100% de satisfacción garantizada Inmediatamente disponible después del pago Tanto en línea como en PDF No estas atado a nada 4,6 TrustPilot
logo-home
Examen

Advanced Practice Nursing: Essential Knowledge for the Profession (3rd Edition) It is authored by Susan M. DeNisco and Anne M. Barker.

Puntuación
-
Vendido
-
Páginas
195
Grado
A+
Subido en
16-01-2026
Escrito en
2025/2026

Unlock Success with the Official-Style Test Bank for "Advanced Practice Nursing: Essential Knowledge for the Profession" (3rd Edition) Are you a Master’s or DNP student looking to master complex advanced practice concepts and ace your exams? This comprehensive Test Bank for the 3rd Edition of DeNisco and Barker’s Advanced Practice Nursing is the ultimate study tool designed to streamline your preparation and ensure academic excellence. What’s Included? This digital resource provides extensive coverage for all chapters of the textbook, including: NCLEX-Style Questions: Multiple-choice, select-all-that-apply, and scenario-based questions that mirror the rigor of advanced practice exams. Detailed Rationales: In-depth explanations for both correct and incorrect answers to help you understand the why behind the concepts. Comprehensive Coverage: Questions spanning key topics such as Healthcare Policy, Quality Improvement, Ethics, Diversity, Role Transition, and Evidence-Based Practice. Fast & Efficient Study: Organized by chapter to match your syllabus, allowing you to focus on specific areas of weakness.

Mostrar más Leer menos
Institución
Advanced Nursing.
Grado
Advanced nursing.

Vista previa del contenido

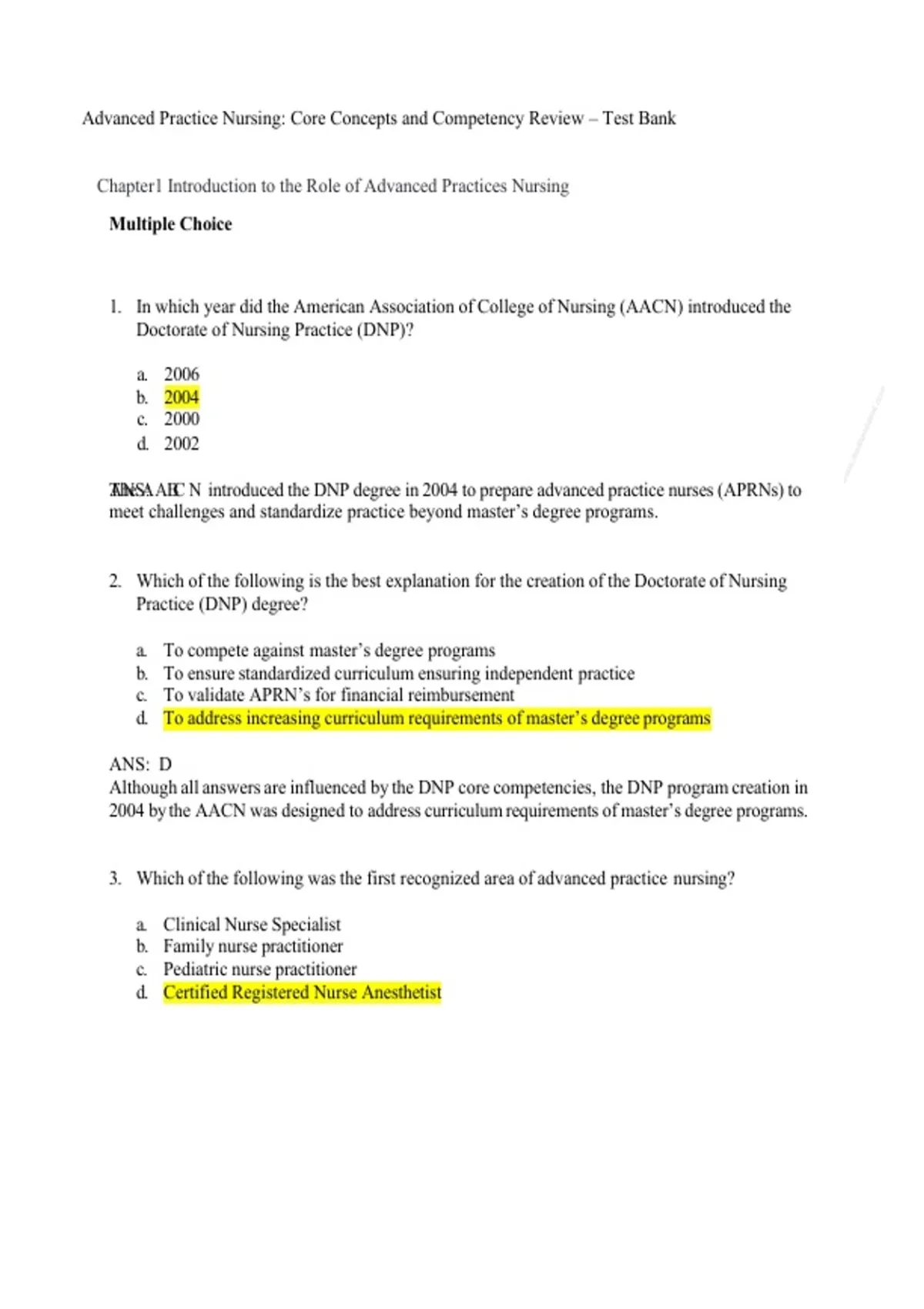
Advanced Practice Nursing: Core Concepts and Competency Review – Test Bank


