100% de satisfacción garantizada Inmediatamente disponible después del pago Tanto en línea como en PDF No estas atado a nada 4,6 TrustPilot
logo-home
Examen

FIN 073 Strategic Cost Management Second Perlodic Exam Answered Fall 2024.

Puntuación
-
Vendido
-
Páginas
9
Grado
A+
Subido en
06-09-2024
Escrito en
2024/2025

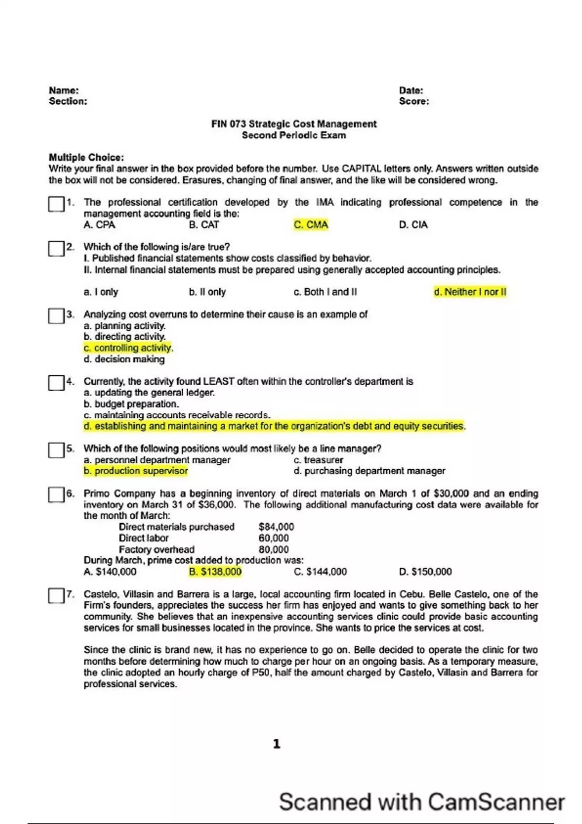
Name: Date: Section: Score: FIN 073 Strategic Cost Management Second Perlodic Exam Multiple Choice: Write your final answer in the box provided before the number. Use CAPITAL letters only. Answers written outside the box will not be considered. Erasures, changing of final answer, and the like will be considered wrong. D‘L The professional certification developed by the IMA indicating professional competence in the management accounting field is the: A.CPA B. CAT C.CMA D.CIA D 2. Which of the following is/are true? 1. Published financial statements show costs classified by behavior. I1. Internal financial statements must be prepared using generally accepted accounting principles. a. lonly b. Il only c.Bothland Il d. Neither | nor Il D 3. Analyzing cost overruns to determine their cause is an example of a. planning activity. b. directing activity. c. controlling activity. d. decision making DA. Currently, the activity found LEAST often within the controller’s department is a. updating the general ledger. b. budget preparation. c. maintaining accounts receivable records. d. establishing and maintaining a market for the organization's debt and equity securities. DS. Which of the following positions would most likely be a line manager? a. personnel department manager c. treasurer b. production supervisor d. purchasing department manager I:‘S. Primo Company has a beginning inventory of direct materials on March 1 of $30,000 and an ending inventory on March 31 of $36,000. The following additional manufacturing cost data were available for the month of March: Direct materials purchased $84,000 Direct labor 60,000 Factory overhead 80,000 During March, prime cost added to production was: A. $140,000 B. $138,000 C. $144,000 D. $150,000 Dl Castelo, Villasin and Barrera is a large, local accounting firm located in Cebu. Belle Castelo, one of the Firm's founders, appreciates the success her firm has enjoyed and wants to give something back to her community. She believes that an inexpensive accounting services clinic could provide basic accounting services for small businesses located in the province. She wants to price the services at cost. Since the clinic is brand new, it has no experience to go on. Belle decided to operate the clinic for two months before determining how much to charge per hour on an ongoing basis. As a temporary measure, the clinic adopted an hourly charge of P50, half the amount charged by Castelo, Villasin and Barrera for professional services. Scanned with CamScannerThe accounting services clinic opened on January 1. During January, the clinic had 120 hours of professional service. During February, the activity was 150 hours. Costs for these two levels of activity usage are as follows: Professional hours 120 hours 150 hours Salaries: Senior accountant P2,500 P2,500 Office assistant 1,200 1,200 Internet and software subscriptions 700 850 Consulting by senior partner 1,200 1,500 Depreciation (equipment) 2,400 2,400 Supplies 905 1,100 Administration 500 500 Rent (offices) 2,000 2,000 Utilities 332 365 The clinic’s monthly fixed costs amount to: a. P8,600 b. P9,025 c. P425 d. P12,189 Temperance, Inc. is studying marketing cost and sales volume, and has generated the following information by use of a scatter diagram and a least-squares regression analysis: Scatter Diagram Regression Analysis Variable cost per unit sold $6.50 $6.80 Total monthly fixcd cost $45,000 $42,500 Temperance is now preparing an estimate for monthly sales of 18,000 units. On the basis of the data presented, compute the most accurate sales forecast possible. a. $159,500. b. $162,000. c. $164,900. d. $167,400. As projected net income increases the a. degree of operating leverage declines. c. break-even point goes down. b. margin of safety stays constant. d. contribution margin ratio goes up. . For its most recent fiscal year, a firm reported that its contribution margin was equal to 40 percent of sales and that its net income amounted to 10 percent of sales. Ifits fixed costs for the year were P60,000, how much was the margin of safety? a. P150,000 b. P200,000 c. P600,000 d. P 50,000 . Assume that the company's management learned that a new technology that will increase the quality of its product is available. If implemented, its projections for next year will be changed: 1. The selling price of the product will increase to P75 per unit. 2. Fixed manufacturing costs will increase by 20%. 