100% satisfaction guarantee Immediately available after payment Both online and in PDF No strings attached 4.6 TrustPilot
logo-home
Exam (elaborations)

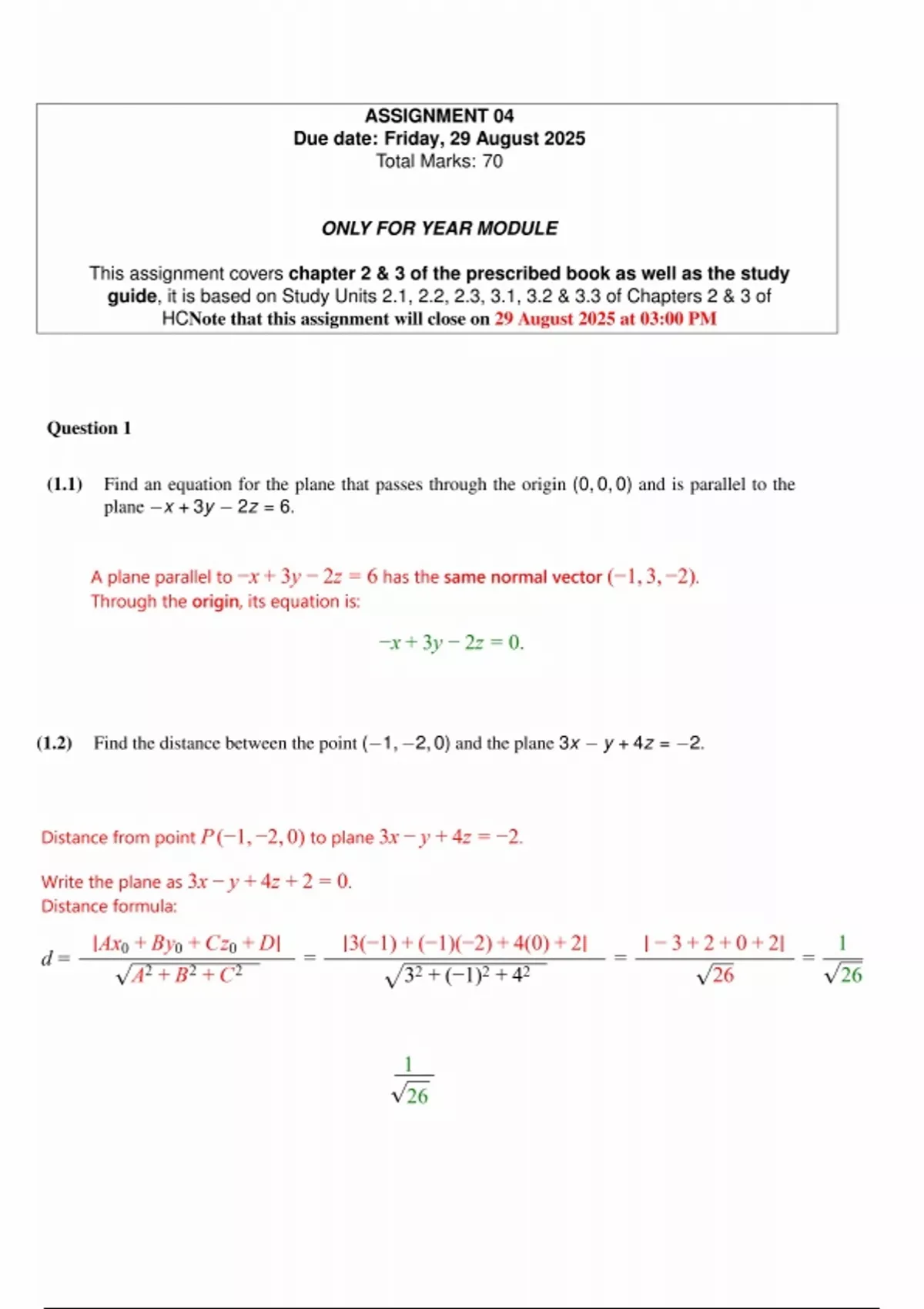
MAT1503 Assignment 4 2025 - Due 29 August 2025

Rating
-
Sold
1
Pages
12
Grade
A+
Uploaded on
14-08-2025
Written in
2025/2026

MAT1503 Assignment 4 2025

Institution
Module









Whoops! We can’t load your doc right now. Try again or contact support.

Written for

Institution
Module

Document information

Uploaded on
August 14, 2025
Number of pages
12
Written in
2025/2026
Type
Exam (elaborations)
Contains
Questions & answers

Subjects

Get to know the seller

Seller avatar
Reputation scores are based on the amount of documents a seller has sold for a fee and the reviews they have received for those documents. There are three levels: Bronze, Silver and Gold. The better the reputation, the more your can rely on the quality of the sellers work.
CodyRhode
Follow You need to be logged in order to follow users or courses
Sold
647
Member since
2 year
Number of followers
266
Documents
126
Last sold
3 months ago

4.0

101 reviews

5
60
4
12
3
10
2
7
1
12

Recently viewed by you

Why students choose Stuvia

Created by fellow students, verified by reviews

Quality you can trust: written by students who passed their exams and reviewed by others who've used these revision notes.

Didn't get what you expected? Choose another document

No problem! You can straightaway pick a different document that better suits what you're after.

Pay as you like, start learning straight away

No subscription, no commitments. Pay the way you're used to via credit card and download your PDF document instantly.

Student with book image

“Bought, downloaded, and smashed it. It really can be that simple.”

Alisha Student

Frequently asked questions