100% de satisfacción garantizada Inmediatamente disponible después del pago Tanto en línea como en PDF No estas atado a nada 4,6 TrustPilot
logo-home
Examen

2025/ 2026 Chemistry Atoms First 2e Notes | OSX ISM Chapter 3-2, Full Study Guide with Solutions

Puntuación
-
Vendido
-
Páginas
4
Grado
A+
Subido en
27-01-2026
Escrito en
2025/2026

Master Chapter 3-2 of Chemistry Atoms First 2e with this 2025/ 2026 OSX ISM study guide with solution. Perfect for students studying chemical reactions, thermochemistry, and energy changes in molecules:

Institución
Chemistry: Atoms First 2e
Grado
Chemistry: Atoms First 2e








Ups! No podemos cargar tu documento ahora. Inténtalo de nuevo o contacta con soporte.

Escuela, estudio y materia

Institución
Chemistry: Atoms First 2e
Grado
Chemistry: Atoms First 2e

Información del documento

Subido en
27 de enero de 2026
Número de páginas
4
Escrito en
2025/2026
Tipo
Examen
Contiene
Preguntas y respuestas

Temas

Vista previa del contenido

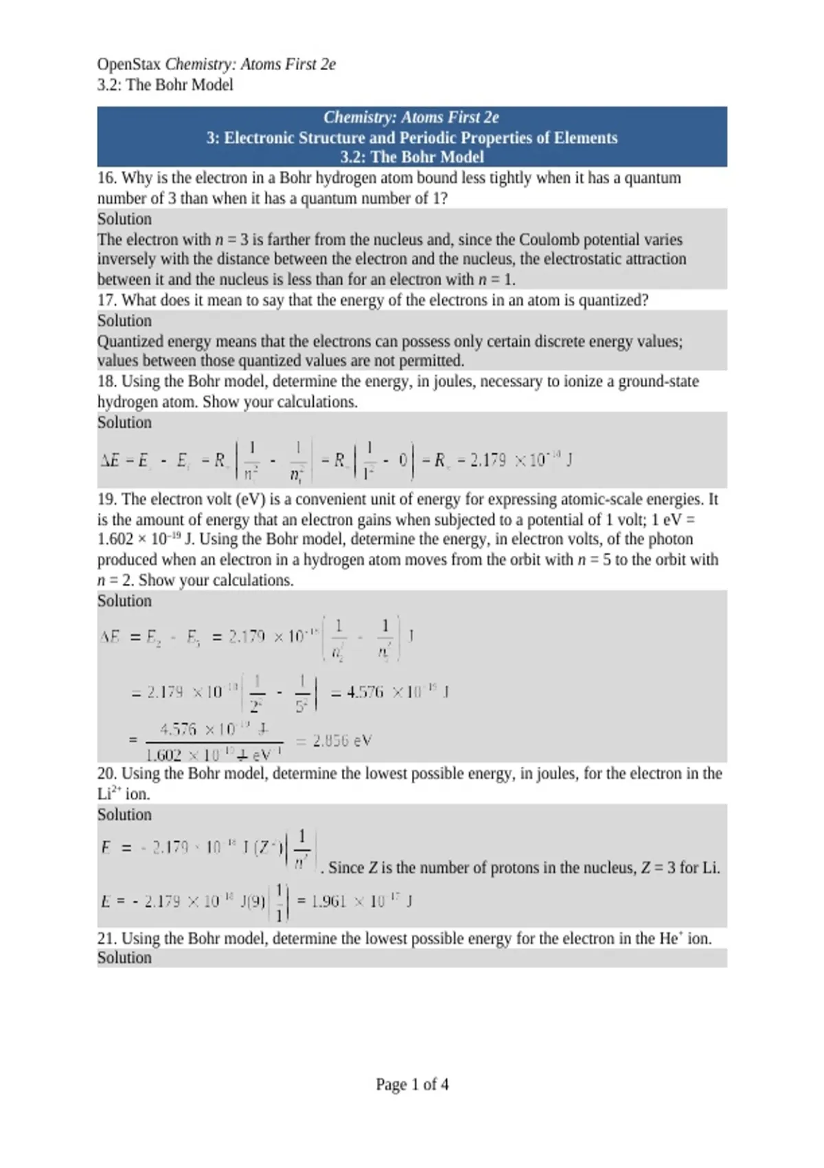
OpenStax Chemistry: Atoms First 2e
3.2: The Bohr Model
Chemistry: Atoms First 2e
3: Electronic Structure and Periodic Properties of Elements
3.2: The Bohr Model
16. Why is the electron in a Bohr hydrogen atom bound less tightly when it has a quantum
number of 3 than when it has a quantum number of 1?
Solution
The electron with n = 3 is farther from the nucleus and, since the Coulomb potential varies
inversely with the distance between the electron and the nucleus, the electrostatic attraction
between it and the nucleus is less than for an electron with n = 1.
17. What does it mean to say that the energy of the electrons in an atom is quantized?
Solution
Quantized energy means that the electrons can possess only certain discrete energy values;
values between those quantized values are not permitted.
18. Using the Bohr model, determine the energy, in joules, necessary to ionize a ground-state
hydrogen atom. Show your calculations.
Solution



19. The electron volt (eV) is a convenient unit of energy for expressing atomic-scale energies. It
is the amount of energy that an electron gains when subjected to a potential of 1 volt; 1 eV =
1.602 × 10–19 J. Using the Bohr model, determine the energy, in electron volts, of the photon
produced when an electron in a hydrogen atom moves from the orbit with n = 5 to the orbit with
n = 2. Show your calculations.
Solution




20. Using the Bohr model, determine the lowest possible energy, in joules, for the electron in the
Li2+ ion.
Solution


. Since Z is the number of protons in the nucleus, Z = 3 for Li.


21. Using the Bohr model, determine the lowest possible energy for the electron in the He+ ion.
Solution




Page 1 of 4
$21.99
Accede al documento completo:

100% de satisfacción garantizada
Inmediatamente disponible después del pago
Tanto en línea como en PDF
No estas atado a nada


Documento también disponible en un lote

Conoce al vendedor

Seller avatar
Los indicadores de reputación están sujetos a la cantidad de artículos vendidos por una tarifa y las reseñas que ha recibido por esos documentos. Hay tres niveles: Bronce, Plata y Oro. Cuanto mayor reputación, más podrás confiar en la calidad del trabajo del vendedor.
masterstudy University of South Africa (Unisa)
Seguir Necesitas iniciar sesión para seguir a otros usuarios o asignaturas
Vendido
1841
Miembro desde
1 año
Número de seguidores
75
Documentos
6523
Última venta
16 horas hace

4.6

294 reseñas

5
233
4
33
3
13
2
8
1
7

Por qué los estudiantes eligen Stuvia

Creado por compañeros estudiantes, verificado por reseñas

Calidad en la que puedes confiar: escrito por estudiantes que aprobaron y evaluado por otros que han usado estos resúmenes.

¿No estás satisfecho? Elige otro documento

¡No te preocupes! Puedes elegir directamente otro documento que se ajuste mejor a lo que buscas.

Paga como quieras, empieza a estudiar al instante

Sin suscripción, sin compromisos. Paga como estés acostumbrado con tarjeta de crédito y descarga tu documento PDF inmediatamente.

Student with book image

“Comprado, descargado y aprobado. Así de fácil puede ser.”

Alisha Student

Preguntas frecuentes