3. Additional advertising costs will be incurred to promote the higher-quality product. This will increase fixed non-manufacturing cost by 10%. 4. The improved product will require a new material that will increase direct materials cost by P4.50 If the new technology is adapted, how much sales should the company make to earn a pre-tax profit of 10% on sales? a. P366,130 b. P358,875 c. P253,324 d. P353,897 Scanned with CamScannerD 12. Antiporda, Inc. sells three products, A, B, and C. The company sells three (3) units of C for each unit of A and two (2) units of B for each unit of C. Total fixed costs amount to P760,000. Product A's contribution margin per unit is P2, Product B's is 150% of A's, and Product C's is twice as much as B's. How many units of each product must be sold to break-even? ProductA Product B ProductC a. 2,000 12,000 6,000 b. 20,000 120,000 60,000 c. 29,231 58,462 87,692 d. 69,001 414,546 207,273 []13. Which of the following is/are true? 1. Fixed manufacturing overhead is not inventoried under absorption costing. 11. Absorption costing is required for tax purposes. a. lonly b. Il only c.Bothland Il d. Neither | norIl D 14. Absorption costing differs from variable costing in all of the following except a. treatment of fixed manufacturing overhead. c. acceptability for external reporting. b. treatment of variable production costs. d. arrangement of the income statement D 15. A basic tenet of variable costing is that period costs should be currently expensed. What is the rationale behind this procedure? a. Period costs are uncontrollable and should not be charged to a specific product. b. Period costs are generally immaterial in amount and the cost of assigning the amounts to specific products would outweigh the benefits. c. Allocation of period costs is arbitrary at best and could lead to erroneous decision by management. d. Because period costs will occur whether production occurs, it is improper to allocate these costs to production and defer a current cost of doing business. D 16. Which of the following is an advantage of using variable costing? a. Variable costing complies with Generally Accepted Accounting Principles. b. Variable costing complies with the National Internal Revenue Code. c. Variable costing is most relevant to long-run pricing strategies. d. Variable costing makes cost-volume-profit relationships more easily apparent. The next two items are based on the following information: Indiana Company incurred the following costs during the past year when planned production and actual production each totaled 20,000 units: Direct materials used $280,000 Direct labor 120,000 Variable manufacturing overhead 160,000 Fixed manufacturing overhead 100,000 Variable selling and administrative costs 60,000 Fixed selling and administrative costs 90,000 E 17. If Indiana uses variable costing, the total inventoriable costs for the year would be: A. $400,000. B. $460,000. C. $560,000. D. $620,000. D 18. The per-unit inventoriable cost under absorption costing is: A. $25.00. B. $28.00. C. $33.00. D. $40.50. E‘ 19. Roberts, which began business at the start of the current year, had the following data: Planned and actual production: 40,000 units Sales: 37,000 units at $15 per unit Production costs: Scanned with CamScannerVariable: $4 per unit Fixed: $260,000 Selling and administrative costs: Variable: $1 per unit Fixed: $32,000 The gross margin that the company would disclose on an absorption-costing income statement is: A. $97,500. B. $147,000. C. $166,500. D. $370,000. DZO. Norton, which began business at the start of the current year, had the following data: Planned and actual production: 40,000 units Sales: 37,000 units at $15 per unit Production costs: Variable: $4 per unit Fixed: $260,000 Selling and administrative costs: Variable: $1 per unit Fixed: $32,000 The contribution margin that the company would disclose on a variable-costing income statement is: A. $97,500. B. $147,000. C. $166,500. D. $370,000. The next two items are based on the following information: Franz began business at the