100% de satisfacción garantizada Inmediatamente disponible después del pago Tanto en línea como en PDF No estas atado a nada 4.2 TrustPilot
logo-home
Examen

MATH-225 Final Exam — Fall 2021 — Solutions

Puntuación
-
Vendido
-
Páginas
6
Grado
A+
Subido en
25-09-2025
Escrito en
2025/2026

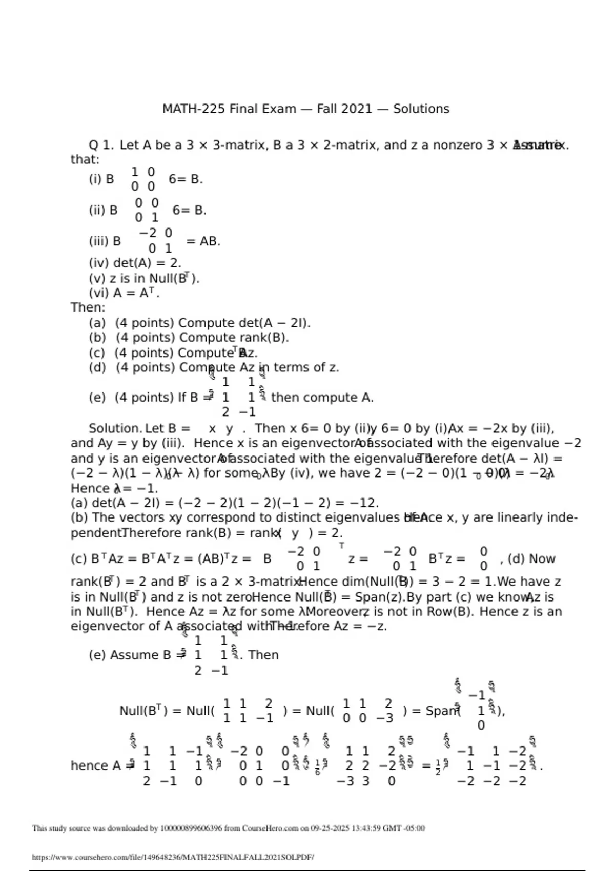
MATH-225 Final Exam — Fall 2021 — Solutions Q 1. Let A be a 3 × 3-matrix, B a 3 × 2-matrix, and z a nonzero 3 × 1-matrix. Assume that: (i) B 1 0 0 0 6= B. (ii) B 0 0 0 1 6= B. (iii) B −2 0 0 1 = AB. (iv) det(A) = 2. (v) z is in Null(B T ). (vi) A = AT . Then: (a) (4 points) Compute det(A − 2I). (b) (4 points) Compute rank(B). (c) (4 points) Compute BTAz. (d) (4 points) Compute Az in terms of z. (e) (4 points) If B =   1 1 1 1 2 −1   then compute A. Solution. Let B = x y . Then x 6= 0 by (ii),y 6= 0 by (i),Ax = −2x by (iii), and Ay = y by (iii). Hence x is an eigenvector of A associated with the eigenvalue −2 and y is an eigenvector of A associated with the eigenvalue 1. Therefore det(A − λI) = (−2 − λ)(1 − λ)(0λ− λ) for some0 λ. By (iv), we have 2 = (−2 − 0)(1 −0 0)( − 0) =λ −20λ. Hence λ0 = −1. (a) det(A − 2I) = (−2 − 2)(1 − 2)(−1 − 2) = −12. (b) The vectors xy, correspond to distinct eigenvalues of Hence A. x, y are linearly independent.Therefore rank(B) = rank(x y ) = 2. (c) BTAz = BTA T z = (AB) T z = B −2 0 0 1 T z = −2 0 0 1 B T z = 0 0 , (d) Now rank(B T ) = 2 and BT is a 2 × 3-matrix.Hence dim(Null(B T )) = 3 − 2 = 1.We have z is in Null(B T ) and z is not zero.Hence Null(B T ) = Span(z).By part (c) we know,Az is in Null(B T ). Hence Az = λz for some λMoreover, . z is not in Row(B). Hence z is an eigenvector of A associated withTherefore −1. Az = −z. (e) Assume B =   1 1 1 1 2 −1   . Then Null(B T ) = Null( 1 1 2 1 1 −1 ) = Null( 1 1 2 0 0 −3 ) = Span(   −1 1 0   ), hence A =   1 1 −1 1 1 1 2 −1 0     −2 0 0 0 1 0 0 0 −1     1 6   1 1 2 2 2 −2 −3 3 0     = 1 2   −1 1 −2 1 −1 −2 −2 −2 −2   . This study source was downloaded by from CourseH on :43:59 GMT -05:00 Q 2. (20 points) Solve the following first order ODE for1 e . y > 1 +x y dy dx + 1 + ln(y) = 0. Solution.The given Diff.Eq is not in a linear from inHowever, one can interchange y(x). the variables x and y, i.e x = xInterchangin

Mostrar más Leer menos
Institución
Revision
Grado
Revision









Ups! No podemos cargar tu documento ahora. Inténtalo de nuevo o contacta con soporte.

