100% de satisfacción garantizada Inmediatamente disponible después del pago Tanto en línea como en PDF No estas atado a nada 4,6 TrustPilot
logo-home
Examen

BIO 265 Exam 3 |2026

Puntuación
-
Vendido
-
Páginas
11
Grado
A+
Subido en
04-01-2026
Escrito en
2025/2026

The distinct characteristics of different cell types result mainly from differential gene expression controlled by RNA polymerase II transcription. Housekeeping genes are constitutively expressed in most cell types. Differentiated cells express between 5000-15,000 of the approximately 21,000 protein-coding genes in the human genome. Once differentiated, cells can still change gene expression but cannot change cell type. Nuclear transplantation experiments show that DNA is not irreversibly altered during cell differentiation. Original Description Based on the text: Essential Cell Biology published by Garland Science From my Biol 265 class Original Title Cell Biology Test 3 Copyright © © All Rights Reserved

Mostrar más Leer menos
Institución
BIO 265
Grado
BIO 265









Ups! No podemos cargar tu documento ahora. Inténtalo de nuevo o contacta con soporte.

Escuela, estudio y materia

Institución
BIO 265
Grado
BIO 265

Información del documento

Subido en
4 de enero de 2026
Número de páginas
11
Escrito en
2025/2026
Tipo
Examen
Contiene
Preguntas y respuestas

Temas

Vista previa del contenido

rI
1
l
I


I
I

.l

I
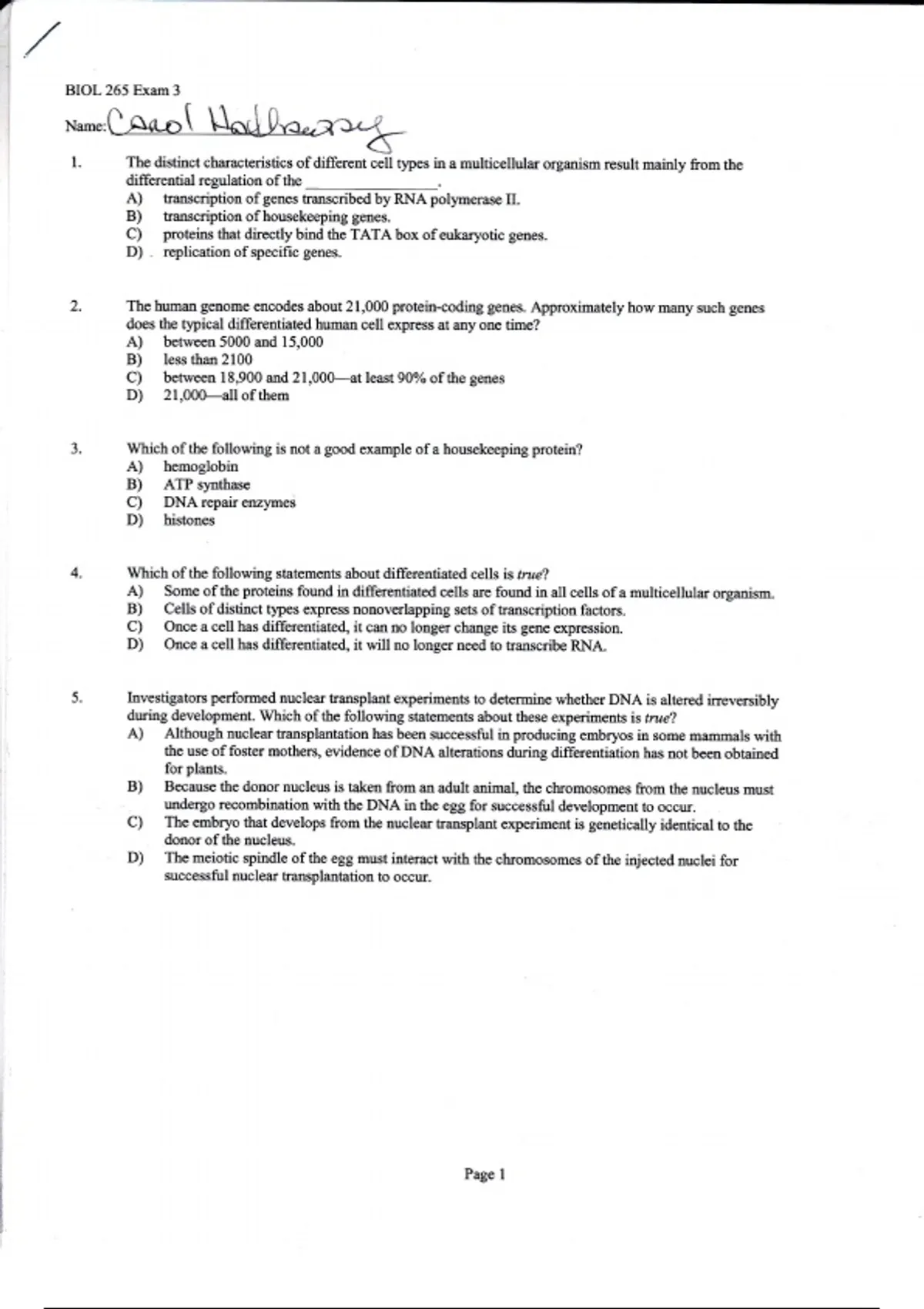
B[OL265 Exam 3



The distinct characteristics of different cell tlpes in a multicellular organism result mainly from the
diflerential regulation of the _.
A) transcription of genes transcribed by RNA polymerase II.
B) transcriptionofhousekeepinggenes.
C) proteins that dtectly bind the TATA box of eukaryotic genes.
D), replication ofspecific genes.


