Garantie de satisfaction à 100% Disponible immédiatement après paiement En ligne et en PDF Tu n'es attaché à rien 4,6 TrustPilot
logo-home
Examen

HESI EXIT EXAM TEST BANK LATEST UPDADE

Note
-
Vendu
-
Pages
37
Grade
A+
Publié le
24-07-2025
Écrit en
2024/2025

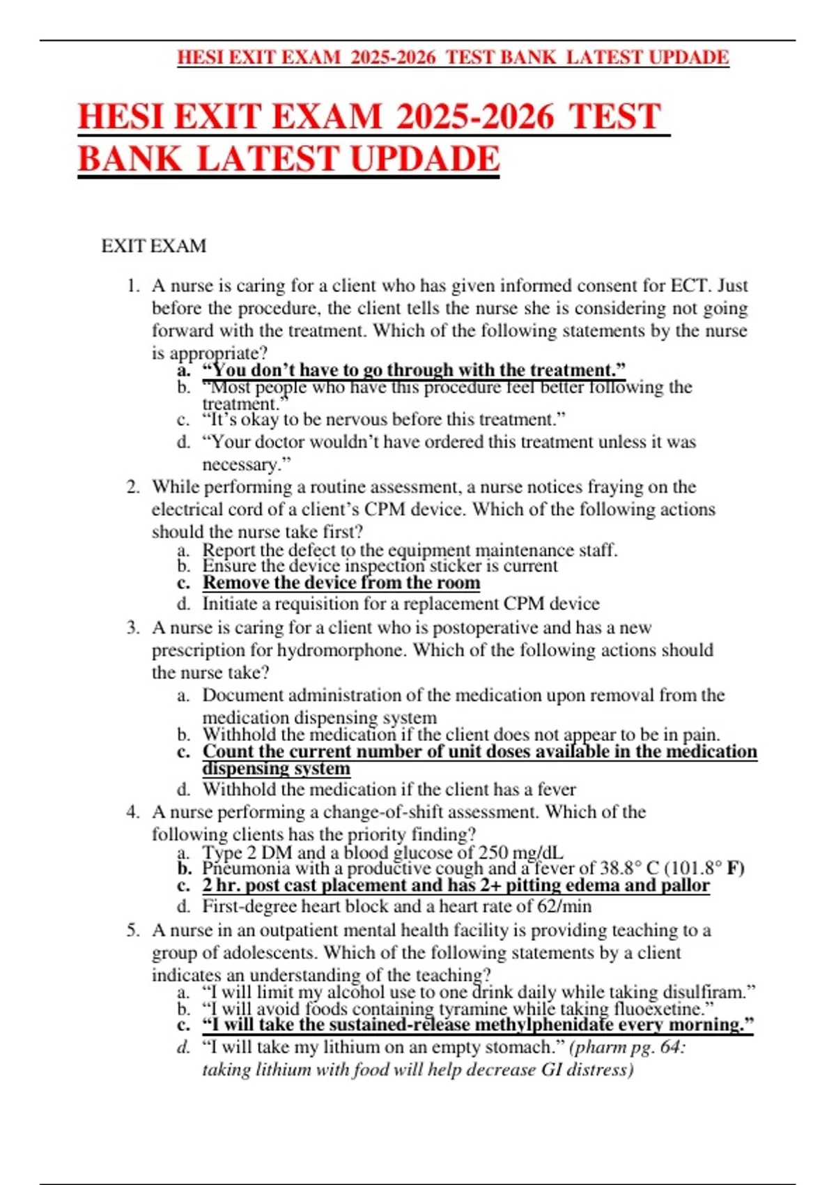
HESI EXIT EXAM TEST BANK LATEST UPDADE EXIT EXAM 1. A nurse is caring for a client who has given informed consent for ECT. Just before the procedure, the client tells the nurse she is considering not going forward with the treatment. Which of the following statements by the nurse is appropriate? a. “You don’t have to go through with the treatment.” b. “Most people who have this procedure feel better following the treatment.” c. “It’s okay to be nervous before this treatment.” d. “Your doctor wouldn’t have ordered this treatment unless it was necessary.” 2. While performing a routine assessment, a nurse notices fraying on the electrical cord of a client’s CPM device. Which of the following actions should the nurse take first? a. Report the defect to the equipment maintenance staff. b. Ensure the device inspection sticker is current c. Remove the device from the room d. Initiate a requisition for a replacement CPM device 3. A nurse is caring for a client who is postoperative and has a new prescription for hydromorphone. Which of the following actions should the nurse take? a. Document administration of the medication upon removal from the medication dispensing system b. Withhold the medication if the client does not appear to be in pain. c. Count the current number of unit doses available in the medication dispensing system d. Withhold the medication if the client has a fever 4. A nurse performing a change-of-shift assessment. Which of the following clients has the priority finding? a. Type 2 DM and a blood glucose of 250 mg/dL b. Pneumonia with a productive cough and a fever of 38.8° C (101.8° F) c. 2 hr. post cast placement and has 2+ pitting edema and pallor d. First-degree heart block and a heart rate of 62/min 5. A nurse in an outpatient mental health facility is providing teaching to a group of adolescents. Which of the following statements by a client indicates an understanding of the teaching? a. “I will limit my alcohol use to one drink daily while taking disulfiram.” b. “I will avoid foods containing tyramine while taking fluoexetine.” c. “I will take the sustained-release methylphenidate every morning.” d. “I