Escuela, estudio y materia

Institución
Revision
Grado
Revision

Información del documento

Subido en
25 de septiembre de 2025
Número de páginas
6
Escrito en
2025/2026
Tipo
Examen
Contiene
Preguntas y respuestas

Temas

Vista previa del contenido

MATH-225 Final Exam — Fall 2021 — Solutions

Q 1. Let A be a 3 × 3-matrix, B a 3 × 2-matrix, and z a nonzero 3 × Assume 1-matrix.
that:
1 0
(i) B 6= B.
0 0
0 0
(ii) B 6= B.
0 1
−2 0
(iii) B = AB.
0 1
(iv) det(A) = 2.
(v) z is in Null(BT ).
(vi) A = A T .
Then:
(a) (4 points) Compute det(A − 2I).
(b) (4 points) Compute rank(B).
(c) (4 points) ComputeT B Az.
(d) (4 points) Compute  Az in
 terms of z.
1 1
(e) (4 points) If B = 1 1  then compute A.

2 −1
Solution. Let B = x y . Then x 6= 0 by (ii),y 6= 0 by (i),Ax = −2x by (iii),
and Ay = y by (iii). Hence x is an eigenvectorAofassociated with the eigenvalue −2
and y is an eigenvector Aofassociated with the eigenvalueTherefore 1. det(A − λI) =
(−2 − λ)(1 − λ)(λ 0 − λ) for some0.λ By (iv), we have 2 = (−2 − 0)(1 − 0−0)(λ
0) = −2λ0.
Hence 0λ = −1.
(a) det(A − 2I) = (−2 − 2)(1 − 2)(−1 − 2) = −12.
(b) The vectors x,y correspond to distinct eigenvalues Hence of A. x, y are linearly inde-
pendent.Therefore rank(B) = rank( x y ) = 2.
T
T T T T −2 0 −2 0 0
(c) B Az = B A z = (AB) z = B z= BT z = , (d) Now
0 1 0 1 0
rank(BT ) = 2 and BT is a 2 × 3-matrix.Hence dim(Null(B T
)) = 3 − 2 = 1.We have z
T T
is in Null(B ) and z is not zero.Hence Null(B) = Span(z).By part (c) we know, Az is
in Null(BT ). Hence Az = λz for some λ.Moreover,z is not in Row(B). Hence z is an
eigenvector of A associated
  withTherefore
−1. Az = −z.
1 1
(e) Assume B = 1 1  . Then
2 −1
 
−1
1 1 2 1 1 2  1  ),
Null(BT ) = Null( ) = Null( ) = Span(
1 1 −1 0 0 −3
0
      
1 1 −1 −2 0 0 1 1 2 −1 1 −2
hence A = 1 1 1   0 1 0   16  2 2 −2   = 12  1 −1 −2  .
2 −1 0 0 0 −1 −3 3 0 −2 −2 −2


This study source was downloaded by 100000899606396 from CourseHero.com on 09-25-2025 13:43:59 GMT -05:00


https://www.coursehero.com/file/149648236/MATH225FINALFALL2021SOLPDF/

, 1
Q 2. (20 points) Solve the following first order ODE for
e
. y>

x dy
1+ + 1 + ln(y) = 0.
y dx

Solution.The given Diff.Eq is not in a linear from inHowever,
y(x). one can interchange
the variables x and y, i.e x = x(y).
Interchanging the variables, the equation reads as

dx x
(1 + ln(y)) = − 1 + .
dy y

Since y >−1e, then dividing to the nonzero factor 1+ln(y), this equation can be rewritte
as the following first order linear equation for x
dx 1 1
+ x=− .
dy y(1 + ln(y)) 1 + ln(y)

Now, one can apply the integrating factor method to solve this Diff.Eq.
The integrating
factor is R 1
ρ = e y(1+ln(y)) dy = 1 + ln(y).
Multiplying the above differential equation by its integrating factor, we obtain
dx 1 d
(1 + ln(y)) + x = −1 =⇒ ((1 + ln(y)) x) = −1.
dy y dy
Integrating this equation, we find the general solution in the implicit form as

x + x ln(y) + y = C.




2
This study source was downloaded by 100000899606396 from CourseHero.com on 09-25-2025 13:43:59 GMT -05:00


https://www.coursehero.com/file/149648236/MATH225FINALFALL2021SOLPDF/
7,01 €
Accede al documento completo:

100% de satisfacción garantizada
Inmediatamente disponible después del pago
Tanto en línea como en PDF
No estas atado a nada

Conoce al vendedor

Seller avatar
Los indicadores de reputación están sujetos a la cantidad de artículos vendidos por una tarifa y las reseñas que ha recibido por esos documentos. Hay tres niveles: Bronce, Plata y Oro. Cuanto mayor reputación, más podrás confiar en la calidad del trabajo del vendedor.
Abbyy01 Exam Questions
Seguir Necesitas iniciar sesión para seguir a otros usuarios o asignaturas
Vendido
91
Miembro desde
3 año
Número de seguidores
33
Documentos
1121
Última venta
4 semanas hace

3,5

13 reseñas

5
5
4
2
3
3
2
1
1
2

Recientemente visto por ti

Por qué los estudiantes eligen Stuvia

Creado por compañeros estudiantes, verificado por reseñas

Calidad en la que puedes confiar: escrito por estudiantes que aprobaron y evaluado por otros que han usado estos resúmenes.

¿No estás satisfecho? Elige otro documento

¡No te preocupes! Puedes elegir directamente otro documento que se ajuste mejor a lo que buscas.

Paga como quieras, empieza a estudiar al instante

Sin suscripción, sin compromisos. Paga como estés acostumbrado con tarjeta de crédito y descarga tu documento PDF inmediatamente.

Student with book image

“Comprado, descargado y aprobado. Así de fácil puede ser.”

Alisha Student

Preguntas frecuentes