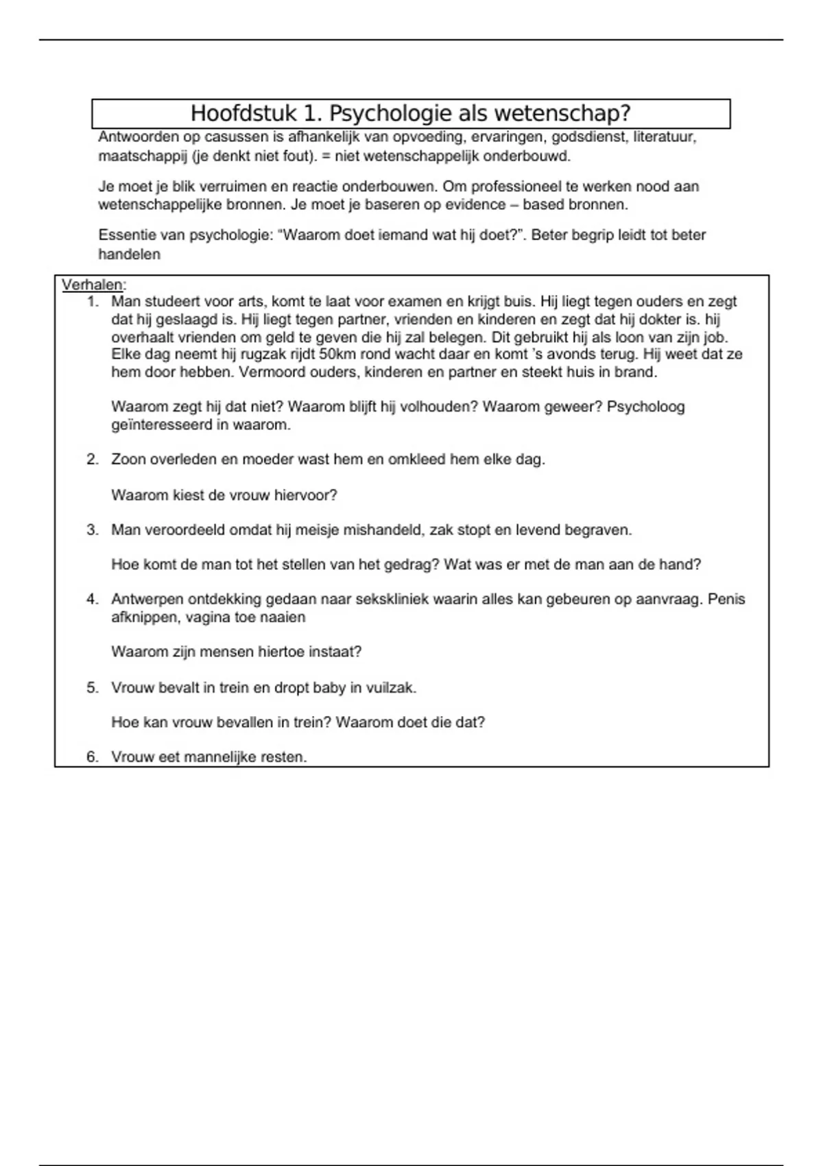
Hoofdstuk 1. Psychologie als wetenschap?
Antwoorden op casussen is afhankelijk van opvoeding, ervaringen, godsdienst, literatuur,
maatschappij (je denkt niet fout). = niet wetenschappelijk onderbouwd.
Je moet je blik verruimen en reactie onderbouwen. Om professioneel te werken nood aan
wetenschappelijke bronnen. Je moet je baseren op evidence – based bronnen.
Essentie van psychologie: “Waarom doet iemand wat hij doet?”. Beter begrip leidt tot beter
handelen

Verhalen:
1. Man studeert voor arts, komt te laat voor examen en krijgt buis. Hij liegt tegen ouders en zegt
dat hij geslaagd is. Hij liegt tegen partner, vrienden en kinderen en zegt dat hij dokter is. hij
overhaalt vrienden om geld te geven die hij zal belegen. Dit gebruikt hij als loon van zijn job.
Elke dag neemt hij rugzak rijdt 50km rond wacht daar en komt ’s avonds terug. Hij weet dat ze
hem door hebben. Vermoord ouders, kinderen en partner en steekt huis in brand.

Waarom zegt hij dat niet? Waarom blijft hij volhouden? Waarom geweer? Psycholoog
geïnteresseerd in waarom.

2. Zoon overleden en moeder wast hem en omkleed hem elke dag.

Waarom kiest de vrouw hiervoor?

