Written by students who passed Immediately available after payment Read online or as PDF Wrong document? Swap it for free 4,6 TrustPilot
logo-home
Exam (elaborations)

PUB2622 ASSIGNMENT 3 FOR 2024 - Distinction

Rating
-
Sold
1
Pages
5
Grade
A
Uploaded on
26-04-2024
Written in
2023/2024

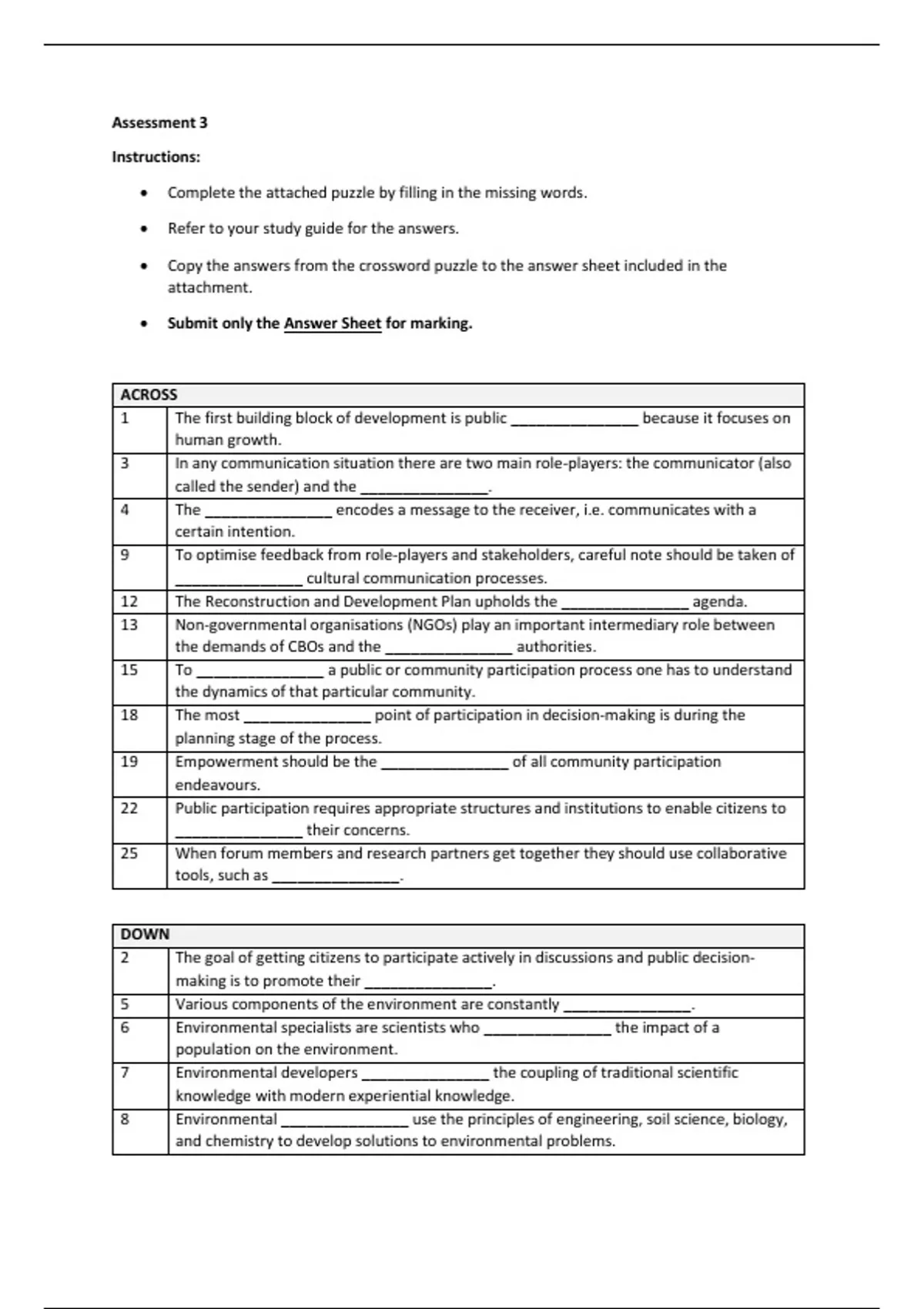
1 The first building block of development is public _______________ because it focuses on human growth. 3 In any communication situation there are two main role-players: the communicator (also called the sender) and the _______________. 4 The _______________ encodes a message to the receiver, i.e. communicates with a certain intention. 9 To optimise feedback from role-players and stakeholders, careful note should be taken of _______________ cultural communication processes. 12 The Reconstruction and Development Plan upholds the _______________ agenda. 13 Non-governmental organisations (NGOs) play an important intermediary role between the demands of CBOs and the _______________ authorities. 15 To _______________ a public or community participation process one has to understand the dynamics of that particular community. 18 The most _______________ point of participation in decision-making is during the planning stage of the process. 19 Empowerment should be the _______________ of all community participation endeavours. 22 Public participation requires appropriate structures and institutions to enable citizens to _______________ their concerns. 25 When forum members and research partners get together they should use collaborative tools, such as _______________. DOWN 2 The goal of getting citizens to participate actively in discussions and public decision-making is to promote their _______________. 5 Various components of the environment are constantly _______________. 6 Environmental specialists are scientists who _______________ the impact of a population on the environment. 7 Environmental developers _______________ the coupling of traditional scientific knowledge with modern experiential knowledge. 8 Environmental _______________ use the principles of engineering, soil science, biology, and chemistry to develop solutions to environmental problems. 10 _______________ to communication may arise from interruptions or interferences in the message. 11 The Local Government: Municipal Systems Act of 2000 outlines the importance of _______________ development planning. 14 Recent years have been marked by the establishment of a growing number of international _______________ in developing countries. 16 One of the _______________ actions of external agencies when introducing a project into a community is the mobilisation of the people. 17 Organisations should be encouraged to _______________ participatory methods at all their meetings. 20 In order to _______________ and evaluate public participation, an assessment has to be made at each level and for each form of participation. 21 Since participation happens at different levels and stages, _______________ has to be pitched at each level and stage of human settlements development. 23 Community _______________ is another effective way of informing and including the community in issues. 24 One way of involving community members in public policy-making is by means of citizen participation community _______________.

