100% de satisfacción garantizada Inmediatamente disponible después del pago Tanto en línea como en PDF No estas atado a nada 4,6 TrustPilot
logo-home
Examen

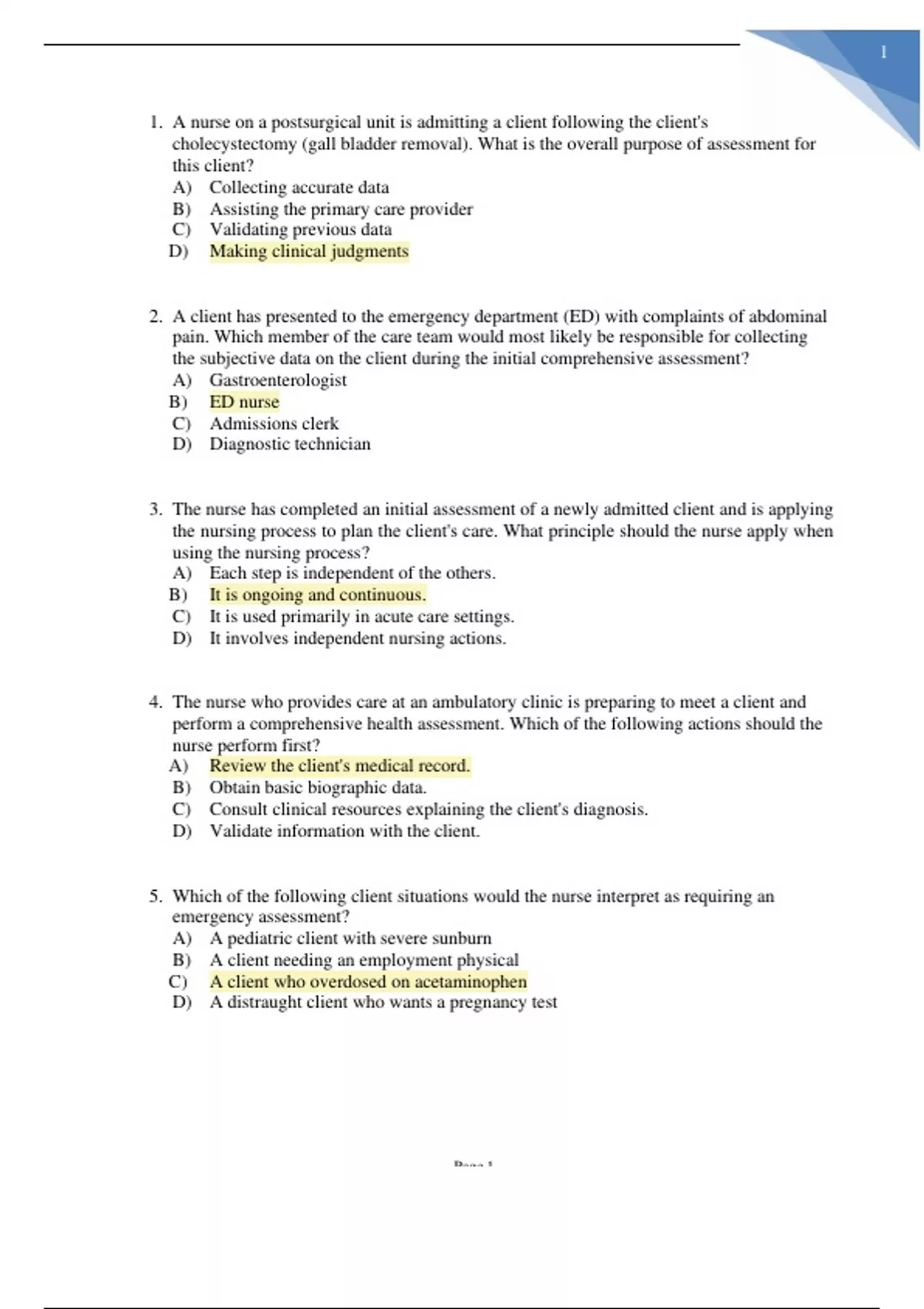
health assessment in nursing 7th edition weber kelley test bank

Puntuación
-
Vendido
-
Páginas
261
Grado
A+
Subido en
21-09-2023
Escrito en
2023/2024

health assessment in nursing 7th edition weber kelley test bank health assessment in nursing 7th edition weber kelley test bank health assessment in nursing 7th edition weber kelley test bank

Institución
NURSING NUR 2092
Grado
NURSING NUR 2092











Ups! No podemos cargar tu documento ahora. Inténtalo de nuevo o contacta con soporte.

Escuela, estudio y materia

Institución
NURSING NUR 2092
Grado
NURSING NUR 2092

Información del documento

Subido en
21 de septiembre de 2023
Número de páginas
261
Escrito en
2023/2024
Tipo
Examen
Contiene
Preguntas y respuestas

Temas

$15.49
Accede al documento completo:

100% de satisfacción garantizada
Inmediatamente disponible después del pago
Tanto en línea como en PDF
No estas atado a nada

Conoce al vendedor

Seller avatar
Los indicadores de reputación están sujetos a la cantidad de artículos vendidos por una tarifa y las reseñas que ha recibido por esos documentos. Hay tres niveles: Bronce, Plata y Oro. Cuanto mayor reputación, más podrás confiar en la calidad del trabajo del vendedor.
professorjm Chamberlian School of Nursing
Seguir Necesitas iniciar sesión para seguir a otros usuarios o asignaturas
Vendido
17
Miembro desde
2 año
Número de seguidores
13
Documentos
1026
Última venta
4 meses hace
Nursing test banks and exams

Nursing course is easy with the right guides and notes. Here you will get documents that will assist you to score grade A+

4.3

3 reseñas

5
1
4
2
3
0
2
0
1
0

Recientemente visto por ti

Por qué los estudiantes eligen Stuvia

Creado por compañeros estudiantes, verificado por reseñas

Calidad en la que puedes confiar: escrito por estudiantes que aprobaron y evaluado por otros que han usado estos resúmenes.

¿No estás satisfecho? Elige otro documento

¡No te preocupes! Puedes elegir directamente otro documento que se ajuste mejor a lo que buscas.

Paga como quieras, empieza a estudiar al instante

Sin suscripción, sin compromisos. Paga como estés acostumbrado con tarjeta de crédito y descarga tu documento PDF inmediatamente.

Student with book image

“Comprado, descargado y aprobado. Así de fácil puede ser.”

Alisha Student

Preguntas frecuentes