Garantie de satisfaction à 100% Disponible immédiatement après paiement En ligne et en PDF Tu n'es attaché à rien 4,6 TrustPilot
logo-home
Resume

Samenvatting samenvattend document oefeningen algemene menselijke fysiologie, 1ste bach

Note
-
Vendu
-
Pages
3
Publié le
07-08-2024
Écrit en
2023/2024

5 oefeningen uitgewerkt over hart & circulatie (zie les) in de les gaan de oefeningen over hart en circulatie heel rap maar ik heb achteraf de lesopname opnieuw gekeken en alles mooi uitgetypt









Oups ! Impossible de charger votre document. Réessayez ou contactez le support.

Infos sur le Document

Publié le
7 août 2024
Nombre de pages
3
Écrit en
2023/2024
Type
Resume

Aperçu du contenu

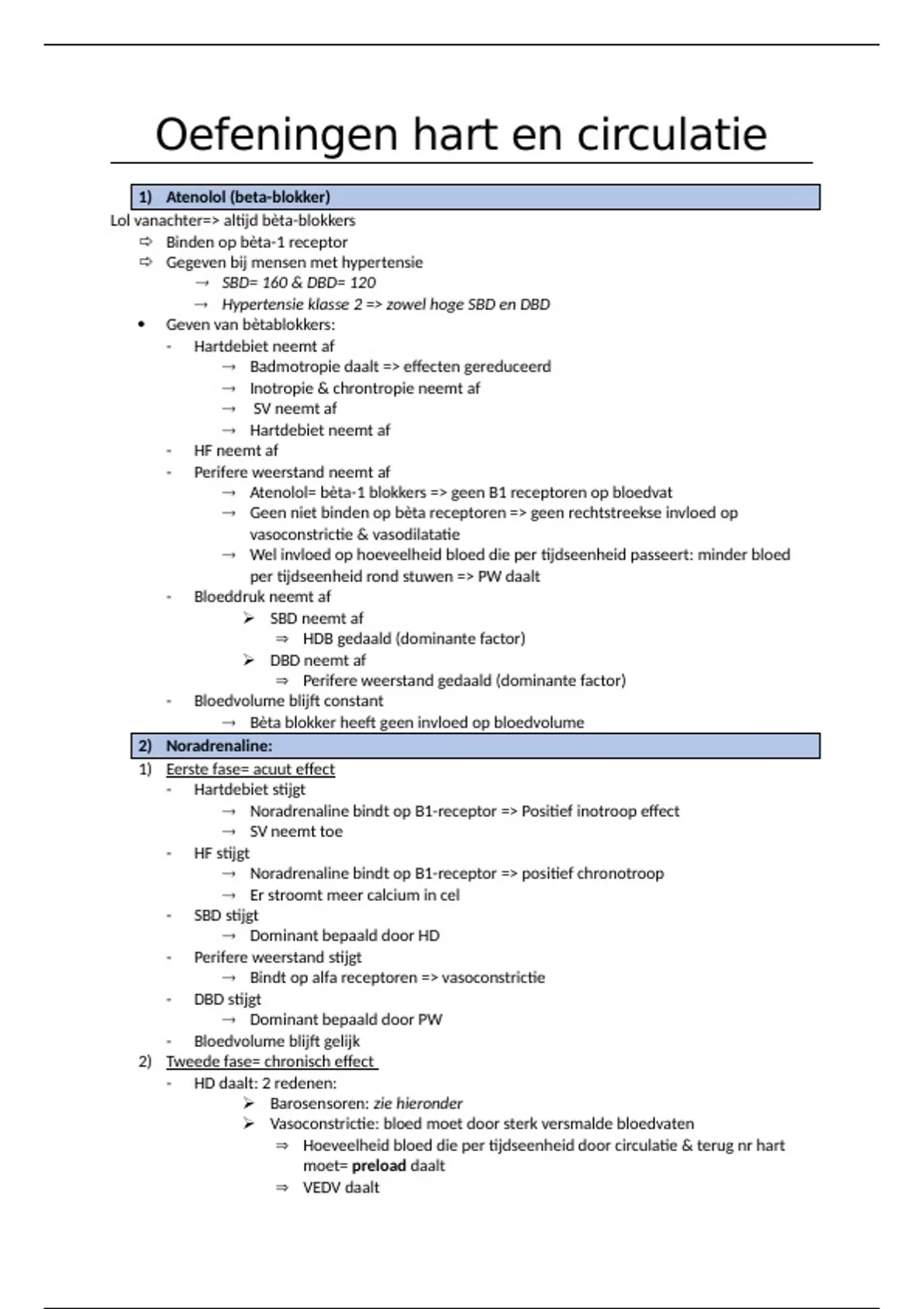
Oefeningen hart en circulatie
1) Atenolol (beta-blokker)
Lol vanachter=> altijd bèta-blokkers
 Binden op bèta-1 receptor
 Gegeven bij mensen met hypertensie
 SBD= 160 & DBD= 120
 Hypertensie klasse 2 => zowel hoge SBD en DBD
 Geven van bètablokkers:
- Hartdebiet neemt af
 Badmotropie daalt => effecten gereduceerd
 Inotropie & chrontropie neemt af
 SV neemt af
 Hartdebiet neemt af
- HF neemt af
- Perifere weerstand neemt af
 Atenolol= bèta-1 blokkers => geen B1 receptoren op bloedvat
 Geen niet binden op bèta receptoren => geen rechtstreekse invloed op
vasoconstrictie & vasodilatatie
 Wel invloed op hoeveelheid bloed die per tijdseenheid passeert: minder bloed
per tijdseenheid rond stuwen => PW daalt
- Bloeddruk neemt af
 SBD neemt af
 HDB gedaald (dominante factor)
 DBD neemt af
 Perifere weerstand gedaald (dominante factor)
- Bloedvolume blijft constant
 Bèta blokker heeft geen invloed op bloedvolume
2) Noradrenaline:
1) Eerste fase= acuut effect
- Hartdebiet stijgt
 Noradrenaline bindt op B1-receptor => Positief inotroop effect
 SV neemt toe
- HF stijgt
 Noradrenaline bindt op B1-receptor => positief chronotroop
 Er stroomt meer calcium in cel
- SBD stijgt
 Dominant bepaald door HD
- Perifere weerstand stijgt
 Bindt op alfa receptoren => vasoconstrictie
- DBD stijgt
 Dominant bepaald door PW
- Bloedvolume blijft gelijk
2) Tweede fase= chronisch effect
- HD daalt: 2 redenen:
 Barosensoren: zie hieronder
 Vasoconstrictie: bloed moet door sterk versmalde bloedvaten
 Hoeveelheid bloed die per tijdseenheid door circulatie & terug nr hart
moet= preload daalt
 VEDV daalt
€4,96
Accéder à l'intégralité du document:

