100% de satisfacción garantizada Inmediatamente disponible después del pago Tanto en línea como en PDF No estas atado a nada 4,6 TrustPilot
logo-home
Examen

Test Bank for Pharmacology: A Patient-Centered Nursing Process Approach 11th Edition by Linda E. McCuistion | Verified Questions and Answers

Puntuación
-
Vendido
-
Páginas
321
Grado
A+
Subido en
15-01-2026
Escrito en
2025/2026

Comprehensive test bank for Pharmacology: A Patient-Centered Nursing Process Approach 11th Edition by Linda E. McCuistion. Includes verified questions and answers covering pharmacologic principles, drug classifications, nursing considerations, patient care, and exam-focused content to support nursing students in mastery and exam preparation.

Mostrar más Leer menos
Institución
Pharmacology A Patient- Centered Nursing Process A
Grado
Pharmacology A Patient- Centered Nursing Process A











Ups! No podemos cargar tu documento ahora. Inténtalo de nuevo o contacta con soporte.

Escuela, estudio y materia

Institución
Pharmacology A Patient- Centered Nursing Process A
Grado
Pharmacology A Patient- Centered Nursing Process A

Información del documento

Subido en
15 de enero de 2026
Número de páginas
321
Escrito en
2025/2026
Tipo
Examen
Contiene
Preguntas y respuestas

Temas

Vista previa del contenido

? Real Exam-Style Questions
? Real
& Answers
Exam-Style
? Verified,
Questions
Accurate,
Page&1?
Answers
and
Exam-Focused
Up-to-Date
? Verified,
Answers
Content
Accurate,
(2026/2027)Page
forand
Maximum
Up-to-Date
Marks
1 Content
of? 321
Trusted
(2026/2027)
by High-Scoring Students Worldwide




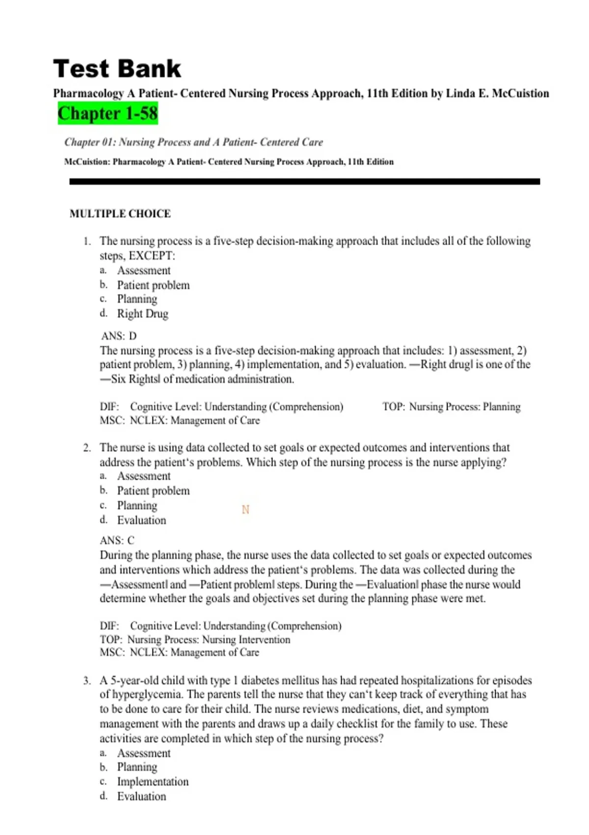
Test Bank
Pharmacology A Patient- Centered Nursing Process Approach, 11th Edition by Linda E. McCuistion
Chapter 1-58
Chapter 01: Nursing Process and A Patient- Centered Care
McCuistion: Pharmacology A Patient- Centered Nursing Process Approach, 11th Edition




MULTIPLE CHOICE

1. The nursing process is a five-step decision-making approach that includes all of the following
steps, EXCEPT:
a. Assessment
b. Patient problem
c. Planning
d. Right Drug
ANS: D
The nursing process is a five-step decision-making approach that includes: 1) assessment, 2)
patient problem, 3) planning, 4) implementation, and 5) evaluation. ―Right drug‖ is one of the
―Six Rights‖ of medication administration.

DIF: Cognitive Level: Understanding (Comprehension) TOP: Nursing Process: Planning
MSC: NCLEX: Management of Care

2. The nurse is using data collected to set goals or expected outcomes and interventions that
address the patient‘s problems. Which step of the nursing process is the nurse applying?
a. Assessment
b. Patient problem
c. Planning N
d. Evaluation
ANS: C
During the planning phase, the nurse uses the data collected to set goals or expected outcomes
and interventions which address the patient‘s problems. The data was collected during the
―Assessment‖ and ―Patient problem‖ steps. During the ―Evaluation‖ phase the nurse would
determine whether the goals and objectives set during the planning phase were met.