start of this year and had the following costs: variable manufacturing cost per unit, $9; fixed manufacturing costs, $60,000; variable selling and administrative costs per unit, $2; and fixed selling and administrative costs, $220,000. The company sells its units for $45 each. Additional data follow. Planned production in units 10,000 Actual production in units 10,000 Number of units sold 8,500 th The net income (loss) under absorption costing is: A. $(7,500). B. $9,000. C. $15,000. D. $18,000. Dzz, The net income (loss) under variable costing is: A. §(7,500). B. $9,000. C. $15,000. D. $18,000. E‘ZB, If a firm produces more units than it sells, absorption costing, relative to variable costing, will result in a. higher income and assets. c. lower income but higher assets. b. higher income but lower assets. d. lower income and assets. [:‘2& Garcia's inventory increased during the year. On the basis of this information, income reported under absorption costing: A. will be the same as that reported under variable costing. B. will be higher than that reported under variable costing. C. will be lower than that reported under variable costing. D. will differ from that reported under variable costing, the direction of which cannot be determined from the information given. The next three items are based on the following information: The following information is available for X Co. for its first year of operations: Sales in units 5,000 Production in units 8,000 Manufacturing costs: Direct labor P3 per unit Direct material 5 per unit 4 Scanned with CamScannerVariable overhead 1 per unit Fixed overhead P100,000 Net income (absorption method) P30,000 Sales price per unit P40 DZS. What would X Co. have reported as its income before income taxes if it had used variable costing? a. (P30,000) b. (P7,500) c. P67,500 d. P90,000 []26. What was the total amount of Selling, General & Administrative expense incurred by X Co.? a. P62,500 b. P30,000 ¢. P25,000 d. P6,000 D27. Based on variable costing, what would X Co. show as the value of its ending inventory? a. P120,000 b. P64,500 ¢. P27,000 d. P24,000 D 28. Under throughput costing, the cost of a unit typically includes: A. direct labor. B. variable manufacturing overhead. C. the direct costs incurred whenever a unit is manufactured. D. all of the choices. DZQ. An accounting system that collects financial and operating data on the basis of the underlying nature and extent of the cost drivers is a. Standard costing. c. Absorption costing. b. Activity-based costing. d. Variable costing. DSO. Consider the following statements regarding traditional costing systems: 1. Overhead costs are applied to products on the basis of volume-related measures. II. All manufacturing costs are easily traceable to the goods produced. ll. Traditional costing systems tend to distort unit manufacturing costs when numerous goods are made that have widely varying production requirements. Which of the above statements is (are) true? A.lonly. B. Il only. C.land Ill. D.lland il The next four items are based on the following information: Century, Inc., currently uses traditional costing procedures, applying $400,000 of overhead to products X and Y on the basis of direct labor hours. The firm is considering a shift to activity-based costing and the creation of individual cost pools that will use direct labor hours (DLH), production setups (SU), and number of parts components (PC) as cost drivers. Data on the cost pools and respective driver volumes follow. Pool No. 1 Pool No. 2 Pool No. 3 X 600 30 1,500 Y 1,400 50 1,000 Pool Cost $80,000 $140,000 $180,000 D31. The overhead cost allocated to product X by using traditional costing procedures would be: A.$120,000. B. $184,500. C. $215,500. D. $280,000. Daz. The overhead cost allocated to product Y by using traditional costing procedures would be: A. $120,000. B. $184,500. C. $215,500. D. $280,000. D.’!S. The overhead cost allocated to product X by using activity-based costing procedures would be: A. $120,000. B. $184,500. C. $215,500. D. $280,000. Scanned with CamScannerDM. The overhead cost allocated to product Y by using activity-based costing procedures would be: A. $120,000. B. $184,500. C. $215,500. D. $280,000. The next two items are based on the following information: Riverside Florists uses an activity-based costing system to compute the cost of making floral bouquets and delivering the bouquets to its commercial customers. Company personnel who eam $180,000 typically perform both tasks; other firm-wide overhead is expected to total $70,000. These costs are allocated as follows: Bouquet Production Delivery Other Wages and salaries 60% 30% 10% Other overhead 50% 35% 15% Riverside anticipates making 20,000 bouquets and 4,000 deliveries in the upcoming year. D354 The cost of wages and salaries and other overhead that would be charged to each bouquet made is: A.