100% de satisfacción garantizada Inmediatamente disponible después del pago Tanto en línea como en PDF No estas atado a nada 4,6 TrustPilot
logo-home
Examen

Engineering Electromagnetics – Chapters 2–14 | 1st Edition | Kenneth R. Demarest | Complete Solution Manual

Puntuación
-
Vendido
-
Páginas
110
Grado
A+
Subido en
01-02-2026
Escrito en
2025/2026

This solution manual provides detailed, step-by-step solutions for all chapters (2–14) of Engineering Electromagnetics, 1st Edition by Kenneth R. Demarest. It covers fundamental and advanced topics in electromagnetics including electric fields, magnetic fields, Maxwell’s equations, wave propagation, transmission lines, and boundary value problems. The material is designed to support homework, exam preparation, and a comprehensive understanding of engineering electromagnetics concepts.

Mostrar más Leer menos
Institución
Solution Manual
Grado
Solution Manual

Vista previa del contenido

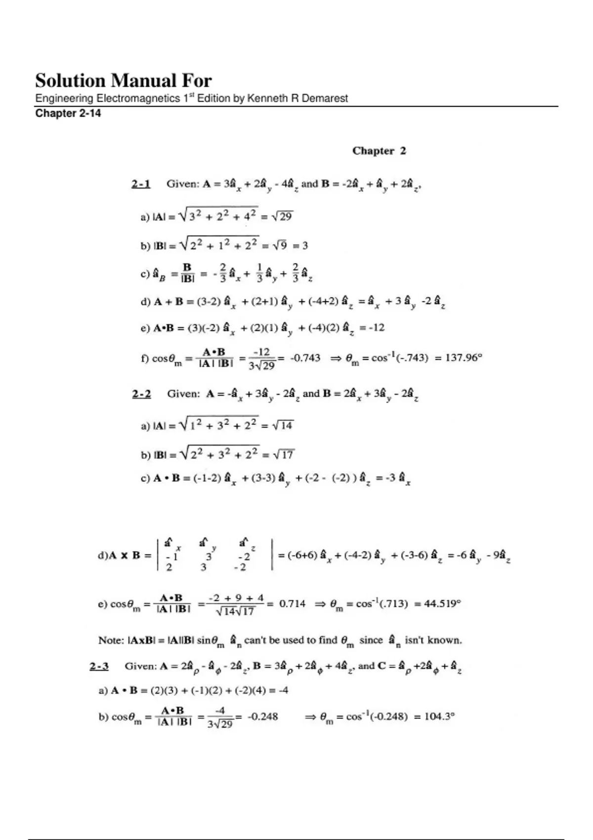
Solution Manual For
Engineering Electromagnetics 1st Edition by Kenneth R Demarest
Chapter 2-14
algebra. Mathematics is crucial in many industries, including engineering, finance, data science, and technology. The primary goal of mathematics exams is to test students' understanding of mathematical concepts,




their problem-solving abilities

,algebra. Mathematics is crucial in many industries, including engineering, finance, data science, and technology. The primary goal of mathematics exams is to test students' understanding of mathematical
concepts, their problem-solving abilities

,algebra. Mathematics is crucial in many industries, including engineering, finance, data science, and technology. The primary goal of mathematics exams is to test students' understanding of mathematical concepts, their
problem-solving abilities

,

Libro relacionado

Escuela, estudio y materia

Institución
Solution Manual
Grado
Solution Manual

Información del documento

Subido en
1 de febrero de 2026
Número de páginas
110
Escrito en
2025/2026
Tipo
Examen
Contiene
Preguntas y respuestas

Temas

$20.98
Accede al documento completo:

100% de satisfacción garantizada
Inmediatamente disponible después del pago
Tanto en línea como en PDF
No estas atado a nada

Conoce al vendedor

Seller avatar
Los indicadores de reputación están sujetos a la cantidad de artículos vendidos por una tarifa y las reseñas que ha recibido por esos documentos. Hay tres niveles: Bronce, Plata y Oro. Cuanto mayor reputación, más podrás confiar en la calidad del trabajo del vendedor.
UKStudent1 Duke University
Seguir Necesitas iniciar sesión para seguir a otros usuarios o asignaturas
Vendido
6
Miembro desde
5 meses
Número de seguidores
0
Documentos
738
Última venta
1 semana hace

4.3

3 reseñas

5
2
4
0
3
1
2
0
1
0

Por qué los estudiantes eligen Stuvia

Creado por compañeros estudiantes, verificado por reseñas

Calidad en la que puedes confiar: escrito por estudiantes que aprobaron y evaluado por otros que han usado estos resúmenes.

¿No estás satisfecho? Elige otro documento

¡No te preocupes! Puedes elegir directamente otro documento que se ajuste mejor a lo que buscas.

Paga como quieras, empieza a estudiar al instante

Sin suscripción, sin compromisos. Paga como estés acostumbrado con tarjeta de crédito y descarga tu documento PDF inmediatamente.

Student with book image

“Comprado, descargado y aprobado. Así de fácil puede ser.”

Alisha Student

Preguntas frecuentes