will take my lithium on an empty stomach.” (pharm pg. 64: taking lithium with food will help decrease GI distress) HESI EXIT EXAM TEST BANK LATEST UPDADE 6. A nurse in the emergency department is assessing client who has major depressive disorder. Which of the following actions should the nurse take first? [View Exhibit] a. Administer Zofran to the client for nausea b. Implement seizure precautions for the client c. Encourage the client to verbalize feelings d. Obtain the client’s weight 7. A nurse is completing an admission assessment for a client who ahs narcissistic personality disorder. Which of the following should the nurse expect? a. Suspicious of others b. Exhibits separation anxiety c. Ritualistic behavior d. Preoccupied with aging 8. Drug Calc: Client weighs 99 lb. Prescribed diet of 1.5 g protein/kg/day. How many grams of protein per day should the nurse include in the client’s dietary plan? 9. A nurse is planning care for a group of clients and is working with one LPN and one AP. Which of the following actions should the nurse take first to manage her time effectively? a. Develop an hourly time frame for tasks b. Schedule daily activities c. Determine goals of the day d. Delegate tasks to the AP 10.A nurse is developing a plan of care for a client who has preeclampsia and is to receive magnesium sulfate via continuous IV infusion. Which of the following actions should the nurse include in the plan? a. Restrict the client’s total fluid intake to 250 mL/hr. b. Measure the client’s urine output every hour c. Give the client protamine if signs of magnesium sulfate toxicity occur (antidote: calcium gluconate) d. Monitor the FHR via Doppler every 30 min 11.A nurse is caring for a group of clients. Which of the following wounds should the nurse expect to heal by primary intention? a. Infected laceration b. Stage II pressure ulcer c. Approximated surgical incision d. Partial-thickness burn 12.A nurse in an acute mental health care facility is prioritizing care for multiple clients. Which of the following clients should the nurse see first? a. Client taking clozapine to treat schizophrenia and reports sore throat (pharm pg. 72: monitor for infection [fever, sore throat, etc.]) b. Client has OCD and is upset about a change in daily routine c. Client has narcissistic personality disorder and is mocking others during group therapy d. Client who has depressive disorder and requires assistance with ADLs