$7.15. B.$8.75. C. $12.50. D. $13.75. D36. The cost of wages and salaries and other overhead that would be charged to each delivery is: A. $19.63. B.$20.31. C. $26.75. D. $40.63. D37. Elaine Hospital plans to use the activity-based costing to assign hospital indirect costs to the care of patients. The hospital has identified the following activities and activity rates for the hospital indirect costs: i ivity R Room and meals P150 per day Radiology P95 per image Pharmacy P28 per physician order Chemistry lab P85 per test Operating room P550 per operating room hour The records of two representative patients were analyzed, using the activity rates. The activity information associated with the two patients are as follows: Patient 1 Patient 2 Number of days 7 3 Number of images 4 2 Number of physician orders 5 1 Number of tests 6 2 Number of operating room hours 45 1 Determine the activity cost associated with Patient 2. a.P1,388 b. P 908 c.P1,816 d. P4,555 DBS. Hazelnut Company uses activity-based costing. The company produces two products: coats and hats. The annual production and sales volume of coats is 8,000 units and of hats is 6,000 units. There are three activity cost pools with the following expected activities and estimated total costs: Activity Estimated Expected Expected Cost Pool Cost Activity Activity Coats Hats Total Activity 1 P20, Activity 2 P37,,000 6 Scanned with CamScanner[Jae. [J4o. [[4e. Activity 3 P91,200 800 3,000 3,800 Using ABC, the cost per unit of coats is approximately: a. P2.40 b. P3.90 c.P6.60 d. P10.59 Vanguard combines all manufacturing overhead into a single cost pool and allocates this overhead to products by using machine hours. Activity-based costing would likely show that with Vanguard's current procedures, A. all of the company's products are undercosted. B. the company's high-volume products are undercosted. C. all of the company's products are overcosted. D. the company's high-volume products are overcosted. Jackson manufactures products X and Y, applying overhead on the basis of labor hours. X, a low-volume product, requires a variety of complex manufacturing procedures. Y, on the other hand, is both a highvolume product and relatively simplistic in nature. What would an activity-based costing system likely disclose about products X and Y as a result of Jackson's current accounting procedures? X ¥ A Undercosted Undercosted B. Undercosted ~ Overcosted C. Overcosted Undercosted D. Overcosted Overcosted - If activity-based costing is used, modifications made by engineering to the product design of several products would be classified as a a. unit-level act c. product-level activity. b. batch-level activity. d. facility-level activity. . Maintenance of the production equipment would be classified as a a. unit-level activi c. product-level activity. b. batch-level activity. d. facility-level activity. . Which of the following is true of value-added activities? a. They include activities such as inspection of finished goods. b. They are activities that are necessary to remain in business. c. They are synonymous with the state-detection activities. d. They are the activities that replicate work because it wasn't done correctly the first time . Which of the following is an example of a non-value-added manufacturing activity? a. assembly c. finishing b. scheduling d. All of the choices are value-added activities. . The best characteristics of a standard cost system is A. standard can pinpoint responsibility and help motivation B. all variances from standard should be reviewed C. all significant unfavorable variances should be reviewed D. standard cost involves cost control which is cost reduction Which of the following is/are true? I. The condition where everything operates perfectly and demands maximum efficiency is called ideal standards. Il. The condition where everything operates perfectly and demands maximum efficiency is called theoretical standards. Scanned with CamScannera. lonly