100% de satisfacción garantizada Inmediatamente disponible después del pago Tanto en línea como en PDF No estas atado a nada 4.2 TrustPilot
logo-home
Examen

ATI Fluid, Electrolyte, and Acid-Base Regulation Exam Questions with 100% Verified Answers

Puntuación
-
Vendido
-
Páginas
7
Grado
A+
Subido en
11-04-2025
Escrito en
2024/2025

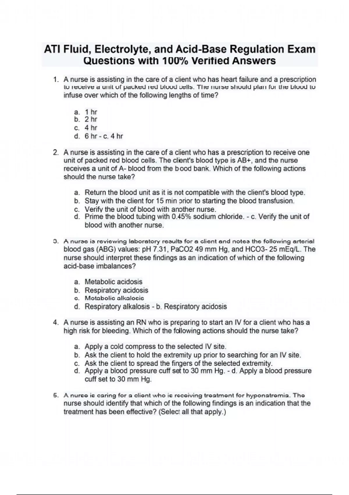
1. A nurse is assisting in the care of a client who has heart failure and a prescription to receive a unit of packed red blood cells. The nurse should plan for the blood to infuse over which of the following lengths of time? a. 1 hr b. 2 hr c. 4 hr d. 6 hr - c. 4 hr 2. A nurse is assisting in the care of a client who has a prescription to receive one unit of packed red blood cells. The client's blood type is AB+, and the nurse receives a unit of A- blood from the blood bank. Which of the following actions should the nurse take? a. Return the blood unit as it is not compatible with the client's blood type. b. Stay with the client for 15 min prior to starting the blood transfusion. c. Verify the unit of blood with another nurse. d. Prime the blood tubing with 0.45% sodium chloride. - c. Verify the unit of blood with another nurse. 3. A nurse is reviewing laboratory results for a client and notes the following arterial blood gas (ABG) values: pH 7.31, PaCO2 49 mm Hg, and HCO3- 25 mEq/L. The nurse should interpret these findings as an indication of which of the following acid-base imbalances? a. Metabolic acidosis b. Respiratory acidosis c. Metabolic alkalosis d. Respiratory alkalosis - b. Respiratory acidosis 4. A nurse is assisting an RN who is preparing to start an IV for a client who has a high risk for bleeding. Which of the following actions should the nurse take? a. Apply a cold compress to the selected IV site. b. Ask the client to hold the extremity up prior to searching for an IV site. c. Ask the client to spread the fingers of the selected extremity. d. Apply a blood pressure cuff set to 30 mm Hg. - d. Apply a blood pressure cuff set to 30 mm Hg. 5. A nurse is caring for a client who is receiving treatment for hyponatremia. The nurse should identify that which of the following findings is an indication that the treatment has been effective? (Select all that apply.) The client states their muscle spasms are absent. The client reports a headache. The client denies being confused. The client reports being nauseated. The client reports feeling tired. - The client states their muscle spasms are absent. The client denies being confused. 6. A nurse is assisting in the care of a client who has an acid-base imbalance and is experiencing hypoxia. Which of the following actions should the nurse take first? a. Initiate continuous cardiac monitoring. b. Elevate the head of the client's bed. c. Instruct the client to deep breathe and cough. d. Initiate continuous SpO2 monitoring. - b. Elevate the head of the client's bed. 7. A nurse is collecting data on a client who has been receiving IV therapy for several days and notes that the client's daily weight has increased. The nurse should identify that the client is at increased risk for developing which of the following IV-related complications? a. Phlebitis b. Extravasation c. Air embolism d. Circulatory overload - d. Circulatory overload 8. A nurse is caring for a client who is experiencing respiratory alkalosis. Which of the following actions should be the goal of treatment for the client? a. Increase the carbon dioxide level. b. Increase the respiratory rate. c. Increase the bicarbonate level. d. Increase the pH level. - a. Increase the carbon dioxide level. 9. A charge nurse is observing a newly licensed nurse who is preparing to administer a blood transfusion to a client. For which of the following actions by the newly licensed nurse should the charge nurse intervene? a. The nurse selects 0.45% sodium chloride to use to prime the tubing. b. The nurse asks another nurse to check the blood unit label and client identification prior to beginning the transfusion. c. The nurse uses tubing with a filter for the blood transfusion. d. The nurse discards the tubing after the first unit of blood is completed. - a. The nurse selects 0.45% sodium chloride to use to prime the tubing. 10. A nurse is caring for a client who has a peripherally inserted central catheter (PICC). For which of the following complications should the nurse monitor? a. The need for multiple IV sticks b. Infection at the access site c. Dehydration d. Infiltration - b. Infection at the access site 11. A nurse is preparing to administer 4,200 mL of intravenous fluids to a client to infuse over 24 hr. The nurse should set the IV pump to deliver how many mL/hr? (Round the answer to the nearest whole number. Use a leading zero if it applies. Do not use a trailing zero.) - 175 mL/hr 12. A nurse is calculating a client's intake and output for the last 4 hr. The client consumed 480 mL of water and 240 mL of coffee. The client has also received IV fluids for 4 hr infusing at 100 mL/hr. Which of the following amounts represents the client's intake over the last 4 hr? a. 1,120 mL b. 720 mL c. 480 mL d. 580 mL - a. 1,120 mL 13. A nurse is assisting in the care for a client who requires a replacement peripheral IV. The client is dehydrated and requires a smaller gauge catheter than the #20- gauge being replaced. Which of the following gauge catheters should the nurse recommend using? a. #16-gauge b. #18-gauge c. #22-gauge d. #14-gauge - c. #22-gauge 14. A nurse is reviewing arterial blood gas (ABG) values for a client who is experiencing metabolic acidosis. Which of the following ABG values should the nurse expect? (Select all that apply.) HCO3- 29 mEq/L pH 7.29 PaCO2 49 mm Hg pH 7.49 PaCO2 30 mm Hg - pH 7.29 PaCO2 49 mm Hg 15. A nurse is caring for an older adult client who is experiencing dehydration. The nurse should identify that which of the following factors increases the risk for dehydration in older adult clients? (Select all that apply.) Decreased kidney function Decreased thirst response Decreased total body fluid Eating watermelon daily Eating cucumbers with each meal - Decreased kidney function Decreased thirst response Decreased total body fluid 16. A nurse is participating in a blood drive and is taking a donation from a client who has type O+ blood. The client asks the nurse what type of blood they can receive. Which of the following statements should the nurse make? a. "You can receive a blood donation from donors with type O- and type O+ blood." b. "You can receive a blood donation from donors with type B- and type A+ blood." c. "You can receive a blood donation from donors with type B- and type AB+ blood." d. "You can receive a blood donation from donors with type AB- and type Ablood." - a. "You can receive a blood donation from donors with type Oand type O+ blood." 17. A nurse is collecting data from a client who is exhibiting signs of a fluid and electrolyte imbalance. Which of the following reports from the client is an indication that they may have a fluid or electrolyte imbalance? a. The client reports working in a warehouse in 21.1° C (70° F) temperature. b. The client reports that they performed yard work for 8 hr in 35° C (95° F) temperature earlier that day. c. The client reports that their provider decreased their diuretic dose. d. The client reports they had a 24-hr intestinal virus 2 weeks ago. - b. The client reports that they performed yard work for 8 hr in 35° C (95° F) temperature earlier that day. 18. A nurse has completed collecting data for a client who has an acid-base imbalance. Which of the following steps of the nursing process should the nurse take next? a. Implementation b. Re-collection of data c. Evaluation d. Planning - d. Planning

