100% satisfaction guarantee Immediately available after payment Both online and in PDF No strings attached 4.6 TrustPilot
logo-home
Exam (elaborations)

Exam questions answers

Rating
-
Sold
-
Pages
1
Grade
A+
Uploaded on
14-12-2023
Written in
2023/2024

This document is very helpful and accurate









Whoops! We can’t load your doc right now. Try again or contact support.

Document information

Uploaded on
December 14, 2023
Number of pages
1
Written in
2023/2024
Type
Exam (elaborations)
Contains
Questions & answers

Subjects

Content preview

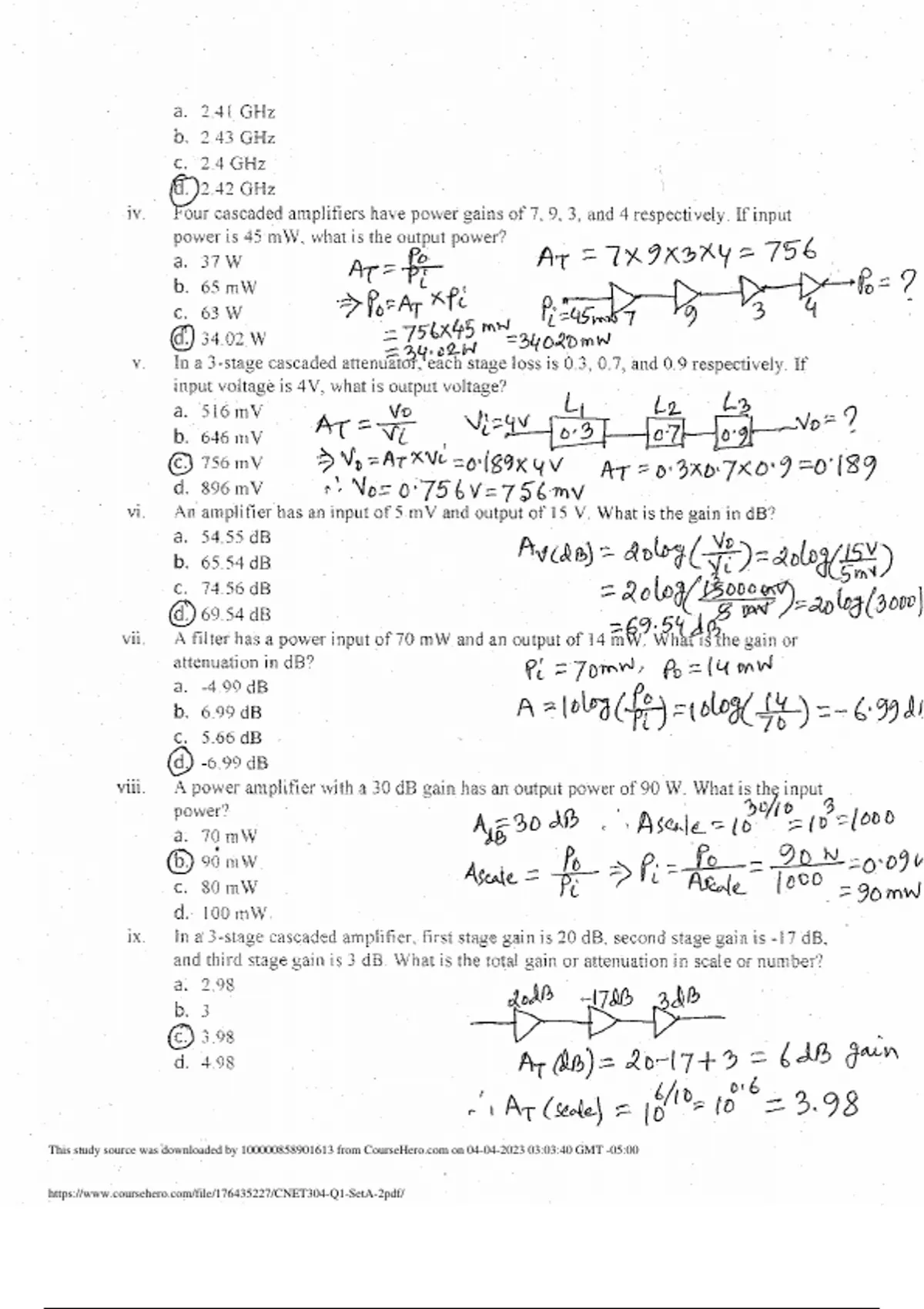
This study source was downloaded by 100000858901613 from CourseHero.com on 04-04-2023 03:03:40 GMT -05:00



https://www.coursehero.com/file/176435227/CNET304-Q1-SetA-2pdf/
CA$13.57
Get access to the full document:

100% satisfaction guarantee
Immediately available after payment
Both online and in PDF
No strings attached

Get to know the seller
Seller avatar
Narjot19

Also available in package deal

Thumbnail
Package deal
Cnet304 elaborations
-
7 2023
CA$ 127.90 More info

Get to know the seller

Seller avatar
Narjot19 Centennial college
View profile
Follow You need to be logged in order to follow users or courses
Sold
0
Member since
3 year
Number of followers
0
Documents
8
Last sold
-

0.0

0 reviews

5
0
4
0
3
0
2
0
1
0

Recently viewed by you

Why students choose Stuvia

Created by fellow students, verified by reviews

Quality you can trust: written by students who passed their tests and reviewed by others who've used these notes.

Didn't get what you expected? Choose another document

No worries! You can instantly pick a different document that better fits what you're looking for.

Pay as you like, start learning right away

No subscription, no commitments. Pay the way you're used to via credit card and download your PDF document instantly.

Student with book image

“Bought, downloaded, and aced it. It really can be that simple.”

Alisha Student

Frequently asked questions