Written by students who passed Immediately available after payment Read online or as PDF Wrong document? Swap it for free 4,6 TrustPilot
logo-home
Other

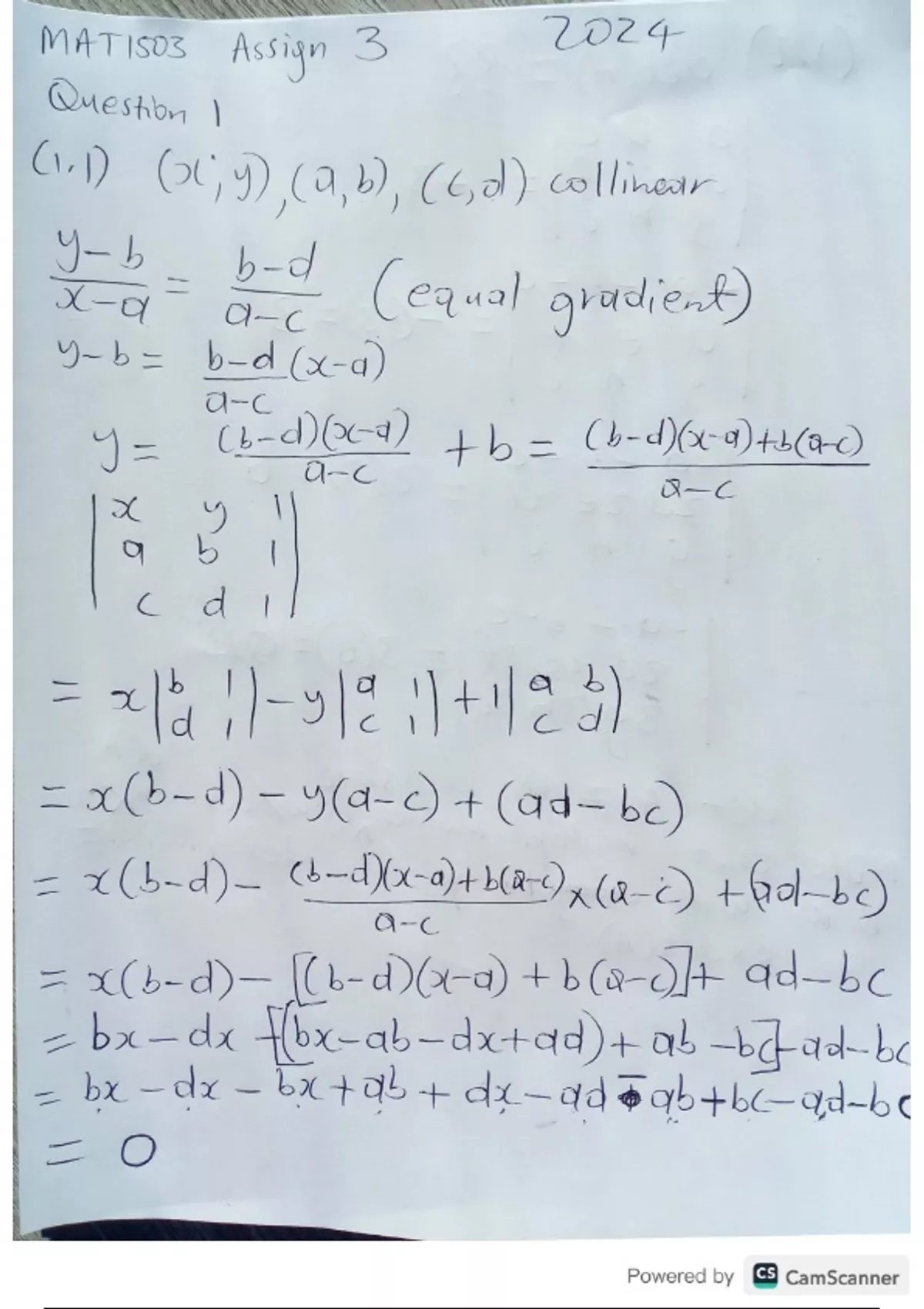
MAT1503 Assignment THREE 2024

Rating
-
Sold
2
Pages
23
Uploaded on
17-07-2024
Written in
2023/2024

UNISA Linear Algebra MAT1503 Assignment THREE of 2024 solutions.












Whoops! We can’t load your doc right now. Try again or contact support.

Document information

Uploaded on
July 17, 2024
Number of pages
23
Written in
2023/2024
Type
OTHER
Person
Unknown

Subjects

R163,33
Get access to the full document:

Wrong document? Swap it for free Within 14 days of purchase and before downloading, you can choose a different document. You can simply spend the amount again.
Written by students who passed
Immediately available after payment
Read online or as PDF

Get to know the seller

Seller avatar
Reputation scores are based on the amount of documents a seller has sold for a fee and the reviews they have received for those documents. There are three levels: Bronze, Silver and Gold. The better the reputation, the more your can rely on the quality of the sellers work.
lyzo2005 University of South Africa (Unisa)
View profile
Follow You need to be logged in order to follow users or courses
Sold
733
Member since
7 year
Number of followers
372
Documents
98
Last sold
6 months ago

4,2

145 reviews

5
73
4
45
3
20
2
3
1
4

Trending documents

Recently viewed by you

Why students choose Stuvia

Created by fellow students, verified by reviews

Quality you can trust: written by students who passed their exams and reviewed by others who've used these notes.

Didn't get what you expected? Choose another document

No worries! You can immediately select a different document that better matches what you need.

Pay how you prefer, start learning right away

No subscription, no commitments. Pay the way you're used to via credit card or EFT and download your PDF document instantly.

Student with book image

“Bought, downloaded, and aced it. It really can be that simple.”

Alisha Student

Frequently asked questions