Montrer plus Lire moins
Établissement
Hesi Exit
Cours
Hesi exit











Oups ! Impossible de charger votre document. Réessayez ou contactez le support.

École, étude et sujet

Établissement
Hesi exit
Cours
Hesi exit

Infos sur le Document

Publié le
24 juillet 2025
Nombre de pages
37
Écrit en
2024/2025
Type
Examen
Contient
Questions et réponses

Sujets

Aperçu du contenu

HESI EXIT EXAM 2025-2026 TEST BANK LATEST UPDADE


HESI EXIT EXAM 2025-2026 TEST
BANK LATEST UPDADE

EXIT EXAM
1. A nurse is caring for a client who has given informed consent for ECT. Just
before the procedure, the client tells the nurse she is considering not going
forward with the treatment. Which of the following statements by the nurse
is appropriate?
a. “You don’t have to go through with the treatment.”
b. “Most people who have this procedure feel better following the
treatment.”
c. “It’s okay to be nervous before this treatment.”
d. “Your doctor wouldn’t have ordered this treatment unless it was
necessary.”
2. While performing a routine assessment, a nurse notices fraying on the
electrical cord of a client’s CPM device. Which of the following actions
should the nurse take first?
a. Report the defect to the equipment maintenance staff.
b. Ensure the device inspection sticker is current
c. Remove the device from the room
d. Initiate a requisition for a replacement CPM device
3. A nurse is caring for a client who is postoperative and has a new
prescription for hydromorphone. Which of the following actions should
the nurse take?
a. Document administration of the medication upon removal from the
medication dispensing system
b. Withhold the medication if the client does not appear to be in pain.
c. Count the current number of unit doses available in the medication
dispensing system
d. Withhold the medication if the client has a fever
4. A nurse performing a change-of-shift assessment. Which of the
following clients has the priority finding?
a. Type 2 DM and a blood glucose of 250 mg/dL
b. Pneumonia with a productive cough and a fever of 38.8° C (101.8° F)
c. 2 hr. post cast placement and has 2+ pitting edema and pallor
d. First-degree heart block and a heart rate of 62/min
5. A nurse in an outpatient mental health facility is providing teaching to a
group of adolescents. Which of the following statements by a client
indicates an understanding of the teaching?
a. “I will limit my alcohol use to one drink daily while taking disulfiram.”
b. “I will avoid foods containing tyramine while taking fluoexetine.”
c. “I will take the sustained-release methylphenidate every morning.”
d. “I will take my lithium on an empty stomach.” (pharm pg. 64:
taking lithium with food will help decrease GI distress)

, HESI EXIT EXAM 2025-2026 TEST BANK LATEST UPDADE

6. A nurse in the emergency department is assessing client who has major
depressive disorder. Which of the following actions should the nurse take
first? [View Exhibit]
a. Administer Zofran to the client for nausea
b. Implement seizure precautions for the client
c. Encourage the client to verbalize feelings
d. Obtain the client’s weight
7. A nurse is completing an admission assessment for a client who ahs
narcissistic personality disorder. Which of the following should the nurse
expect?
a. Suspicious of others
b. Exhibits separation anxiety
c. Ritualistic behavior
d. Preoccupied with aging
8. Drug Calc: Client weighs 99 lb. Prescribed diet of 1.5 g protein/kg/day.
How many grams of protein per day should the nurse include in the
client’s dietary plan?
9. A nurse is planning care for a group of clients and is working with one LPN
and one AP. Which of the following actions should the nurse take first to
manage her time effectively?
a. Develop an hourly time frame for tasks
b. Schedule daily activities
c. Determine goals of the day
d. Delegate tasks to the AP
10. A nurse is developing a plan of care for a client who has preeclampsia and
is to receive magnesium sulfate via continuous IV infusion. Which of the
following actions should the nurse include in the plan?
a. Restrict the client’s total fluid intake to 250 mL/hr.
b. Measure the client’s urine output every hour
c. Give the client protamine if signs of magnesium sulfate toxicity
occur (antidote: calcium gluconate)
d. Monitor the FHR via Doppler every 30 min
11. A nurse is caring for a group of clients. Which of the following wounds
should the nurse expect to heal by primary intention?
a. Infected laceration
b. Stage II pressure ulcer
c. Approximated surgical incision
d. Partial-thickness burn
12. A nurse in an acute mental health care facility is prioritizing care for
multiple clients. Which of the following clients should the nurse see first?
a. Client taking clozapine to treat schizophrenia and reports sore
throat (pharm pg. 72: monitor for infection [fever, sore throat,
etc.])
b. Client has OCD and is upset about a change in daily routine
c. Client has narcissistic personality disorder and is mocking others
during group therapy
d. Client who has depressive disorder and requires assistance with ADLs
13. A nurse is caring for a client who has an implanted venous access port.
Which of the following should the nurse use to assess the port?