b. Il only c.Bothland Il d. Neither | nor Il D47. The term "management by exception” is best defined as: A. choosing exceptional managers. B. controlling actions of subordinates through acceptance of management techniques. C. investigating unfavorable variances. D. devoting management time to investigate significant variances. |:|48. The standard direct materials cost to produce a unit of a product is four meters of materials at P2.50 per meter. During June, 2015, 4,200 meters of materials costing P10,080 were purchased and used to produce 1,000 units of the product. What was the materials price variance for June, 2015? a. P480 unfavorable ¢. P400 favorable b. P 80 unfavorable d. P420 favorable ‘:‘49. Samson Company uses a standard costing system in the production of its only product. The 84,000 units Victoria, Inc., recently completed 52,000 units of a product that was expected to consume five pounds of direct material per finished unit. The standard price of the direct material was $9 per pound. If the firm purchased and consumed 268,000 pounds in manufacturing (cost = $2,304,800), the direct-materials quantity variance would be figured as: A. $72,000F. B. $72,000U. C. $107,200F. D. $107,200U. DSO. Courtney purchased and consumed 50,000 gallons of direct material that was used in the production of 11,000 finished units of product. According to engineering specifications, each finished unit had a manufacturing standard of five gallons. If a review of Courtney’s accounting records at the end of the period disclosed a material price variance of $5,000U and a material quantity variance of $3,000F, determine the actual price paid for a gallon of direct material. A. $0.50. B. $0.60. C. $0.70. D. $0.80. The next two items are based on the following information: Direct labor standard: 5 hours at $14 per hour Direct labor used in production: 45,000 hours at a cost of $639,000 Manufacturing activity, product no. 33: 8,900 units completed []51. The direct-labor rate variance is: A. $8,900F. B. $8,900U. C. $9,000F. D. $9,000U. D 52. The direct-labor efficiency variance is: A. $7,000F. B. $7,000U. C. $7,100F. D. $7,100U. DS& Simms Corporation had a favorable direct-labor efficiency variance of $6,000 for the period just ended. The actual wage rate was $0.50 more than the standard rate of $12.00. If the company's standard hours allowed for actual production totaled 9,500, how many hours did the firm actually work? A.9,000. B. 9,020. C. 9,980, D. 10,000. The next four items are based on the following information: Cost standards for product no. C77: Direct material 3 pounds at $2.50 per pound $ 7.50 Direct labor 5 hours at $7.50 per hour 37.50 Actual results: Units produced 7,800 units Direct material purchased 26,000 pounds at $2.70 $70,200 Direct material used 23,100 pounds at $2.70 62,370 Direct labor 40,100 hours at $7.30 292,730 Ds«t. The direct-material quantity variance is: Scanned with CamScannerA. S750F. B. $750U. C. $6,500U. D. $7,250U. . The direct-material price variance is: A. $4,620F. B. $4,620U. C. $5,200F. D. $5,200U. . The direct-labor rate variance is: A. $7,800F. B. $7,950F. C. $8,020F. D. $8,000U. . The direct-labor efficiency variance is: A. $8,000F. B. $8,000U. C. $8,250F. D. $8,250U. . Adirect-material quantity variance can be caused by all of the following except: A. improper employee training. C. acquisition of materials at a very attractive price. B. changes in sales volume. D. adjustment problems with machines. . A direct-labor efficiency variance cannot be caused by: A. inexperienced employees. C. an out-of-date labor time standard. B. poor quality raw materials. D. producing fewer finished units than originally planned. . Lucky Corporation's purchasing manager obtained a special price on an aluminum alloy from a new supplier, resulting in a direct-material price variance of $9,500F. The alloy produced more waste than normal, as evidenced by a direct-material quantity variance of $2,000U, and was also difficult to use. This slowed worker efficiency, generating a $2,500U labor efficiency variance. To help remedy the situation, the production manager used senior line employees, which gave rise to a $900U labor rate variance. If overall product quality did not suffer, what variance amount is best used in judging the appropriateness of the purchasing manager’s decision to acquire substandard material? A. $4,100F. B. $5,000F. C. $7,000F. D. $7,500F.

