100% de satisfacción garantizada Inmediatamente disponible después del pago Tanto en línea como en PDF No estas atado a nada 4,6 TrustPilot
logo-home
Examen

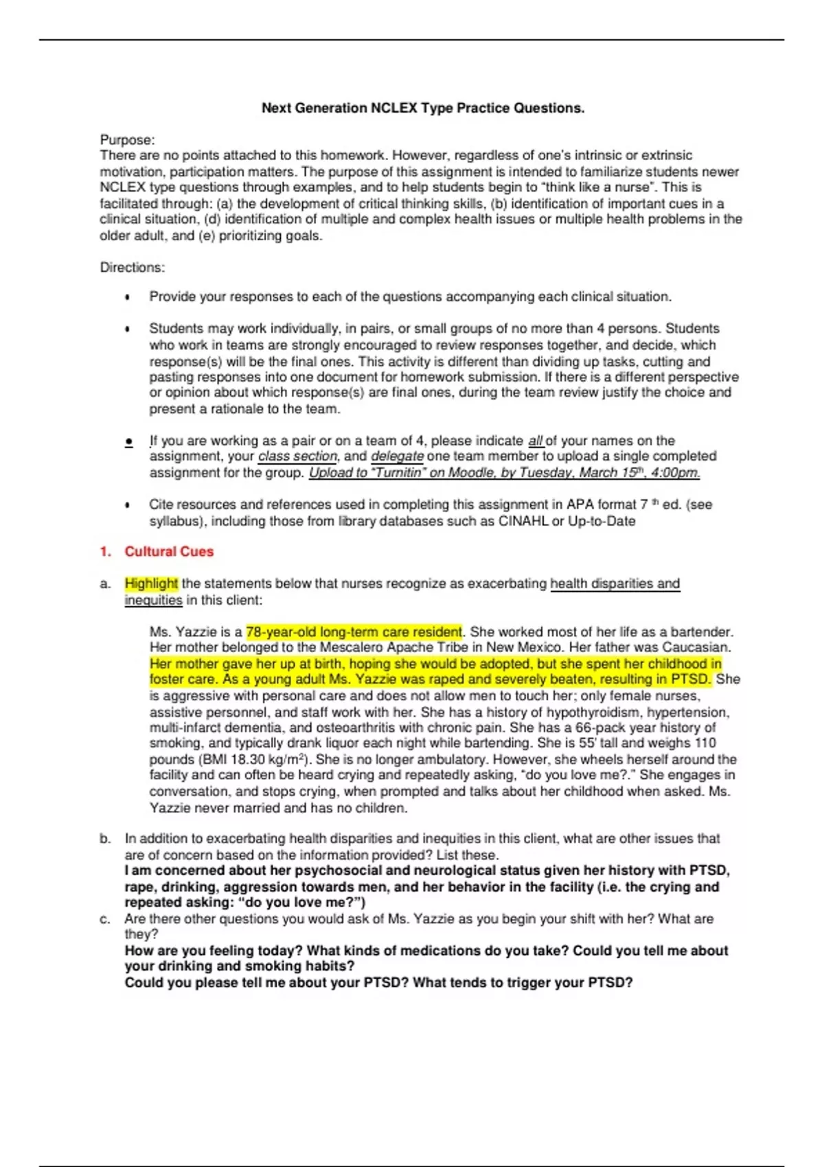
Next Generation NCLEX Questions.

Puntuación
-
Vendido
-
Páginas
9
Grado
A+
Subido en
28-09-2023
Escrito en
2023/2024

Next Generation NCLEX Questions.

Institución
HESI
Grado
HESI









Ups! No podemos cargar tu documento ahora. Inténtalo de nuevo o contacta con soporte.

Escuela, estudio y materia

Institución
HESI
Grado
HESI

Información del documento

Subido en
28 de septiembre de 2023
Número de páginas
9
Escrito en
2023/2024
Tipo
Examen
Contiene
Preguntas y respuestas

Temas

$15.49
Accede al documento completo:

100% de satisfacción garantizada
Inmediatamente disponible después del pago
Tanto en línea como en PDF
No estas atado a nada

Conoce al vendedor

Seller avatar
Los indicadores de reputación están sujetos a la cantidad de artículos vendidos por una tarifa y las reseñas que ha recibido por esos documentos. Hay tres niveles: Bronce, Plata y Oro. Cuanto mayor reputación, más podrás confiar en la calidad del trabajo del vendedor.
Bennie101 University Of New Orleans
Seguir Necesitas iniciar sesión para seguir a otros usuarios o asignaturas
Vendido
39
Miembro desde
2 año
Número de seguidores
32
Documentos
1078
Última venta
3 meses hace
Bennie

MATERIALS – NOTES, PAST PAPERS AND SYLLABUSES ... curated content by giving you the best simplified study materials and revision papers for your exams

4.2

10 reseñas

5
6
4
2
3
1
2
0
1
1

Documentos populares

Recientemente visto por ti

Por qué los estudiantes eligen Stuvia

Creado por compañeros estudiantes, verificado por reseñas

Calidad en la que puedes confiar: escrito por estudiantes que aprobaron y evaluado por otros que han usado estos resúmenes.

¿No estás satisfecho? Elige otro documento

¡No te preocupes! Puedes elegir directamente otro documento que se ajuste mejor a lo que buscas.

Paga como quieras, empieza a estudiar al instante

Sin suscripción, sin compromisos. Paga como estés acostumbrado con tarjeta de crédito y descarga tu documento PDF inmediatamente.

Student with book image

“Comprado, descargado y aprobado. Así de fácil puede ser.”

Alisha Student

Preguntas frecuentes