DIF: Cognitive Level: Understanding (Comprehension)
TOP: Nursing Process: Nursing Intervention
MSC: NCLEX: Management of Care

3. A 5-year-old child with type 1 diabetes mellitus has had repeated hospitalizations for episodes
of hyperglycemia. The parents tell the nurse that they can‘t keep track of everything that has
to be done to care for their child. The nurse reviews medications, diet, and symptom
management with the parents and draws up a daily checklist for the family to use. These
activities are completed in which step of the nursing process?
a. Assessment
b. Planning
c. Implementation
d. Evaluation
? Comprehensive Coverage?ofReal
All Key
Exam-Style
Topics ?Questions
Clear, Concise,
& Answers
and Easy-to-Understand
? Verified, Accurate,Explanations
and Up-to-Date Content (2026/2027) Page 1 of 321

,? Real Exam-Style Questions
? Real
& Answers
Exam-Style
? Verified,
Questions
Accurate,
Page&2?
Answers
and
Exam-Focused
Up-to-Date
? Verified,
Answers
Content
Accurate,
(2026/2027)Page
forand
Maximum
Up-to-Date
Marks
2 Content
of? 321
Trusted
(2026/2027)
by High-Scoring Students Worldwide
ANS: C

The implementation phase is the part of the nursing process in which the nurse provides
education, drug administration, patient care, and other interventions necessary to assist the
patient in accomplishing established medication goals.

DIF: Cognitive Level: Understanding (Comprehension)
TOP: Nursing Process: Nursing Intervention
MSC: NCLEX: Management of Care

4. The nurse is preparing to administer a medication and reviews the patient‘s chart for drug
allergies, serum creatinine, and blood urea nitrogen (BUN) levels. The nurse‘s actions are
reflective of which phase of the nursing process?
a. Assessment
b. Evaluation
c. Implementation
d. Planning
ANS: A
Assessment involves gathering information about the patient and the drug, including any
previous use of the drug.

DIF: Cognitive Level: Understanding (Comprehension)
TOP: Nursing Process: Assessment MSC: NCLEX: Management of Care

5. Which assessment is categorized as objective data?
a. A list of herbal supplements regularly used
b. Lab values associated with the drugs the patient is taking
c. The ages and relationship to the patient of all household members
d. Usual dietary patterns and fNo o d intake

ANS: B
Objective data are measured and detected by another person and would include lab values.
The other examples are subjective data.

DIF: Cognitive Level: Understanding (Comprehension)
TOP: Nursing Process: Assessment MSC: NCLEX: Management of Care

6. The nurse reviews a patient‘s database and learns that the patient lives alone, is forgetful, and
does not have an established routine. The patient will be sent home with three new
medications to be taken at different times of the day. The nurse develops a daily medication
chart and enlists a family member to put the patient‘s pills in a pill organizer. This is an
example of which phase of the nursing process?
a. Assessment
b. Evaluation
c. Implementation
d. Planning
ANS: C
The implementation phase involves education and patient care in order to assist the patient to
accomplish the goals of treatment.

DIF: Cognitive Level: Applying (Application)
TOP: Nursing Process: Nursing Intervention



? Comprehensive Coverage?ofReal
All Key
Exam-Style
Topics ?Questions
Clear, Concise,
& Answers
and Easy-to-Understand
? Verified, Accurate,Explanations
and Up-to-Date Content (2026/2027) Page 2 of 321

,? Real Exam-Style Questions
? Real
& Answers
Exam-Style
? Verified,
Questions
Accurate,
Page&3?
Answers
and
Exam-Focused
Up-to-Date
? Verified,
Answers
Content
Accurate,
(2026/2027)Page
forand
Maximum
Up-to-Date
Marks
3 Content
of? 321
Trusted
(2026/2027)
by High-Scoring Students Worldwide


MSC: NCLEX: Management of Care

7. A patient who is hospitalized for chronic obstructive pulmonary disease (COPD) wants to go
home. The nurse and the patient discuss the patient‘s situation and decide that the patient may
go home when able to perform self-care without dyspnea and hypoxia. This is an example of
which phase of the nursing process?
a. Assessment
b. Evaluation
c. Implementation
d. Planning
ANS: D
Planning involves goal setting, which, for this patient, means being able to perform self-care
activities without dyspnea and hypoxia.

DIF: Cognitive Level: Understanding (Comprehension) TOP: Nursing Process: Planning
MSC: NCLEX: Management of Care

8. A patient will be sent home with a metered-dose inhaler, and the nurse is providing teaching.
Which is a correctly written goal for this process?
a. The nurse will demonstrate the correct use of a metered-dose inhaler to the patient.
b. The nurse will teach the patient how to administer medication with a metered-dose
inhaler.
c. The patient will know how to self-administer the medication using the
metered-dose inhaler.
d. The patient will independently administer the medication using the metered-dose
inhaler at the end of the session.
N
ANS: D
Goals must be patient-centered and clearly state the outcome with a reasonable deadline and
should identify components for evaluation.

DIF: Cognitive Level: Applying (Application) TOP: Nursing Process: Planning
MSC: NCLEX: Management of Care

9. The nurse is developing a plan of care for a patient who has chronic lung disease and hypoxia.
The patient has been admitted for increased oxygen needs above a baseline of 2 L/min. The
nurse develops a goal stating, ―The patient will have oxygen saturations of >95% on room air
at the time of discharge from the hospital.‖ What is wrong with this goal?
a. It cannot be evaluated.
b. It is not measurable.
c. It is not patient-centered.
d. It is not realistic.