Garantie de satisfaction à 100%
Disponible immédiatement après paiement
En ligne et en PDF
Tu n'es attaché à rien

Faites connaissance avec le vendeur

Seller avatar
Les scores de réputation sont basés sur le nombre de documents qu'un vendeur a vendus contre paiement ainsi que sur les avis qu'il a reçu pour ces documents. Il y a trois niveaux: Bronze, Argent et Or. Plus la réputation est bonne, plus vous pouvez faire confiance sur la qualité du travail des vendeurs.
ellagoosens Universiteit Gent
Voir profil
S'abonner Vous devez être connecté afin de suivre les étudiants ou les cours
Vendu
30
Membre depuis
2 année
Nombre de followers
4
Documents
110
Dernière vente
3 semaines de cela

3,2

5 revues

5
2
4
1
3
0
2
0
1
2

Récemment consulté par vous

Pourquoi les étudiants choisissent Stuvia

Créé par d'autres étudiants, vérifié par les avis

Une qualité sur laquelle compter : rédigé par des étudiants qui ont réussi et évalué par d'autres qui ont utilisé ce document.

Le document ne convient pas ? Choisis un autre document

Aucun souci ! Tu peux sélectionner directement un autre document qui correspond mieux à ce que tu cherches.

Paye comme tu veux, apprends aussitôt

Aucun abonnement, aucun engagement. Paye selon tes habitudes par carte de crédit et télécharge ton document PDF instantanément.

Student with book image

“Acheté, téléchargé et réussi. C'est aussi simple que ça.”

Alisha Student

Foire aux questions