, HESI EXIT EXAM 2025-2026 TEST BANK LATEST UPDADE

a. An angiocatheter
b. A butterfly needle
c. A noncoring needle
d. A 25 gauge needle
14. A nurse is caring for a client who has pneumonia and tells the nurse, “I feel
like an elephant is sitting on my chest.” The client is weak and unable to
walk. After the nurse indicates chest pain protocol, which of the following
is the priority diagnostic test?
a. PT and INR
b. 12 lead ECG
c. Chest X-ray
d. Serum potassium
15. A nurse is assessing the growth and development of a 3 y/o child. Which
of the following questions should the nurse ask the parent to determine if
the child is exhibiting typical developmental expectations?
a. “Can your child draw a stick figure?”
b. “Can your child catch and throw a small ball?”
c. “Can your child ride a tricycle?”
d. “Can your child name five colors?”
16. A nurse is preparing to assess fetal heart tones for a client who is at 12
weeks of gestation. Which of the following actions should the nurse take?
a. Measure the fundal height to determine the placement of the ultrasound
stethoscope
b. Perform Leopold maneuvers prior to auscultating the FHR
c. Position the ultrasound stethoscope above the symphysis pubis to
assess the FHR
d. Place the client in a side-lying position prior to assessing the FHR
17. A nurse fis fassessing fa fclient fwho fhas fa fchest ftube fwith fa fwater fseal
fdrainage fsystem. fUpon fassessment, fthe fnurse fnotes ftidaling fin fthe fwater

fseal. fWhich fof fthe ffollowing fis fan fexplanation ffor fthe ftidaling?
a. There fis fa floop fof ftubing fbelow fthe fdrainage fsystem
b. The fsystem fis fworking fproperly f(medsurg fpg. f104: ftidaling fin fthe
fwater fseal fchamber fand fcontinuous fbubbling fonly fin fthe fsuction

fchamber)
c. The flung fhas fre-expanded
d. The ftubing fis fpartially fobstructed fby fclots
18. A fcharge fnurse fon fa fmedical fsurgical funit fis fassisting fwith fthe femergency
fresponse fplan ffollowing fan fexternal fdisaster fin fthe fcommunity. fIn
fanticipation fof fmultiple fclient fadmissions, fwhich fof fthe ffollowing fcurrent

fclients fshould fthe fnurse frecommend ffor fearly fdischarge?
a. A fclient fwho fis freceiving fheparin ffor fDVT
b. A fclient fwho fis f1 fday fpostoperative ffollowing fa fvertebroplasty
c. A fclient fwho fhas fCOPD fand fa frespiratory frate fof f44/min
d. A fclient fwho fhas fcancer fwith fa fsealed fimplant ffor fradiation ftherapy
19. A fnurse fis fcaring ffor fa fclient fwho fhas fESRD. fThe fclient’s fadult fchild
fasks fthe fnurse fabout fbecoming fa fliving fkidney fdonor ffor fher ffather.

fWhich fof fthe ffollowing fconditions fin fthe fchild’s fmedical fhistory fshould
fthe fnurse fidentify fas fa fcontraindication fto fthe fprocedure?
a. Osteoarthritis
b. HTN
c. Amputation

, HESI EXIT EXAM 2025-2026 TEST BANK LATEST UPDADE

d. Primary fglaucoma
20. A fnurse fis fcaring ffor fa fclient fwho fis f4 fdays fpostpartum. fWhich fof fthe
ffollowing fassessment ffindings fshould fthe fnurse fexpect? f(SATA)
a. Foul fperineal fodor
b. Fundus fdisplaced fto fthe fright
c. Lochia fserosa f
d. Fundus f4 fcm f(1.6 fin) fbelow fthe fumbilicus
e. Postpartum fchill
21. A fnurse fis fcaring ffor fa fchild fwho fhas fcystic ffibrosis fand frequires
fpostural fdrainage. fWhich fof fthe ffollowing factions fshould fthe fnurse
ftake?
a. Perform fthe fprocedure ftwice fa fday
b. Hold fhand fto fperform fpercussions fon fthe fchild
c. Administer fa fbronchodilator fafter fthe fprocedure
d. Perform fthe fprocedure fprior fto fmeals
22. A fhome fcare fnurse fis fmaking fa ffollow fup fvisit fwith fa fclient fwho fhas
fCOPD fand fis fusing fa fcompressed foxygen fsystem fin fhis fhome. fWhich fof
fthe ffollowing faction fshould fthe fnurse ftake?
a. Ensure fthat fthe fclient fchecks fthe fgauge fweekly
b. Store fthe foxygen ftank fwrench fin fa flocked fcabinet
c. Have fthe fclient fstore fsmaller ftanks funder fhis fbed
d. Place fthe foxygen ftank faway ffrom fcurtains for fdrapes
23. Location fof fcrackles f[IMAGE]
24. A fnurse fis fcaring ffor fa fnewly fclient fwho fhas fbacterial fmeningitis.
fWhich fof fthe ffollowing factions fshould fthe fnurse ftake? f(medsurg fpg.