Mostrar más Leer menos
Institución
St. Augustine\'S College
Grado
FIN 073 Strategic Cost Management (FIN073)









Ups! No podemos cargar tu documento ahora. Inténtalo de nuevo o contacta con soporte.

Escuela, estudio y materia

Institución
St. Augustine\'S College
Grado
FIN 073 Strategic Cost Management (FIN073)

Información del documento

Subido en
6 de septiembre de 2024
Número de páginas
9
Escrito en
2024/2025
Tipo
Examen
Contiene
Preguntas y respuestas

Temas

Vista previa del contenido

Name: Date:
Section: Score:

FIN 073 Strategic Cost Management
Second Perlodic Exam

Multiple Choice:
Write your final answer in the box provided before the number. Use CAPITAL letters only. Answers written outside
the box will not be considered. Erasures, changing of final answer, and the like will be considered wrong.

D‘L The professional certification developed by the IMA indicating professional competence in the
management accounting field is the:
A.CPA B. CAT C.CMA D.CIA

D 2. Which of the following is/are true?
1. Published financial statements show costs classified by behavior.
I1. Internal financial statements must be prepared using generally accepted accounting principles.

a. lonly b. Il only c.Bothland Il d. Neither | nor Il

D 3. Analyzing cost overruns to determine their cause is an example of
a. planning activity.
b. directing activity.
c. controlling activity.
d. decision making

DA. Currently, the activity found LEAST often within the controller’s department is
a. updating the general ledger.
b. budget preparation.
c. maintaining accounts receivable records.
d. establishing and maintaining a market for the organization's debt and equity securities.

DS. Which of the following positions would most likely be a line manager?
a. personnel department manager c. treasurer
b. production supervisor d. purchasing department manager

I:‘S. Primo Company has a beginning inventory of direct materials on March 1 of $30,000 and an ending
inventory on March 31 of $36,000. The following additional manufacturing cost data were available for
the month of March:
Direct materials purchased $84,000
Direct labor 60,000
Factory overhead 80,000
During March, prime cost added to production was:
A. $140,000 B. $138,000 C. $144,000 D. $150,000

Dl Castelo, Villasin and Barrera is a large, local accounting firm located in Cebu. Belle Castelo, one of the
Firm's founders, appreciates the success her firm has enjoyed and wants to give something back to her
community. She believes that an inexpensive accounting services clinic could provide basic accounting
services for small businesses located in the province. She wants to price the services at cost.

Since the clinic is brand new, it has no experience to go on. Belle decided to operate the clinic for two
months before determining how much to charge per hour on an ongoing basis. As a temporary measure,
the clinic adopted an hourly charge of P50, half the amount charged by Castelo, Villasin and Barrera for
professional services.