ANS: D
This goal is not realistic because the patient is not usually on room air and should not be
expected to attain that goal by discharge from this hospitalization.

DIF: Cognitive Level: Applying (Application) TOP: Nursing Process: Planning
MSC: NCLEX: Management of Care




? Comprehensive Coverage?ofReal
All Key
Exam-Style
Topics ?Questions
Clear, Concise,
& Answers
and Easy-to-Understand
? Verified, Accurate,Explanations
and Up-to-Date Content (2026/2027) Page 3 of 321

, ? Real Exam-Style Questions
? Real
& Answers
Exam-Style
? Verified,
Questions
Accurate,
Page&4?
Answers
and
Exam-Focused
Up-to-Date
? Verified,
Answers
Content
Accurate,
(2026/2027)Page
forand
Maximum
Up-to-Date
Marks
4 Content
of? 321
Trusted
(2026/2027)
by High-Scoring Students Worldwide


10. The nurse is developing a teaching plan for an elderly patient who will begin taking an
antihypertensive drug that causes dizziness and orthostatic hypotension. Which patient
problem documented by the nurse is appropriate for this patient?
a. Deficient knowledge related to drug side effects
b. Ineffective health maintenance related to age
c. Readiness for enhanced knowledge related to medication side effects
d. Risk for injury related to side effects of the medication
ANS: D
This patient has an increased risk for injury because of drug side effects, so this is an
appropriate patient problem to direct the type of care and follow-up the patient will receive.

DIF: Cognitive Level: Applying (Application)
TOP: Nursing Process: Nursing Diagnosis
MSC: NCLEX: Management of Care

11. An older patient must learn to administer a medication using a device that requires manual
dexterity. The patient becomes frustrated and expresses lack of self-confidence in performing
this task. Which action will the nurse perform next?
a. Ask the patient to keep trying until the skill is learned.
b. Provide written instructions with illustrations showing each step of the skill.
c. Schedule multiple sessions and practice each step separately.
d. Teach the procedure to family members who can administer the medication for the
patient.
ANS: C
Nurses should be sensitive to patient‘s level of frustration when teaching skills. In this case,
breaking the steps down into inNdividual parts will help with this patient‘s frustration level.

DIF: Cognitive Level: Applying (Application) TOP: Nursing Process: Planning
MSC: NCLEX: Management of Care

12. A school-age child will begin taking a medication to be administered at 5 mL three times
daily. The child‘s parent tells the nurse that, with a previous use of the drug, the child
repeatedly forgot to bring the medication home from school, resulting in missed evening
doses. What will the nurse recommend?
a. Asking the provider if the medication may be taken before school, after school,
and at bedtime
b. Putting a note on the child‘s locker to encourage the child to take responsibility for
medication administration
c. Asking the provider if 7.5 mL may be taken in the morning and 7.5 mL may be
taken in the evening so that the correct amount is given daily
d. Taking the noon dose to school every day and giving it to the school nurse to
administer
ANS: C
For busy families with school-age children, it may be necessary to adjust the medication
schedule to one that fits their schedule. The nurse should ask the provider if a revised schedule
is possible. In this case, the most effective revised schedule would involve not taking the
medication while at school. Putting a note on the locker is not likely to be effective. It is not
correct to adjust the dose.




? Comprehensive Coverage?ofReal
All Key
Exam-Style
Topics ?Questions
Clear, Concise,
& Answers
and Easy-to-Understand
? Verified, Accurate,Explanations
and Up-to-Date Content (2026/2027) Page 4 of 321
$21.99
Accede al documento completo:

100% de satisfacción garantizada
Inmediatamente disponible después del pago
Tanto en línea como en PDF
No estas atado a nada

Conoce al vendedor
Seller avatar
GOODGRADE
5.0
(1)

Conoce al vendedor

Seller avatar
GOODGRADE CHAMBERLAIN SCHOOL OF NURSING
Seguir Necesitas iniciar sesión para seguir a otros usuarios o asignaturas
Vendido
7
Miembro desde
1 año
Número de seguidores
3
Documentos
383
Última venta
2 meses hace

5.0

1 reseñas

5
1
4
0
3
0
2
0
1
0

Recientemente visto por ti

Por qué los estudiantes eligen Stuvia

Creado por compañeros estudiantes, verificado por reseñas

Calidad en la que puedes confiar: escrito por estudiantes que aprobaron y evaluado por otros que han usado estos resúmenes.

¿No estás satisfecho? Elige otro documento

¡No te preocupes! Puedes elegir directamente otro documento que se ajuste mejor a lo que buscas.

Paga como quieras, empieza a estudiar al instante

Sin suscripción, sin compromisos. Paga como estés acostumbrado con tarjeta de crédito y descarga tu documento PDF inmediatamente.

Student with book image

“Comprado, descargado y aprobado. Así de fácil puede ser.”

Alisha Student

Preguntas frecuentes