3. Man veroordeeld omdat hij meisje mishandeld, zak stopt en levend begraven.

Hoe komt de man tot het stellen van het gedrag? Wat was er met de man aan de hand?

4. Antwerpen ontdekking gedaan naar sekskliniek waarin alles kan gebeuren op aanvraag. Penis
afknippen, vagina toe naaien

Waarom zijn mensen hiertoe instaat?

5. Vrouw bevalt in trein en dropt baby in vuilzak.

Hoe kan vrouw bevallen in trein? Waarom doet die dat?

6. Vrouw eet mannelijke resten.

,Waarom doen mensen wat ze (niet) doen?

Biopsychosociaalmodel:

- Bio: biologische basis van het gedrag
Vb. eet broodje want men heeft honger, lichaam eerste bron van het gedrag. Als je
ziek bent stel je ander gedrag, syndroom van down, oorzaak in genetica

- Psycho:
1. verschillende scholen:
 psychodynamisch
 behavioristisch
 humanistisch
 cognitief
 positief-psychologsich
2. ontwikkelingsfase
3. psychische stoornis
Vb. binnenkant, , cognitieve ontwikkeling, geest zegt iets
Vb. kind botst tegen tafel en zegt stoute tafel maar als 18-jarige zegt men dit niet.

- Sociaal:
Omgeving, groepsdruk
Men rookt omdat het lichaam het vraagt (bio), roken is stoer (psycho) en ik rook omdat al
mijn vrienden roken (sociaal).


Psychologen streven naar inzicht in menselijk functioneren. Mensen stellen vreemd gedrag
en we zoeken naar oorzaken.
Doelstelling:
- Beschrijven: Wat doet iemand?
- Verklaren: Waarom doet iemand wat hij doet?
- Voorspellen: Welke richting gaat iemand uit?
- Beïnvloeden: Hoe kan ik iemand iets anders laten doen?


Persoonlijke doelstellingen:
- Begrijpen: stilstaan, nadenken, niet misprijzen of goedkeuren, kijken naar mensen en
vragen stellen
- Moeilijk

, Hoofdstuk 2. Gedrag als onderwerp van
psychologie?
1 Definitie van gedrag
Psychologie is de wetenschap die gedrag van mensen bestudeert. Waarom doen mensen
wat ze (niet) doen?
Niet enkel wat mensen doen, maar ook hoe ze zich voelen, wat ze denken en hoe ze tot een
beslissing komen.
Men kijkt naar de algemene kenmerken van menselijk gedrag, maar ook naar verschillen,
naar individuen en groepen, naar problematisch en normaal gedrag.
Gedrag =
1. Waarneembaar gedrag: uiterlijk, handelingen
Vb. stofzuigen, fietsen, slapen, vechten

2. Innerlijk gedrag: binnenkant: gedachten, gevoelens, dromen, emoties.
Het is niet altijd zichtbaar voor een ander

Dromen: in je hoofd verzameling van herinneringen en ervaringen en die komen
tijdens een droom samen. Freud zegt dat dromen een verlangen uitdrukt. Alles wat
rechtop staat verwijst naar het mannelijk geslacht. Trappen, vliegtuigen hebben een
seksuele benadering.

3. Onbewust gedrag: plotseling, geen weet waar het vandaan komt, automatisch
Vb. het meisje weent plots.


2 Aangeboren gedrag VS aangeleerd gedrag
Ons gedrag wordt bepaald door erfelijke factoren (nature) of omgevingsfactoren (nurture).
Hoe is je eigen persoonlijkheid ontstaan? Waarom ben je wie je bent? Ben je daarmee
geboren? Lag alles bij de geboorte klaar?
Of
Ligt het aan de omgeving? De opvoeding die ik kreeg? De hobby die ik heb? De vrienden die
ik heb gemaakt? Is er sprake van een tabula rasa? Het witte blad en iedereen schrijft er iets
op.
We worden vorm gegeven door 2 factoren: erfelijke en omgevingsfactoren.
Verschillende paradigma’s hebben hun overtuigingen:
- Behavioristen: elk gedrag wordt bepaald door omgevingsfactoren, alles is te leren
Veel discussie over de relaties tussen erfelijkheid en omgeving. Wat zorgt voor wat? Heeft
maatschappelijke gevolgen?