Scanned with CamScanner

, The accounting services clinic opened on January 1. During January, the clinic had 120 hours of
professional service. During February, the activity was 150 hours. Costs for these two levels of activity
usage are as follows:


Professional hours 120 hours 150 hours
Salaries:
Senior accountant P2,500 P2,500
Office assistant 1,200 1,200
Internet and software subscriptions 700 850
Consulting by senior partner 1,200 1,500
Depreciation (equipment) 2,400 2,400
Supplies 905 1,100
Administration 500 500
Rent (offices) 2,000 2,000
Utilities 332 365

The clinic’s monthly fixed costs amount to:
a. P8,600 b. P9,025 c. P425 d. P12,189

Temperance, Inc. is studying marketing cost and sales volume, and has generated the following
information by use of a scatter diagram and a least-squares regression analysis:

Scatter Diagram Regression Analysis
Variable cost per unit sold $6.50 $6.80
Total monthly fixcd cost $45,000 $42,500


Temperance is now preparing an estimate for monthly sales of 18,000 units. On the basis of the data
presented, compute the most accurate sales forecast possible.

a. $159,500. b. $162,000. c. $164,900. d. $167,400.

As projected net income increases the
a. degree of operating leverage declines. c. break-even point goes down.
b. margin of safety stays constant. d. contribution margin ratio goes up.

. For its most recent fiscal year, a firm reported that its contribution margin was equal to 40 percent of sales
and that its net income amounted to 10 percent of sales. Ifits fixed costs for the year were P60,000, how
much was the margin of safety?
a. P150,000 b. P200,000 c. P600,000 d. P 50,000

. Assume that the company's management learned that a new technology that will increase the quality of
its product is available. If implemented, its projections for next year will be changed:
1. The selling price of the product will increase to P75 per unit.
2. Fixed manufacturing costs will increase by 20%.
3. Additional advertising costs will be incurred to promote the higher-quality product. This will increase
fixed non-manufacturing cost by 10%.
4. The improved product will require a new material that will increase direct materials cost by P4.50

If the new technology is adapted, how much sales should the company make to earn a pre-tax profit of
10% on sales?
a. P366,130 b. P358,875 c. P253,324 d. P353,897




Scanned with CamScanner
$16.54
Accede al documento completo:

100% de satisfacción garantizada
Inmediatamente disponible después del pago
Tanto en línea como en PDF
No estas atado a nada

Conoce al vendedor

Seller avatar
Los indicadores de reputación están sujetos a la cantidad de artículos vendidos por una tarifa y las reseñas que ha recibido por esos documentos. Hay tres niveles: Bronce, Plata y Oro. Cuanto mayor reputación, más podrás confiar en la calidad del trabajo del vendedor.
Topscorer london
Ver perfil
Seguir Necesitas iniciar sesión para seguir a otros usuarios o asignaturas
Vendido
117
Miembro desde
5 año
Número de seguidores
13
Documentos
454
Última venta
1 día hace
Top Scorer

Helping all Students fulfill their educational, career and personal goals.

4.3

24 reseñas

5
16
4
3
3
3
2
0
1
2

Recientemente visto por ti

Por qué los estudiantes eligen Stuvia

Creado por compañeros estudiantes, verificado por reseñas

Calidad en la que puedes confiar: escrito por estudiantes que aprobaron y evaluado por otros que han usado estos resúmenes.

¿No estás satisfecho? Elige otro documento

¡No te preocupes! Puedes elegir directamente otro documento que se ajuste mejor a lo que buscas.

Paga como quieras, empieza a estudiar al instante

Sin suscripción, sin compromisos. Paga como estés acostumbrado con tarjeta de crédito y descarga tu documento PDF inmediatamente.

Student with book image

“Comprado, descargado y aprobado. Así de fácil puede ser.”

Alisha Student

Preguntas frecuentes