100% de satisfacción garantizada Inmediatamente disponible después del pago Tanto en línea como en PDF No estas atado a nada 4.2 TrustPilot
logo-home
Resumen

Sumario Metodo Practico para Analizar la Derivada de una funcion con derivadas laterales.

Puntuación
-
Vendido
-
Páginas
14
Subido en
09-05-2023
Escrito en
2022/2023

Un resumen con ejercicios resueltos del Metodo Practico para Analizar la Derivada de una funcion con derivada laterales.

Institución
Grado









Ups! No podemos cargar tu documento ahora. Inténtalo de nuevo o contacta con soporte.

Escuela, estudio y materia

Institución
Grado

Información del documento

Subido en
9 de mayo de 2023
Número de páginas
14
Escrito en
2022/2023
Tipo
Resumen

Temas

Vista previa del contenido

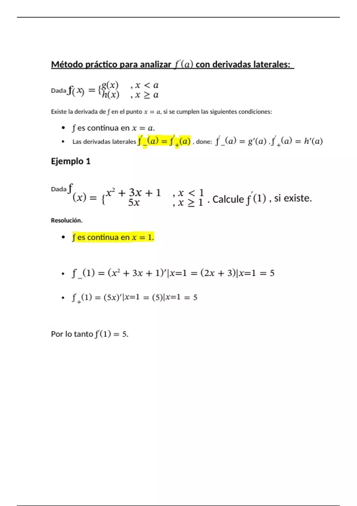
Método práctico para analizar 𝑓′(𝑎) con derivadas laterales:

𝑔(𝑥) ,𝑥 <𝑎
Dada ƒ( 𝑥) = {ℎ(𝑥) ,𝑥 ≥𝑎
Existe la derivada de ƒ en el punto 𝑥 = 𝑎, si se cumplen las siguientes condiciones:

 ƒ es continua en 𝑥 = 𝑎.
′ ′ ′ ′
 Las derivadas laterales ƒ (𝑎) = ƒ (𝑎) , done: ƒ (𝑎) = 𝑔′(𝑎) , ƒ (𝑎) = ℎ′(𝑎)
− + − +

Ejemplo 1

Dada ƒ 2
3𝑥 + 1
(𝑥) = { + 5𝑥
𝑥 ,𝑥 < 1
,𝑥 ≥1 . Calcule ƒ

(1) , si existe.
Resolución.

 ƒ es continua en 𝑥 = 1.



 ƒ′−(1) = (𝑥2 + 3𝑥 + 1)′|𝑥=1 = (2𝑥 + 3)|𝑥=1 = 5

 ƒ′+(1) = (5𝑥)′|𝑥=1 = (5)|𝑥=1 = 5



Por lo tanto ƒ′(1) = 5.

, Ejemplo 2

Dada ƒ 𝑥2 + 2 ,𝑥 ≤ 4
(𝑥) = { . Calcule ƒ′(4) (si existe).
2
𝑥 −1 ,𝑥 > 4
Resolución.

Claramente 𝑓 no es continua en 𝗑 = 4, luego NO existe 𝑓′(4).



Nota de ERROR DE SOLUCIÓN.

Si un alumno analiza la derivada ƒ′(4) con las derivadas laterales empleadas en el método práctico, va
obtener que ellas son iguales a 8 y por lo tanto concluye que Existe ƒ′(4) = 8

Ejemplo
3𝑥 + 1
ƒ(𝑥) = {𝑥2 + 1 , 𝑥>0
5𝑥 + 1 , 𝑥≤0
Calcule ƒ′(0) (en caso exista)

Resolución

 ƒ es continua en 𝑥 = 0.
 Estudiemos las derivadas laterales (usando el método práctico)
 ƒ′(0) = 5 ; ƒ′(0) = 3 (son diferentes)
− +

No existe la derivada en 𝑥 = 0.
5,72 €
Accede al documento completo:

100% de satisfacción garantizada
Inmediatamente disponible después del pago
Tanto en línea como en PDF
No estas atado a nada

Conoce al vendedor
Seller avatar
leandroruiz

Conoce al vendedor

Seller avatar
leandroruiz Universidad San Ignacio de Loyola
Seguir Necesitas iniciar sesión para seguir a otros usuarios o asignaturas
Vendido
4
Miembro desde
2 año
Número de seguidores
3
Documentos
19
Última venta
4 meses hace

0,0

0 reseñas

5
0
4
0
3
0
2
0
1
0

Recientemente visto por ti

Por qué los estudiantes eligen Stuvia

Creado por compañeros estudiantes, verificado por reseñas

Calidad en la que puedes confiar: escrito por estudiantes que aprobaron y evaluado por otros que han usado estos resúmenes.

¿No estás satisfecho? Elige otro documento

¡No te preocupes! Puedes elegir directamente otro documento que se ajuste mejor a lo que buscas.

Paga como quieras, empieza a estudiar al instante

Sin suscripción, sin compromisos. Paga como estés acostumbrado con tarjeta de crédito y descarga tu documento PDF inmediatamente.

Student with book image

“Comprado, descargado y aprobado. Así de fácil puede ser.”

Alisha Student

Preguntas frecuentes