Chapter1 Introduction to the Role of Advanced Practices Nursing
Multiple Choice



1. In which year did the American Association of College of Nursing (AACN) introduced the
Doctorate of Nursing Practice (DNP)?

a. 2006
b. 2004
c. 2000
d. 2002

T
AhNeSA: ABC N introduced the DNP degree in 2004 to prepare advanced practice nurses (APRNs) to
meet challenges and standardize practice beyond master’s degree programs.


2. Which of the following is the best explanation for the creation of the Doctorate of Nursing
Practice (DNP) degree?

a. To compete against master’s degree programs
b. To ensure standardized curriculum ensuring independent practice
c. To validate APRN’s for financial reimbursement
d. To address increasing curriculum requirements of master’s degree programs

ANS: D
Although all answers are influenced by the DNP core competencies, the DNP program creation in
2004 by the AACN was designed to address curriculum requirements of master’s degree programs.


3. Which of the following was the first recognized area of advanced practice nursing?

a. Clinical Nurse Specialist
b. Family nurse practitioner
c. Pediatric nurse practitioner
d. Certified Registered Nurse Anesthetist

,ANS: D
In 1931, the National Association of Nurse Anesthetists (NANA), renamed in 1939 to the
American Association of Nurse Anesthetists (AANA) was the first recognized group promoting
advanced nursing practice. Agatha Hodgins founded the AANM at Lakeside Hospital in
Cleveland, Ohio.


4. Which factor is broadly perceived to solidify and standardize the role of the APNs over the last
25 years?

a. Lack of access to health care providers
b. Standardized curriculum development
c. Payment for services
d. Societal forces

ANS: B
As the evolution of Advanced Practice Nursing advances specific specialties and needs are
identified. Through the evolution of organization and standardization these roles have solidified
the APN’s role in today’s health care environment.


5. During the formation of early APN roles in anesthesia, which of the following increased
demand for access to health care?

a. Poverty
b. War
c. Rural access to care
d. Availability of training

ANS: B
Earliest demand for nursing-provided anesthesia spiked during periods of war when numbers of
physicians were inadequate. The earliest records date back to the American Civil War with the
administration of chloroform. During World War I in 1917 more than 1000 nurses, some trained
anesthetists, traveled into battle. Other factors such as need for rural health care came later in the
validation and need for APNs.


6. In 1889, Dr. William Worrall Mayo built and opened St. Mary’s hospital in Rochester, NY. He
is known for some of the earliest recruitment and specialized training of nurses in which of the
following roles?

a. Pediatrics
b. Anesthesia
c. Obstetrics
d. Research and statistics
e. Family nursing

,ANS: B
In 1889, Dr. William Worrall Mayo began formally training and recognizing nurse anesthetists.
This has been regarded as the earliest training in nurse-provided anesthesia.


7. In 1893, Lillian Wald established the Henry Street Settlement (HSS) House for which purpose?

a. Access to health care of rural areas
b. Create inner-city nursing awareness
c. Provide the disadvantaged access to care
d. Establish guidelines for advanced nursing roles

ANS: C
The HHS was established to provide nursing services to immigrants and low-income patients and
their families in Manhattan. As resistance to nurse-provided care grew, standing orders were
drafted from a group of Lower East Side physicians thereby circumventing then-existing legal
ramifications.


