Lote
Samenvatting stelselmatige weefselleer theorie
Clasificación combinada
Documentos
10
Vendido
-
Páginas totales
62
Última actualización
08-02-2025
(Behaalde score: 17/20) Deze samenvatting bevat alle info uit de slides inclusief de extra uitleg van de prof uit de les. Heel handig voor de meerkeuzevragen.
Documentos en este paquete
10
Resumen
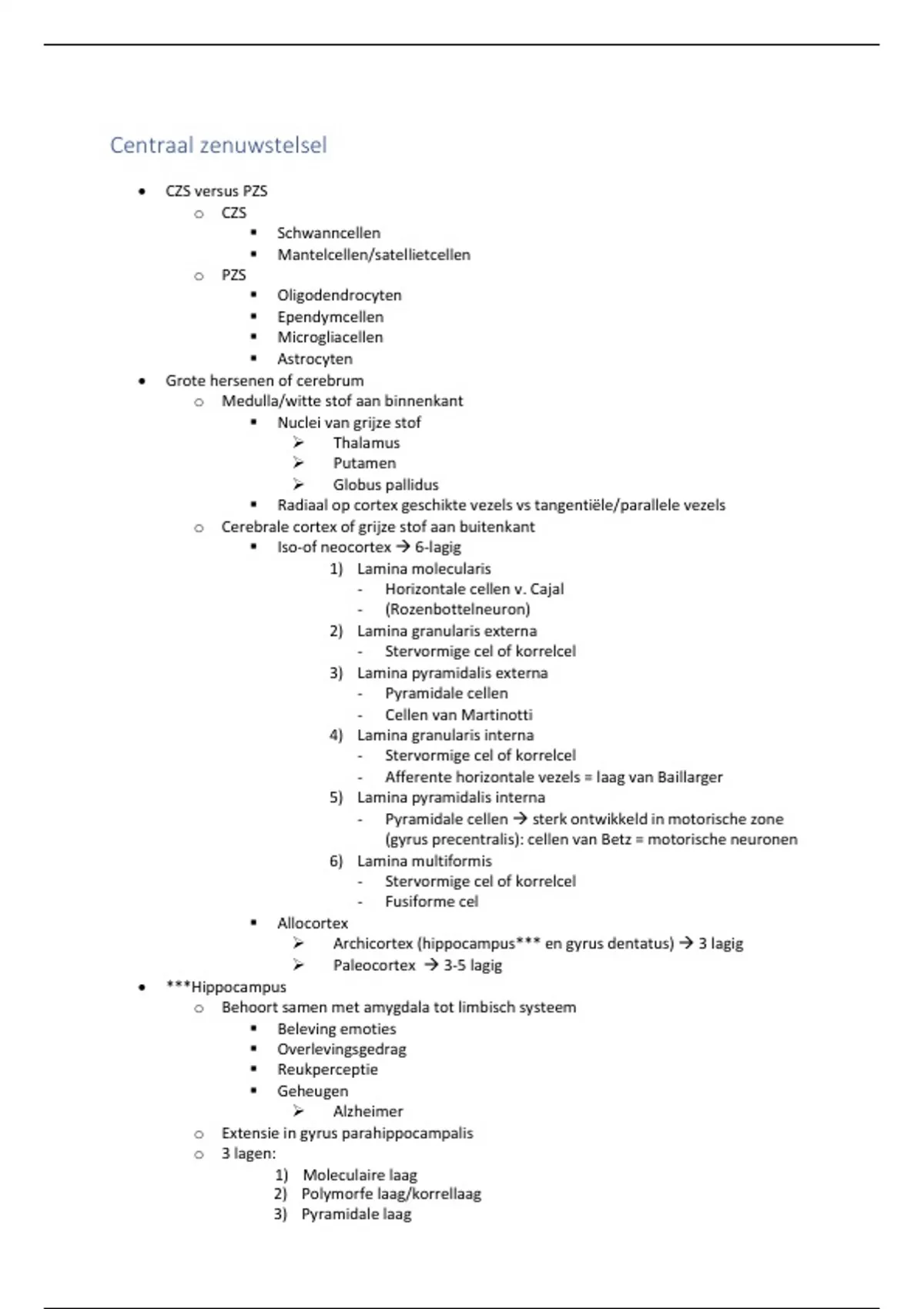
Samenvatting stelselmatige weefselleer: centraal zenuwstelsel
Resumen
Samenvatting stelselmatige weefselleer: de zintuigen
Resumen
Samenvatting stelselmatige weefselleer: endocriene klieren
Resumen
Samenvatting stelselmatige weefselleer: gastro-intestinaal stelsel
Resumen
Samenvatting stelselmatige weefselleer: geslachtsstelsel
Resumen
Samenvatting stelselmatige weefselleer: ademhalingsstelsel
Resumen
Samenvatting stelselmatige weefselleer: urinair stelsel
$17.18
$41.50
Ahorras $24.32
Ahorre 59% en 10 documentos
¿Documento equivocado? Cámbialo gratis
Dentro de los 14 días posteriores a la compra y antes de descargarlo, puedes elegir otro documento. Puedes gastar el importe de nuevo.
Escrito por estudiantes que aprobaron
Inmediatamente disponible después del pago
Leer en línea o como PDF