100% de satisfacción garantizada Inmediatamente disponible después del pago Tanto en línea como en PDF No estas atado a nada 4.2 TrustPilot
logo-home
Examen

MATH 255 finalsolutions

Puntuación
-
Vendido
-
Páginas
8
Grado
A+
Subido en
25-09-2025
Escrito en
2025/2026

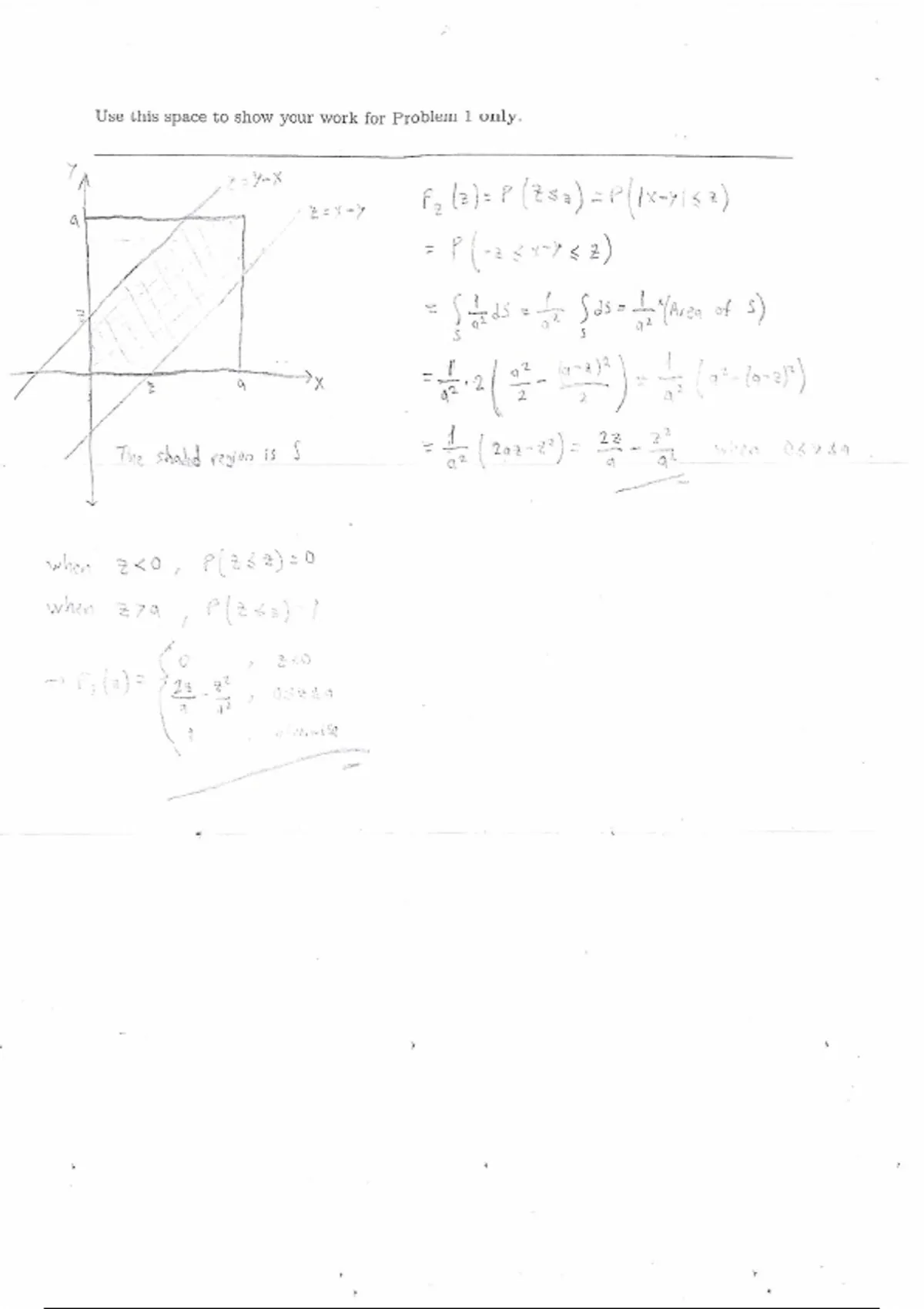
P1. (5 points) Let X and Y be two independent drawings from the uniform distribution on [0, a], with a > 0 a given constant. Let Z = X -Y| be the distance between the two points. Find the CDF Fz(z). Show your work by drawing a figure that explains how you calculate Fz(z). 2<0 27 22 Fz(z) = a 92 05259 279 Use this space to show your work for Problem 2 only. S1, if the ith dight drawn is Xi= (o, otheri 7 =) mean of 4th4xyt--+ Xpgon0 10008 (mgon ot X;) 10,00*= 1000 =EEY] ) vaviance of *it2txyt +es 10000* var (Y:) = 10000" -) By. CLT, J/ 968-1000 く =1-3) =1-3 (103) 21-8(107) =1-0.8577:0.1003 오 30 367°00/-100о Nok: we coull use I or even e

Mostrar más Leer menos
Institución
Revision
Grado
Revision









Ups! No podemos cargar tu documento ahora. Inténtalo de nuevo o contacta con soporte.

Escuela, estudio y materia

Institución
Revision
Grado
Revision

Información del documento

Subido en
25 de septiembre de 2025
Número de páginas
8
Escrito en
2025/2026
Tipo
Examen
Contiene
Preguntas y respuestas

Temas

9,20 €
Accede al documento completo:

100% de satisfacción garantizada
Inmediatamente disponible después del pago
Tanto en línea como en PDF
No estas atado a nada

Conoce al vendedor

Seller avatar
Los indicadores de reputación están sujetos a la cantidad de artículos vendidos por una tarifa y las reseñas que ha recibido por esos documentos. Hay tres niveles: Bronce, Plata y Oro. Cuanto mayor reputación, más podrás confiar en la calidad del trabajo del vendedor.
Abbyy01 Exam Questions
Seguir Necesitas iniciar sesión para seguir a otros usuarios o asignaturas
Vendido
91
Miembro desde
3 año
Número de seguidores
33
Documentos
1121
Última venta
4 semanas hace

3,5

13 reseñas

5
5
4
2
3
3
2
1
1
2

Recientemente visto por ti

Por qué los estudiantes eligen Stuvia

Creado por compañeros estudiantes, verificado por reseñas

Calidad en la que puedes confiar: escrito por estudiantes que aprobaron y evaluado por otros que han usado estos resúmenes.

¿No estás satisfecho? Elige otro documento

¡No te preocupes! Puedes elegir directamente otro documento que se ajuste mejor a lo que buscas.

Paga como quieras, empieza a estudiar al instante

Sin suscripción, sin compromisos. Paga como estés acostumbrado con tarjeta de crédito y descarga tu documento PDF inmediatamente.

Student with book image

“Comprado, descargado y aprobado. Así de fácil puede ser.”

Alisha Student

Preguntas frecuentes