Garantie de satisfaction à 100% Disponible immédiatement après paiement En ligne et en PDF Tu n'es attaché à rien 4.2 TrustPilot
logo-home
Notes de cours

Handgeschreven oplossingen Wiskunde voor bedrijfswetenschappen B Oefenbundel WBW B(S) SCHAKELPROGRAMMA

Note
-
Vendu
-
Pages
29
Publié le
23-09-2025
Écrit en
2024/2025

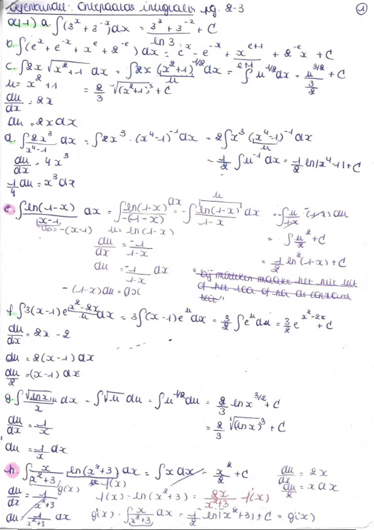
Dit zijn handgeschreven oplossingen van de oefenbundel WBW B(S) voor SCHAKELPROGRAMMA Master Handelswetenschappen!! Opgelet! Niet alle oefeningen zijn opgelost. Namelijk T1 Onbepaalde integralen: oefening 1 p T2 Differentiaalvergelijkingen van de eerste orde met scheidbare variabelen: oefening 1 g, h, i, j, 7 c, 10, 11, 12. Oplossing van oefening 5 komt na de oplossing van oefening 9. T3 Bepaalde integralen: Oefening 2 i, j, k. T4 Matrices en stelsels: Oefening 7 is verkeerd, daarom staan er vraagtekens '???' T5: Determinanten, eigenwaarden en eigenvectoren, machten en matrices: Oefening 1

Montrer plus Lire moins










Oups ! Impossible de charger votre document. Réessayez ou contactez le support.

Infos sur le Document

Publié le
23 septembre 2025
Nombre de pages
29
Écrit en
2024/2025
Type
Notes de cours
Professeur(s)
Ann laeremans
Contient
Toutes les classes

Sujets

€6,99
Accéder à l'intégralité du document:

Garantie de satisfaction à 100%
Disponible immédiatement après paiement
En ligne et en PDF
Tu n'es attaché à rien

Faites connaissance avec le vendeur
Seller avatar
angelavdb84

Faites connaissance avec le vendeur

Seller avatar
angelavdb84 Katholieke Universiteit Leuven
Voir profil
S'abonner Vous devez être connecté afin de suivre les étudiants ou les cours
Vendu
0
Membre depuis
1 année
Nombre de followers
0
Documents
1
Dernière vente
-

0,0

0 revues

5
0
4
0
3
0
2
0
1
0

Récemment consulté par vous

Pourquoi les étudiants choisissent Stuvia

Créé par d'autres étudiants, vérifié par les avis

Une qualité sur laquelle compter : rédigé par des étudiants qui ont réussi et évalué par d'autres qui ont utilisé ce document.

Le document ne convient pas ? Choisis un autre document

Aucun souci ! Tu peux sélectionner directement un autre document qui correspond mieux à ce que tu cherches.

Paye comme tu veux, apprends aussitôt

Aucun abonnement, aucun engagement. Paye selon tes habitudes par carte de crédit et télécharge ton document PDF instantanément.

Student with book image

“Acheté, téléchargé et réussi. C'est aussi simple que ça.”

Alisha Student

Foire aux questions