100% satisfaction guarantee Immediately available after payment Both online and in PDF No strings attached 4,6 TrustPilot
logo-home
Package deal

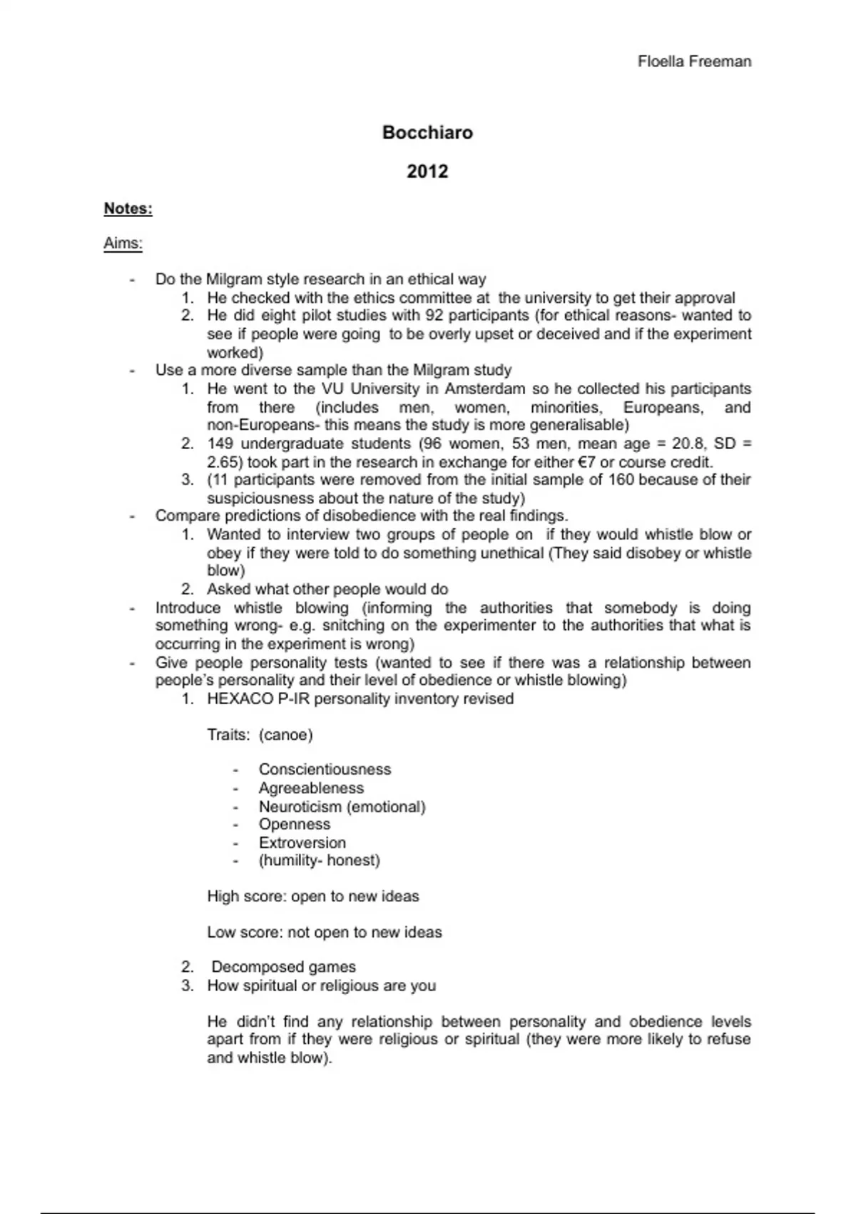
Bocchiaro Key Notes and 10 Questions / Answers

Combined rating
-
Documents
2
Sold
-
Total pages
9
Last updated
12-02-2025

These two documents contain key information and 10 questions / answers on the core study Bocchiaro in the social area in a-level psychology.

Documents in this bundle
2
$14.47 $13.68
You save $-0.79
Save 0% on 2 documents

100% satisfaction guarantee
Immediately available after payment
Both online and in PDF
No strings attached

Get to know the seller
Seller avatar
floellafreeman

Get to know the seller

Seller avatar
floellafreeman Varndean College, Brighton
Follow You need to be logged in order to follow users or courses
Sold
0
Member since
11 months
Number of followers
0
Documents
2
Last sold
-

0.0

0 reviews

5
0
4
0
3
0
2
0
1
0

Recently viewed by you

Why students choose Stuvia

Created by fellow students, verified by reviews

Quality you can trust: written by students who passed their exams and reviewed by others who've used these notes.

Didn't get what you expected? Choose another document

No worries! You can immediately select a different document that better matches what you need.

Pay how you prefer, start learning right away

No subscription, no commitments. Pay the way you're used to via credit card or EFT and download your PDF document instantly.

Student with book image

“Bought, downloaded, and aced it. It really can be that simple.”

Alisha Student

Frequently asked questions