100% de satisfacción garantizada Inmediatamente disponible después del pago Tanto en línea como en PDF No estas atado a nada 4,6 TrustPilot
logo-home
Examen

ATI RN COMPREHENSIVE PREDICTOR 2023 /2023FORM A B &C UPDATED VERSION TEST BANK

Puntuación
-
Vendido
-
Páginas
241
Grado
A
Subido en
19-07-2023
Escrito en
2022/2023

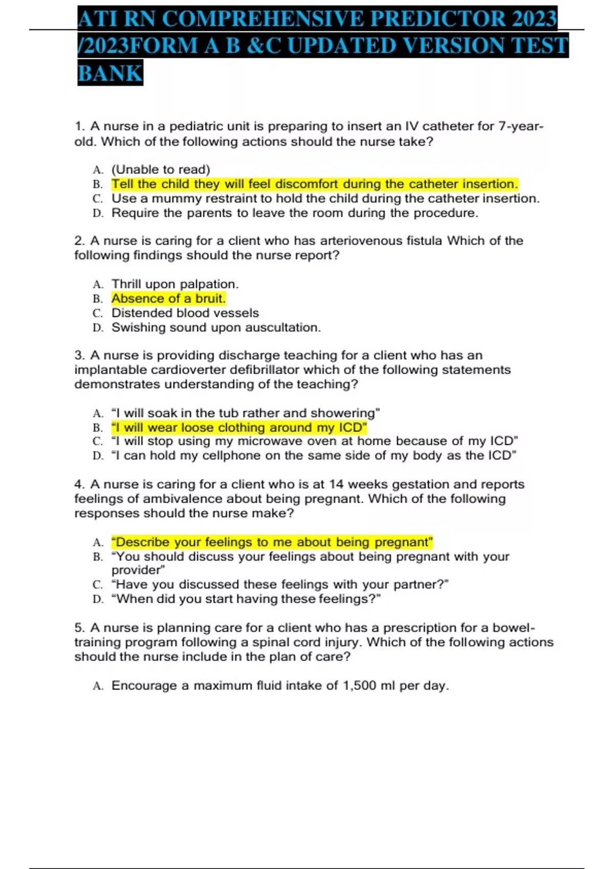
1. A nurse in a pediatric unit is preparing to insert an IV catheter for 7-year- old. Which of the following actions should the nurse take? A. (Unable to read) B. Tell the child they will feel discomfort during the catheter insertion. C. Use a mummy restraint to hold the child during the catheter insertion. D. Require the parents to leave the room during the procedure. 2. A nurse is caring for a client who has arteriovenous fistula Which of the following findings should the nurse report? A. Thrill upon palpation. B. Absence of a bruit. C. Distended blood vessels D. Swishing sound upon auscultation. 3. A nurse is providing discharge teaching for a client who has an implantable cardioverter defibrillator which of the following statements demonstrates understanding of the teaching? A. “I will soak in the tub rather and showering” B. “I will wear loose clothing around my ICD” C. “I will stop using my microwave oven at home because of my ICD” D. “I can hold my cellphone on the same side of my body as the ICD” 4. A nurse is caring for a client who is at 14 weeks gestation and reports feelings of ambivalence about being pregnant. Which of the following responses should the nurse make? A. “Describe your feelings to me about being pregnant” B. “You should discuss your feelings about being pregnant with your provider” C. “Have you discussed these feelings with your partner?” D. “When did you start having these feelings?” 5

Mostrar más Leer menos
Institución
Grado

Vista previa del contenido

ATI RN COMPREHENSIVE PREDICTOR 2023
/2023FORM A B &C UPDATED VERSION TEST
BANK

1. A nurse in a pediatric unit is preparing to insert an IV catheter for 7-year-
old. Which of the following actions should the nurse take?

A. (Unable to read)
B. Tell the child they will feel discomfort during the catheter insertion.
C. Use a mummy restraint to hold the child during the catheter insertion.
D. Require the parents to leave the room during the procedure.

2. A nurse is caring for a client who has arteriovenous fistula Which of the
following findings should the nurse report?

A. Thrill upon palpation.
B. Absence of a bruit.
C. Distended blood vessels
D. Swishing sound upon auscultation.

3. A nurse is providing discharge teaching for a client who has an
implantable cardioverter defibrillator which of the following statements
demonstrates understanding of the teaching?

