100% de satisfacción garantizada Inmediatamente disponible después del pago Tanto en línea como en PDF No estas atado a nada 4,6 TrustPilot
logo-home
Examen

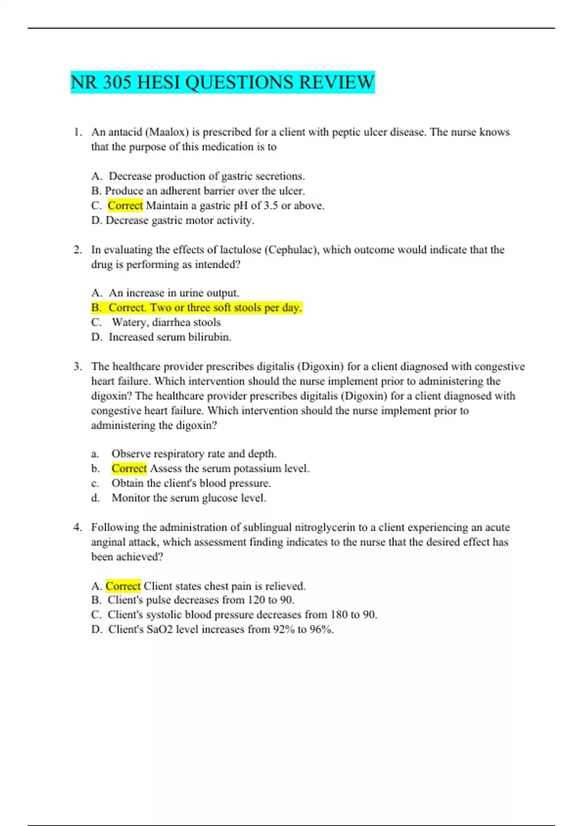
NR 305 HESI QUESTIONS REVIEW (Latest 2023/2024) Verified Answers

Puntuación
-
Vendido
-
Páginas
12
Grado
A+
Subido en
01-07-2023
Escrito en
2022/2023

NR 305 HESI QUESTIONS REVIEW (Latest 2023/2024) Verified Answers

Institución
Grado









Ups! No podemos cargar tu documento ahora. Inténtalo de nuevo o contacta con soporte.

Escuela, estudio y materia

Institución
Grado

Información del documento

Subido en
1 de julio de 2023
Número de páginas
12
Escrito en
2022/2023
Tipo
Examen
Contiene
Preguntas y respuestas

Temas

$13.99
Accede al documento completo:

100% de satisfacción garantizada
Inmediatamente disponible después del pago
Tanto en línea como en PDF
No estas atado a nada

Conoce al vendedor

Seller avatar
Los indicadores de reputación están sujetos a la cantidad de artículos vendidos por una tarifa y las reseñas que ha recibido por esos documentos. Hay tres niveles: Bronce, Plata y Oro. Cuanto mayor reputación, más podrás confiar en la calidad del trabajo del vendedor.
ExperTutor Chamberlain College Of Nursing
Seguir Necesitas iniciar sesión para seguir a otros usuarios o asignaturas
Vendido
122
Miembro desde
5 año
Número de seguidores
110
Documentos
2329
Última venta
3 meses hace
EXPERT TUTOR

Here to offer you verified content on your Quizzes, Assignments, Midterm and Final Exams.

3.9

18 reseñas

5
7
4
6
3
3
2
1
1
1

Recientemente visto por ti

Por qué los estudiantes eligen Stuvia

Creado por compañeros estudiantes, verificado por reseñas

Calidad en la que puedes confiar: escrito por estudiantes que aprobaron y evaluado por otros que han usado estos resúmenes.

¿No estás satisfecho? Elige otro documento

¡No te preocupes! Puedes elegir directamente otro documento que se ajuste mejor a lo que buscas.

Paga como quieras, empieza a estudiar al instante

Sin suscripción, sin compromisos. Paga como estés acostumbrado con tarjeta de crédito y descarga tu documento PDF inmediatamente.

Student with book image

“Comprado, descargado y aprobado. Así de fácil puede ser.”

Alisha Student

Preguntas frecuentes