) The human genome encodes about 21,000 protein-coding genes. Approximately how many such genes
does the typical differentiated human cell express at any one time?
A) between 5000 and 15,000
B) less than 2100
C) between 18,900 and 21,000-at least 90% of the genes
D) 21,0OG-all of them


J. Which of the following is not a good example of a housekeeping protein?
A) hemoglobin
B) ATP synthase
C) DNA repair enzymes
D) histones



4. Which of the following statements about differentiated cells is true?
A) Some of the proteins found in differentiated cells are found in all cells of a multicellular organism.
B) Cells of distinct t)?es express nonoverlapping sets of transcription factors.
C) Once a cell has differentiated, it can no longer change its gene expression.
D) Once a cell has differentiated, it will no longer need to transcribe RNA.

5. Investigators performed nuclear transplant experiments to determine whether DNA is altered irreversibly
during development. Which of the following statements about these experiments is true?
A) Although nuclear transplantation has been successful in producing embryos in some mammals with
the use of foster mothers, evidence of DNA alterations during differentiation has not been obtained
for plants.
B) Because the donor nucleus is taken from an adult animal, the chromosomes from the nucleus urust
undergo recombination with the DNA in the egg for successful development to occur.
C) The embryo that develops from the nuclear transplant experiment is genetically identical to the
donor of the nucleus.
D) The meiotic spindle of the egg must interact with the chromosomes of the injected nuclei for
successful nuclear transplantation to occur.




Page I

, Use the following to answer questions 6-9:

You are interested in examining the Ps/gene. It is known that Psf is normally produced when cells are exposed to high levels of both
calcium (Ca*) and magnesium (Mg'*). MetA, MetB, and MetC are important for binding to the promoter of the Ps/gene and are
involved in regulating its transcription. MetA binds to the "A" site in the promoter region, MetB to the "B" site, and MetC to the "C"
site. You create binding-site mutations in the A, B, and C sites and observe what happens to transcription of the Py'gene. Your results
are summarized in Table Q8-17.
Transcription in the presence of Ca2* andlor Mgz+ .t'
No Ca2* with with with ca2+
Binding sites present or Mgz* Ca2* Mg'* and Mg2*
4 u"d 4oI\'
A, B, and C ++


A only
B only
C only
A and B only
A and C only
B and C only

For this table:
-+ =- no transcription of Pst
low level of transcription of Psf, and
++ = high levels of transcription of Psf.
Table Q8-17


6. Which of the following proteins are likely to act as gene activators?
A) MetB only
B) MetC only
C) Both MetA and MetC
D) MetA only

7. Which of the following proteins are likely to act as gene repressors?
A) MetB only
B) Both MetA and MetC
C) MetA only
D) MetC only

8. Which kanscription factors are normally bound to the Ps/promoter in the presence of Mg2* only?
A) MetA, MetB, andMetC
B) none
C) MetAonly
D) MetA and Met B


9. Which transcription factors are normally bound to the Ps/promoter in the presence of both Mg2* and
Ca2*?
A) MetA, MetB, andMetC
B) MetAandMetC
C) MetAandMetB
D) MetB andMetC




Page2
$8.49
Accede al documento completo:

100% de satisfacción garantizada
Inmediatamente disponible después del pago
Tanto en línea como en PDF
No estas atado a nada

Conoce al vendedor
Seller avatar
Elitestudyvault

Conoce al vendedor

Seller avatar
Elitestudyvault Stuvia
Seguir Necesitas iniciar sesión para seguir a otros usuarios o asignaturas
Vendido
3
Miembro desde
3 meses
Número de seguidores
1
Documentos
264
Última venta
1 semana hace
Elitestudyvault

Elitestudyvault is a professional academic resource hub dedicated to helping students achieve excellence through high-quality, well-organized study materials. Every document is carefully developed to meet current academic and examination standards, with a strong emphasis on accuracy, clarity, and practical relevance. We specialize in comprehensive study guides, exam preparation materials, and question-and-answer resources designed to simplify complex topics and support confident learning. All content is thoroughly reviewed to ensure reliability, ease of understanding, and real academic value. At Elitestudyvault, our mission is to save students time, reduce exam pressure, and provide trusted resources learners can rely on to perform at their best. Quality, consistency, and student success are at the core of everything we deliver. ALL TESTBANK AVAILABLE

Lee mas Leer menos
0.0

0 reseñas

5
0
4
0
3
0
2
0
1
0

Por qué los estudiantes eligen Stuvia

Creado por compañeros estudiantes, verificado por reseñas

Calidad en la que puedes confiar: escrito por estudiantes que aprobaron y evaluado por otros que han usado estos resúmenes.

¿No estás satisfecho? Elige otro documento

¡No te preocupes! Puedes elegir directamente otro documento que se ajuste mejor a lo que buscas.

Paga como quieras, empieza a estudiar al instante

Sin suscripción, sin compromisos. Paga como estés acostumbrado con tarjeta de crédito y descarga tu documento PDF inmediatamente.

Student with book image

“Comprado, descargado y aprobado. Así de fácil puede ser.”

Alisha Student

Preguntas frecuentes