A. “I will soak in the tub rather and showering”
B. “I will wear loose clothing around my ICD”
C. “I will stop using my microwave oven at home because of my ICD”
D. “I can hold my cellphone on the same side of my body as the ICD”

4. A nurse is caring for a client who is at 14 weeks gestation and reports
feelings of ambivalence about being pregnant. Which of the following
responses should the nurse make?

A. “Describe your feelings to me about being pregnant”
B. “You should discuss your feelings about being pregnant with your
provider”
C. “Have you discussed these feelings with your partner?”
D. “When did you start having these feelings?”

5. A nurse is planning care for a client who has a prescription for a bowel-
training program following a spinal cord injury. Which of the following actions
should the nurse include in the plan of care?

A. Encourage a maximum fluid intake of 1,500 ml per day.

,ATI RN COMPREHENSIVE PREDICTOR 2023
/2023FORM A B &C UPDATED VERSION TEST
BANK
B. Increase Provide the client with a cold drink prior to defecation.

C. Administer a rectal suppository 30 minutes prior to scheduled
defecation times.
D. The amount of refined grains in the client’s diet.

,6. A nurse is caring for a client who is in active labor and requests pain
management. Which of the following actions should the nurse take?

A. Administer ondansetron.
B. Place the client in a warm shower.
C. Apply fundal pressure during contractions.
D. Assist the client to a supine position.

7. a nurse in an emergency department is performing triage for multiple
clients following a disaster in the community. To which of the following types
of injuries should the nurse assign the highest priority?

A. Below-the knee amputation
B. Fractured tibia
C. 95% full-thickness body burn
D. 10cm (4in) laceration to the forearm

8. a nurse manager is updating protocols for the use of belt restraints. Which
of the following guidelines should the nurse include?

A. Remove the client’s restraint every 4hr
B. Document the client’s condition every 15 min
C. Attach the restrain to the bed’s side rails
D. Request a PRN restrain prescription for clients who are aggressive

9. A nurse is teaching an in-service about nursing leadership. Which of the
following information should the nurse include about an effective leader?

A. Acts as an advocate for the nursing unit.
B. (Unable to read) for the unit
C. Priorities staff request over client needs.
D. Provides routine client care and documentation.

10. A nurse is reviewing the laboratory findings of a client who has diabetes
mellitus and reports that she has been following her (unable to read) care.
The nurse should identify which of the following findings indicates a need to

, revise the client’s plan of care.

A. Serum sodium 144 mEq/
B. (Unable to read)
C. Hba1c 10 %

Escuela, estudio y materia

Grado

Información del documento

Subido en
19 de julio de 2023
Número de páginas
241
Escrito en
2022/2023
Tipo
Examen
Contiene
Preguntas y respuestas

Temas

$14.49
Accede al documento completo:

100% de satisfacción garantizada
Inmediatamente disponible después del pago
Tanto en línea como en PDF
No estas atado a nada

Conoce al vendedor
Seller avatar
kelvinmwanjiru

Conoce al vendedor

Seller avatar
kelvinmwanjiru Chamberlain School Of Nursing
Seguir Necesitas iniciar sesión para seguir a otros usuarios o asignaturas
Vendido
0
Miembro desde
2 año
Número de seguidores
0
Documentos
124
Última venta
-

0.0

0 reseñas

5
0
4
0
3
0
2
0
1
0

Recientemente visto por ti

Por qué los estudiantes eligen Stuvia

Creado por compañeros estudiantes, verificado por reseñas

Calidad en la que puedes confiar: escrito por estudiantes que aprobaron y evaluado por otros que han usado estos resúmenes.

¿No estás satisfecho? Elige otro documento

¡No te preocupes! Puedes elegir directamente otro documento que se ajuste mejor a lo que buscas.

Paga como quieras, empieza a estudiar al instante

Sin suscripción, sin compromisos. Paga como estés acostumbrado con tarjeta de crédito y descarga tu documento PDF inmediatamente.

Student with book image

“Comprado, descargado y aprobado. Así de fácil puede ser.”

Alisha Student

Preguntas frecuentes