100% de satisfacción garantizada Inmediatamente disponible después del pago Tanto en línea como en PDF No estas atado a nada 4.2 TrustPilot
logo-home
Notas de lectura

Conceptes de Plató

Puntuación
-
Vendido
-
Páginas
4
Subido en
11-05-2024
Escrito en
2023/2024

Taula amb les idees principals de la filosofia d'aquest autor.

Institución
Grado








Ups! No podemos cargar tu documento ahora. Inténtalo de nuevo o contacta con soporte.

Escuela, estudio y materia

Institución
Escuela secundaria
Estudio
Bachillerato
Grado
Año escolar
2

Información del documento

Subido en
11 de mayo de 2024
Número de páginas
4
Escrito en
2023/2024
Tipo
Notas de lectura
Profesor(es)
...
Contiene
Todas las clases

Temas

Vista previa del contenido

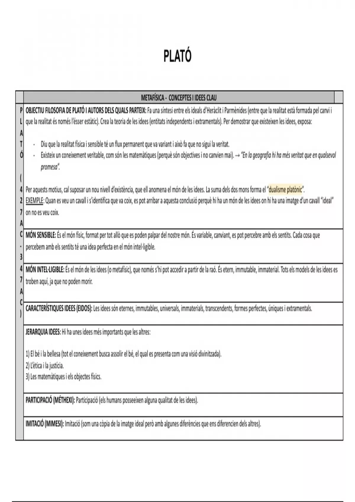
PLATÓ

METAFÍSICA - CONCEPTES I IDEES CLAU
P OBJECTIU FILOSOFIA DE PLATÓ I AUTORS DELS QUALS PARTEIX: Fa una síntesi entre els ideals d’Heràclit i Parmènides (entre que la realitat està formada pel canvi i
L que la realitat és només l’ésser estàtic). Crea la teoria de les idees (entitats independents i extramentals). Per demostrar que existeixen les idees, exposa:
A
T - Diu que la realitat física i sensible té un flux permanent que va variant i això fa que no sigui la veritat.
Ó - Existeix un coneixement veritable, com són les matemàtiques (perquè són objectives i no canvien mai). → “En la geografia hi ha més veritat que en qualsevol
promesa”.
(
4 Per aquests motius, cal suposar un nou nivell d’existència, que ell anomena el món de les idees. La suma dels dos mons forma el “dualisme platònic”.
2 EXEMPLE: Quan es veu un cavall i s’identifica que va coix, es pot arribar a aquesta conclusió perquè hi ha un món de les idees on hi ha una imatge d’un cavall “ideal”
7 on no es veu coix.
A
C MÓN SENSIBLE: És el món físic, format per tot allò que es poden palpar del nostre món. És variable, canviant, es pot percebre amb els sentits. Cada cosa que
- percebem amb els sentits té una idea perfecta en el món intel·ligible.
3
4 MÓN INTEL·LIGIBLE: És el món de les idees (o metafísic), que només s’hi pot accedir a partir de la raó. És etern, immutable, immaterial. Tots els models de les idees es
7 troben aquí, ja que no poden morir.
A
C
CARACTERÍSTIQUES IDEES (EIDOS): Les idees són eternes, immutables, universals, immaterials, transcendents, formes perfectes, úniques i extramentals.
)
JERARQUIA IDEES: Hi ha unes idees més importants que les altres:

1) El bé i la bellesa (tot el coneixement busca assolir el bé, el qual es presenta com una visió divinitzada).
2) L’ètica i la justícia.
3) Les matemàtiques i els objectes físics.

PARTICIPACIÓ (MÉTHEXI): Participació (els humans posseeixen alguna qualitat de les idees).

IMITACIÓ (MIMESI): Imitació (som una còpia de la imatge ideal però amb algunes diferències que ens diferencien dels altres).
$4.43
Accede al documento completo:

100% de satisfacción garantizada
Inmediatamente disponible después del pago
Tanto en línea como en PDF
No estas atado a nada

Conoce al vendedor
Seller avatar
gallatorra

Conoce al vendedor

Seller avatar
gallatorra
Seguir Necesitas iniciar sesión para seguir a otros usuarios o asignaturas
Vendido
0
Miembro desde
1 año
Número de seguidores
0
Documentos
16
Última venta
-

0.0

0 reseñas

5
0
4
0
3
0
2
0
1
0

Recientemente visto por ti

Por qué los estudiantes eligen Stuvia

Creado por compañeros estudiantes, verificado por reseñas

Calidad en la que puedes confiar: escrito por estudiantes que aprobaron y evaluado por otros que han usado estos resúmenes.

¿No estás satisfecho? Elige otro documento

¡No te preocupes! Puedes elegir directamente otro documento que se ajuste mejor a lo que buscas.

Paga como quieras, empieza a estudiar al instante

Sin suscripción, sin compromisos. Paga como estés acostumbrado con tarjeta de crédito y descarga tu documento PDF inmediatamente.

Student with book image

“Comprado, descargado y aprobado. Así de fácil puede ser.”

Alisha Student

Preguntas frecuentes