f31)
a. Implement fseizure fprecautions
b. Place fthe fclient fin fhigh-Fowler’s fposition
c. Perform fROM fexercises fonce fper fshift
d. Monitor fthe fclient ffor fhypoglycemia
25. A fnurse fis freviewing fthe fpreadmission flab ftests fresults fof fa fclient fwho fis
fto fundergo fhip farthroplasty fin f2 fdays. fWhich fof fthe ffollowing fresults

fshould fthe fnurse freport fto fthe fprovider?
a. Na f142 fmEq/L
b. Blood fglucose f80 fmg/dL
c. K f3.3 fmEq/L
d. PT f11.5 fseconds
26. A fnurse fis fcaring ffor fa fclient fwho fhas fundergone fa fmodified fradical
fmastectomy. fThe fclient fhas fa fclosed-suction fdrain. fWhich fof fthe

ffollowing factions fshould fthe fnurse ftake?
a. Reset fthe fvacuum fby fcompressing fthe fcontainer
b. Secure fthe fdrain fto fthe fbedding
c. Position fthe faffected fextremity fbelow fthe flevel fof fthe fclient’s fheart
d. Maintain fthe fclient fin fa fsupine fposition ffor fthe ffirst f24 fhr.
27. A fnurse fis freceiving fchange fof fshift freport ffor ffour fclients. fWhich fof fthe
ffollowing fclients fshould fthe fnurse fassess ffirst?
a. DM fand fHbA1c fof f5.2%
€15,96
Accéder à l'intégralité du document:

Garantie de satisfaction à 100%
Disponible immédiatement après paiement
En ligne et en PDF
Tu n'es attaché à rien

Faites connaissance avec le vendeur

Seller avatar
Les scores de réputation sont basés sur le nombre de documents qu'un vendeur a vendus contre paiement ainsi que sur les avis qu'il a reçu pour ces documents. Il y a trois niveaux: Bronze, Argent et Or. Plus la réputation est bonne, plus vous pouvez faire confiance sur la qualité du travail des vendeurs.
Tush3161 Chamberlain School Of Nursing
S'abonner Vous devez être connecté afin de suivre les étudiants ou les cours
Vendu
77
Membre depuis
4 année
Nombre de followers
14
Documents
1894
Dernière vente
6 jours de cela
Nursing Test Banks and Solution manuals

My carefully curated materials are designed to help students study smarter, prepare with confidence, and succeed in their exams. With a strong focus on accuracy and up-to-date content, we ensure that each test bank meets academic standards and supports your educational goals. You can also reach me through jtutor018atgmaildotcom. I am a specialist in NCLEX BOTH RN and PN, also i provide other nursing materials

Lire la suite Lire moins
4,9

150 revues

5
147
4
0
3
1
2
0
1
2

Récemment consulté par vous

Pourquoi les étudiants choisissent Stuvia

Créé par d'autres étudiants, vérifié par les avis

Une qualité sur laquelle compter : rédigé par des étudiants qui ont réussi et évalué par d'autres qui ont utilisé ce document.

Le document ne convient pas ? Choisis un autre document

Aucun souci ! Tu peux sélectionner directement un autre document qui correspond mieux à ce que tu cherches.

Paye comme tu veux, apprends aussitôt

Aucun abonnement, aucun engagement. Paye selon tes habitudes par carte de crédit et télécharge ton document PDF instantanément.

Student with book image

“Acheté, téléchargé et réussi. C'est aussi simple que ça.”

Alisha Student

Foire aux questions