100% tevredenheidsgarantie Direct beschikbaar na je betaling Lees online óf als PDF Geen vaste maandelijkse kosten 4.2 TrustPilot
logo-home
Tentamen (uitwerkingen)

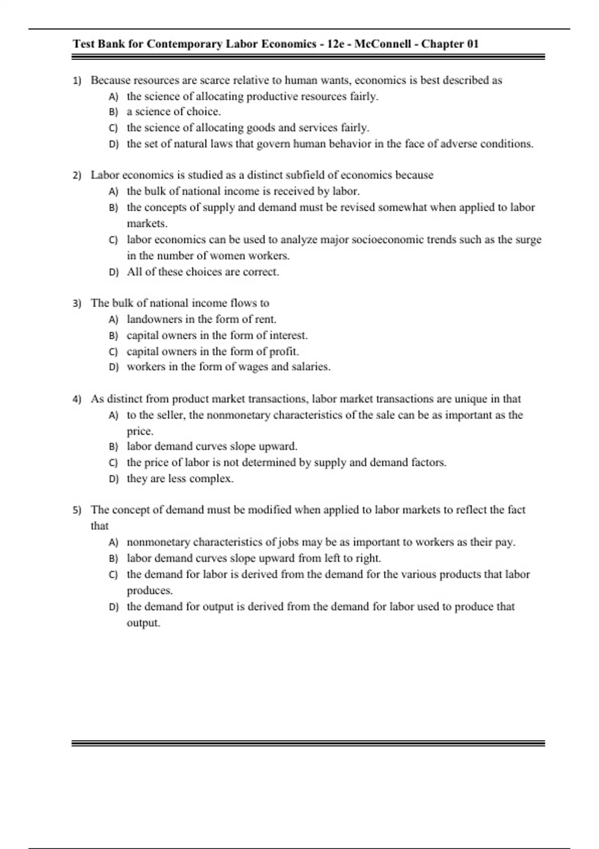
Test Bank For Contemporary Labor Economics, 12th Edition All Chapters - 9781260243055

Beoordeling
-
Verkocht
-
Pagina's
319
Cijfer
A+
Geüpload op
27-08-2023
Geschreven in
2022/2023

Test Bank For Contemporary Labor Economics, 12th Edition All Chapters

Instelling
Unknown
Vak
Unknown











Oeps! We kunnen je document nu niet laden. Probeer het nog eens of neem contact op met support.

Gekoppeld boek

Geschreven voor

Instelling
Unknown
Vak
Unknown

Documentinformatie

Geüpload op
27 augustus 2023
Aantal pagina's
319
Geschreven in
2022/2023
Type
Tentamen (uitwerkingen)
Bevat
Vragen en antwoorden

Onderwerpen

Maak kennis met de verkoper

Seller avatar
De reputatie van een verkoper is gebaseerd op het aantal documenten dat iemand tegen betaling verkocht heeft en de beoordelingen die voor die items ontvangen zijn. Er zijn drie niveau’s te onderscheiden: brons, zilver en goud. Hoe beter de reputatie, hoe meer de kwaliteit van zijn of haar werk te vertrouwen is.
TBNursing
Volgen Je moet ingelogd zijn om studenten of vakken te kunnen volgen
Verkocht
72
Lid sinds
2 jaar
Aantal volgers
31
Documenten
309
Laatst verkocht
3 weken geleden
DeniseTestBank

3,8

11 beoordelingen

5
7
4
1
3
0
2
0
1
3

Recent door jou bekeken

Waarom studenten kiezen voor Stuvia

Gemaakt door medestudenten, geverifieerd door reviews

Kwaliteit die je kunt vertrouwen: geschreven door studenten die slaagden en beoordeeld door anderen die dit document gebruikten.

Niet tevreden? Kies een ander document

Geen zorgen! Je kunt voor hetzelfde geld direct een ander document kiezen dat beter past bij wat je zoekt.

Betaal zoals je wilt, start meteen met leren

Geen abonnement, geen verplichtingen. Betaal zoals je gewend bent via iDeal of creditcard en download je PDF-document meteen.

Student with book image

“Gekocht, gedownload en geslaagd. Zo makkelijk kan het dus zijn.”

Alisha Student

Veelgestelde vragen