8. The Frontier Nursing Service (FNS) founded in Kentucky in 1925 by Mary Breckenridge
initiallyprovided Appalachia with nursing resources and which type of advanced nursing care?

a. Pediatric care
b. Anesthesia
c. Midwifery
d. Surgical services

ANS: C
The original FNS provided nursing services and obstetric services to Appalachian residents. Later
working from standard orders developed from their medical advisory committee nurses treated
patients, made diagnoses, and dispensed medications.


9. Which organization founded in 1941 under Mary Breckenridge’s leadership merged with the
American College of Nurse-Midwives (ACNM) in 1969?

a. American Association of Nurse-Midwives (AANM)
b. American Nurses Association (ANA)
c. Association for National Nurse-Midwifery (ANNM)
d. Council of Nursing Midwifery (ANM)

ANS: A
The American College of Nurse-Midwives (ACNM) formed under the leadership of Mary
Breckenridge in 1941 to provide nurse-midwife development and collaboration for midwife

, development. In 1955, the American College of Nurse-Midwives was formed and the two
organizations merged in 1969 after the death of Mary Breckenridge.


10. In a landmark ruling by the Supreme Court as a result of Chalmers-Frances v. Nelson, 1936,
what legal precedent was established?

a. Nurse anesthesia was allowed under the nurse practice act
b. Nurse anesthesia scope of practice included anesthesia
c. Nurse anesthesia was legal, if under guidance of a supervising physician
d. Only trained nursing professionals could administer anesthesia independently

ANS: C
The landmark decision from the Chalmers-Frances v. Nelson case set national precedent for the
advanced nursing practice role. It proved to be the basis for other cases over the following few
decades and established that trained nurses could legally provide anesthesia care under supervision
of a physician.


11. The first known establishment of the nurse practitioner role occurred in 1965 at theUniversity
of Colorado. In which area of training did this role specialize?

a. Pediatrics
b. Geriatrics
c. Midwifery
d. Anesthesia

ANS: A
The establishment of the first pediatric nurse practitioner program was in 1965 at the University
of Colorado. Loretta Ford, RN and Henry Silver, MD provided a 4-month course to certified
registered nurses to provide education on managing childhood health problems.


12. The DNP program curriculum outlined which of the following clinical requirements in an
effort to standardize training?

a. 1000 supervised clinical hours and 200 unsupervised clinical hours
b. 1000 supervised clinical hours
c. 900 supervised clinical hours
d. 800 supervised clinical hours and 200 unsupervised clinical hours

ANS: B
In 2004, the AACN outlined the DNP curriculum in an effort to standardize and relieve challenges
of master’s degree programs. This includes a standardized curriculum requiring 1000 supervised
clinical hours.

Escuela, estudio y materia

Institución
Advanced nursing.
Grado
Advanced nursing.

Información del documento

Subido en
16 de enero de 2026
Número de páginas
195
Escrito en
2025/2026
Tipo
Examen
Contiene
Preguntas y respuestas

Temas

$23.59
Accede al documento completo:

100% de satisfacción garantizada
Inmediatamente disponible después del pago
Tanto en línea como en PDF
No estas atado a nada

Conoce al vendedor
Seller avatar
IngaAcademia

Conoce al vendedor

Seller avatar
IngaAcademia Teachme2-tutor
Seguir Necesitas iniciar sesión para seguir a otros usuarios o asignaturas
Vendido
1
Miembro desde
3 meses
Número de seguidores
0
Documentos
91
Última venta
3 semanas hace

0.0

0 reseñas

5
0
4
0
3
0
2
0
1
0

Recientemente visto por ti

Por qué los estudiantes eligen Stuvia

Creado por compañeros estudiantes, verificado por reseñas

Calidad en la que puedes confiar: escrito por estudiantes que aprobaron y evaluado por otros que han usado estos resúmenes.

¿No estás satisfecho? Elige otro documento

¡No te preocupes! Puedes elegir directamente otro documento que se ajuste mejor a lo que buscas.

Paga como quieras, empieza a estudiar al instante

Sin suscripción, sin compromisos. Paga como estés acostumbrado con tarjeta de crédito y descarga tu documento PDF inmediatamente.

Student with book image

“Comprado, descargado y aprobado. Así de fácil puede ser.”

Alisha Student

Preguntas frecuentes