100% de satisfacción garantizada Inmediatamente disponible después del pago Tanto en línea como en PDF No estas atado a nada 4,6 TrustPilot
logo-home
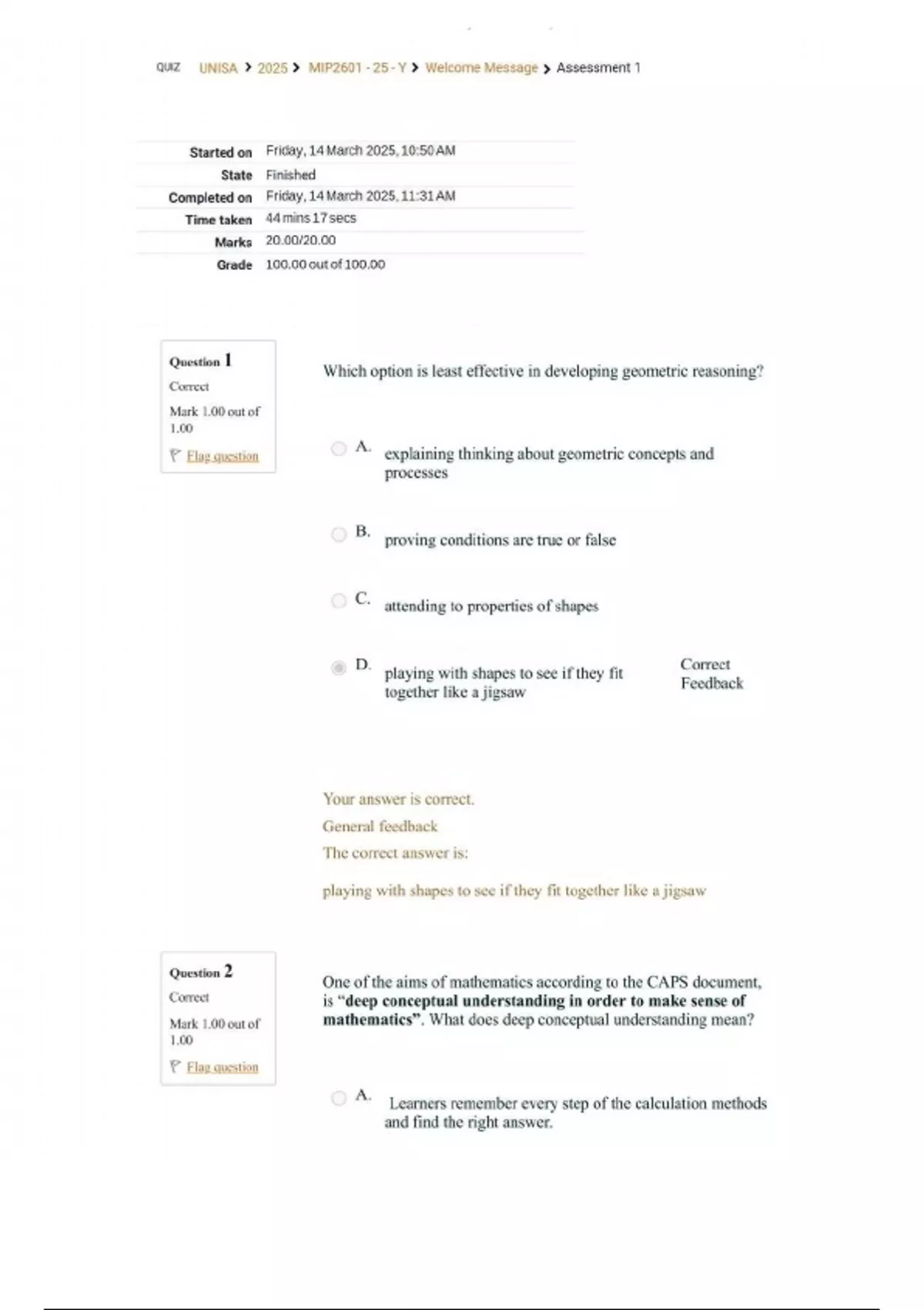
Examen

MIP2601 Assignment 1 Quiz (ACTUAL ANSWERS) 2025 - DUE 14 May 2025, trusted solutions

Puntuación
-
Vendido
-
Páginas
11
Grado
A+
Subido en
16-04-2025
Escrito en
2024/2025

MIP2601 Assignment 1 Quiz (ACTUAL ANSWERS) 2025 - DUE 14 May 2025, trusted solutions

Institución
Grado









Ups! No podemos cargar tu documento ahora. Inténtalo de nuevo o contacta con soporte.

Escuela, estudio y materia

Institución
Grado

Información del documento

Subido en
16 de abril de 2025
Número de páginas
11
Escrito en
2024/2025
Tipo
Examen
Contiene
Preguntas y respuestas

Temas

$3.23
Accede al documento completo:

100% de satisfacción garantizada
Inmediatamente disponible después del pago
Tanto en línea como en PDF
No estas atado a nada

Conoce al vendedor

Seller avatar
Los indicadores de reputación están sujetos a la cantidad de artículos vendidos por una tarifa y las reseñas que ha recibido por esos documentos. Hay tres niveles: Bronce, Plata y Oro. Cuanto mayor reputación, más podrás confiar en la calidad del trabajo del vendedor.
unisakedibonekhido University of South Africa (Unisa)
Seguir Necesitas iniciar sesión para seguir a otros usuarios o asignaturas
Vendido
13
Miembro desde
1 año
Número de seguidores
0
Documentos
80
Última venta
4 meses hace

3.8

5 reseñas

5
2
4
2
3
0
2
0
1
1

Recientemente visto por ti

Por qué los estudiantes eligen Stuvia

Creado por compañeros estudiantes, verificado por reseñas

Calidad en la que puedes confiar: escrito por estudiantes que aprobaron y evaluado por otros que han usado estos resúmenes.

¿No estás satisfecho? Elige otro documento

¡No te preocupes! Puedes elegir directamente otro documento que se ajuste mejor a lo que buscas.

Paga como quieras, empieza a estudiar al instante

Sin suscripción, sin compromisos. Paga como estés acostumbrado con tarjeta de crédito y descarga tu documento PDF inmediatamente.

Student with book image

“Comprado, descargado y aprobado. Así de fácil puede ser.”

Alisha Student

Preguntas frecuentes