, Homoseksualiteit: aangeleerd of aangeboren?
Wie heeft gezegd op wie je verliefd moet worden? Meisjes vallen op jongens? Wie meegegeven? Waar komt het
vandaan?
Als homo een keuze is: is het nurture: het is dus aangeleerd en kan men dus ook afleren.
Seksuele voorkeur: aangeleerd of aangeboren?
Nature: je wordt ermee geboren. Hetzelfde als de kleur van je ogen. Kleur van de ogen kunnen we wel maskeren.
Acteurs kunnen hun ogen door daar iets over te plakken van bruin naar blauw veranderen (=maskeren). Maar we
kunnen de kleur van de ogen niet veranderen.
Dus homo kan men maskeren maar niet veranderen. We kunnen proberen dat hij dat gedrag niet meer stelt maar
gaat het niet volledig kunnen afleren.
Criminaliteit: aangeleerd of aangeboren?
Als criminaliteit aangeboren is werkt therapie niet.
Als criminaliteit is aangeleerd kunnen we het dus ook afleren.


Jaren 70: mensen zijn kneedbaar, maakbare samenleving, mensen blijven veranderen.
2000: das niet waar mensen zijn niet kneedbaar
- Universiteit van Amsterdam: wat is verantwoordelijk voor wat?
- Communicatie: word je met de stem geboren? NEE.
- 85% bepaalt door omgeving
- Je hebt geleerd om hard of zacht te praten. Het komt door opvoeding, vrienden,…
- Voedselvoorkeur: is 56% bepaalt door omgeving. Ik krijg spruitjes niet binnen omdat
mijn ouders me niet dwingen het te eten. 44% is aangeboren.
- ADHD: 68% aangeboren, men kan beetje corrigeren door opvoeding.
We zijn product van natuur en cultuur.



2.1 Historisch
Discussiedebat: nature of nurture.
Het innemen van een bepaald standpunt maakt een aantal ‘ingrepen’ of beslissingen
imminent.

Nature:
- Al het gedrag is aangeboren
- Alles zit in u
- Men moet letterlijk nog groeien en rijpen maar alles is aanwezig maar misschien nog niet zichtbaar
- Typologische benaderingen als deze roepen weerstand op.
- Nazi’s: alles is aangeboren, dus ook het feit dat we zwak zijn of een beperking hebben. 1 manier om dit te
kunnen vermijden is zorgen dat deze mensen zich niet vermenigvuldigen en dus voortplanten.
- Eugenetica
 Toestemming geven om zich voor te platen.
 Een verbetering van de psychische mogelijkheden van de menselijke soort door selectieve
voorplanting
 Meisjes met blond haar en blauwe ogen gaan zich voortplanten met een jongen die sterk is en
blond haar heeft. = creëren van ideale soort
 Mensen met een beperking moeten we vermijden -> gesteriliseerd. Ze kunnen zich niet
vermenigvuldigen.
 Dit wordt ook gedaan bij dieren om de ideale soort te creëren met de gewenste eigenschappen
 Alleen de beste mogen zich voortplanten
$8.37
Accede al documento completo:

100% de satisfacción garantizada
Inmediatamente disponible después del pago
Tanto en línea como en PDF
No estas atado a nada


Documento también disponible en un lote

Reseñas de compradores verificados

Se muestran los 2 comentarios
11 meses hace

1 año hace

4.5

2 reseñas

5
1
4
1
3
0
2
0
1
0
Reseñas confiables sobre Stuvia

Todas las reseñas las realizan usuarios reales de Stuvia después de compras verificadas.

Conoce al vendedor

Seller avatar
Los indicadores de reputación están sujetos a la cantidad de artículos vendidos por una tarifa y las reseñas que ha recibido por esos documentos. Hay tres niveles: Bronce, Plata y Oro. Cuanto mayor reputación, más podrás confiar en la calidad del trabajo del vendedor.
StudentOrthoMVN Odisee Hogeschool
Seguir Necesitas iniciar sesión para seguir a otros usuarios o asignaturas
Vendido
47
Miembro desde
2 año
Número de seguidores
8
Documentos
16
Última venta
7 meses hace

4.7

9 reseñas

5
6
4
3
3
0
2
0
1
0

Por qué los estudiantes eligen Stuvia

Creado por compañeros estudiantes, verificado por reseñas

Calidad en la que puedes confiar: escrito por estudiantes que aprobaron y evaluado por otros que han usado estos resúmenes.

¿No estás satisfecho? Elige otro documento

¡No te preocupes! Puedes elegir directamente otro documento que se ajuste mejor a lo que buscas.

Paga como quieras, empieza a estudiar al instante

Sin suscripción, sin compromisos. Paga como estés acostumbrado con tarjeta de crédito y descarga tu documento PDF inmediatamente.

Student with book image

“Comprado, descargado y aprobado. Así de fácil puede ser.”

Alisha Student

Preguntas frecuentes