Show more Read less

Content preview

Assessment 3

Instructions:

 Complete the attached puzzle by filling in the missing words.

 Refer to your study guide for the answers.

 Copy the answers from the crossword puzzle to the answer sheet included in the
attachment.

 Submit only the Answer Sheet for marking.



ACROSS
1 The first building block of development is public _______________ because it focuses on
human growth.
3 In any communication situation there are two main role-players: the communicator (also
called the sender) and the _______________.
4 The _______________ encodes a message to the receiver, i.e. communicates with a
certain intention.
9 To optimise feedback from role-players and stakeholders, careful note should be taken of
_______________ cultural communication processes.
12 The Reconstruction and Development Plan upholds the _______________ agenda.
13 Non-governmental organisations (NGOs) play an important intermediary role between
the demands of CBOs and the _______________ authorities.
15 To _______________ a public or community participation process one has to understand
the dynamics of that particular community.
18 The most _______________ point of participation in decision-making is during the
planning stage of the process.
19 Empowerment should be the _______________ of all community participation
endeavours.
22 Public participation requires appropriate structures and institutions to enable citizens to
_______________ their concerns.
25 When forum members and research partners get together they should use collaborative
tools, such as _______________.


DOWN
2 The goal of getting citizens to participate actively in discussions and public decision-
making is to promote their _______________.
5 Various components of the environment are constantly _______________.
6 Environmental specialists are scientists who _______________ the impact of a
population on the environment.
7 Environmental developers _______________ the coupling of traditional scientific
knowledge with modern experiential knowledge.
8 Environmental _______________ use the principles of engineering, soil science, biology,
and chemistry to develop solutions to environmental problems.

Document information

Uploaded on
April 26, 2024
Number of pages
5
Written in
2023/2024
Type
Exam (elaborations)
Contains
Questions & answers

Subjects

R50,00
Get access to the full document:

Wrong document? Swap it for free Within 14 days of purchase and before downloading, you can choose a different document. You can simply spend the amount again.
Written by students who passed
Immediately available after payment
Read online or as PDF

Get to know the seller

Seller avatar
Reputation scores are based on the amount of documents a seller has sold for a fee and the reviews they have received for those documents. There are three levels: Bronze, Silver and Gold. The better the reputation, the more your can rely on the quality of the sellers work.
FENDTUTORIALS
View profile
Follow You need to be logged in order to follow users or courses
Sold
2462
Member since
5 year
Number of followers
1180
Documents
548
Last sold
2 days ago

3,4

324 reviews

5
122
4
44
3
71
2
24
1
63

Trending documents

Recently viewed by you

Why students choose Stuvia

Created by fellow students, verified by reviews

Quality you can trust: written by students who passed their exams and reviewed by others who've used these notes.

Didn't get what you expected? Choose another document

No worries! You can immediately select a different document that better matches what you need.

Pay how you prefer, start learning right away

No subscription, no commitments. Pay the way you're used to via credit card or EFT and download your PDF document instantly.

Student with book image

“Bought, downloaded, and aced it. It really can be that simple.”

Alisha Student

Frequently asked questions