Mostrar más Leer menos









Ups! No podemos cargar tu documento ahora. Inténtalo de nuevo o contacta con soporte.

Información del documento

Subido en
11 de abril de 2025
Número de páginas
7
Escrito en
2024/2025
Tipo
Examen
Contiene
Preguntas y respuestas

Temas

  • ati fluid
  • ati
$7.99
Accede al documento completo:

100% de satisfacción garantizada
Inmediatamente disponible después del pago
Tanto en línea como en PDF
No estas atado a nada

Conoce al vendedor

Seller avatar
Los indicadores de reputación están sujetos a la cantidad de artículos vendidos por una tarifa y las reseñas que ha recibido por esos documentos. Hay tres niveles: Bronce, Plata y Oro. Cuanto mayor reputación, más podrás confiar en la calidad del trabajo del vendedor.
Terry75 NURSING
Ver perfil
Seguir Necesitas iniciar sesión para seguir a otros usuarios o asignaturas
Vendido
63
Miembro desde
11 meses
Número de seguidores
0
Documentos
1861
Última venta
1 semana hace

4.5

13 reseñas

5
10
4
1
3
1
2
0
1
1

Recientemente visto por ti

Por qué los estudiantes eligen Stuvia

Creado por compañeros estudiantes, verificado por reseñas

Calidad en la que puedes confiar: escrito por estudiantes que aprobaron y evaluado por otros que han usado estos resúmenes.

¿No estás satisfecho? Elige otro documento

¡No te preocupes! Puedes elegir directamente otro documento que se ajuste mejor a lo que buscas.

Paga como quieras, empieza a estudiar al instante

Sin suscripción, sin compromisos. Paga como estés acostumbrado con tarjeta de crédito y descarga tu documento PDF inmediatamente.

Student with book image

“Comprado, descargado y aprobado. Así de fácil puede ser.”

Alisha Student

Preguntas frecuentes