Garantie de satisfaction à 100% Disponible immédiatement après paiement En ligne et en PDF Tu n'es attaché à rien 4.2 TrustPilot
logo-home
Resume

Samenvatting Filosofie Hfdst 3.0 Ter Horst

Note
-
Vendu
-
Pages
2
Publié le
12-03-2024
Écrit en
2022/2023

Samenvatting bevat materiaal uit syllabus + eigen nota's + PowerPoint Examenscore: 18/20









Oups ! Impossible de charger votre document. Réessayez ou contactez le support.

Infos sur le Document

Publié le
12 mars 2024
Nombre de pages
2
Écrit en
2022/2023
Type
Resume

Aperçu du contenu

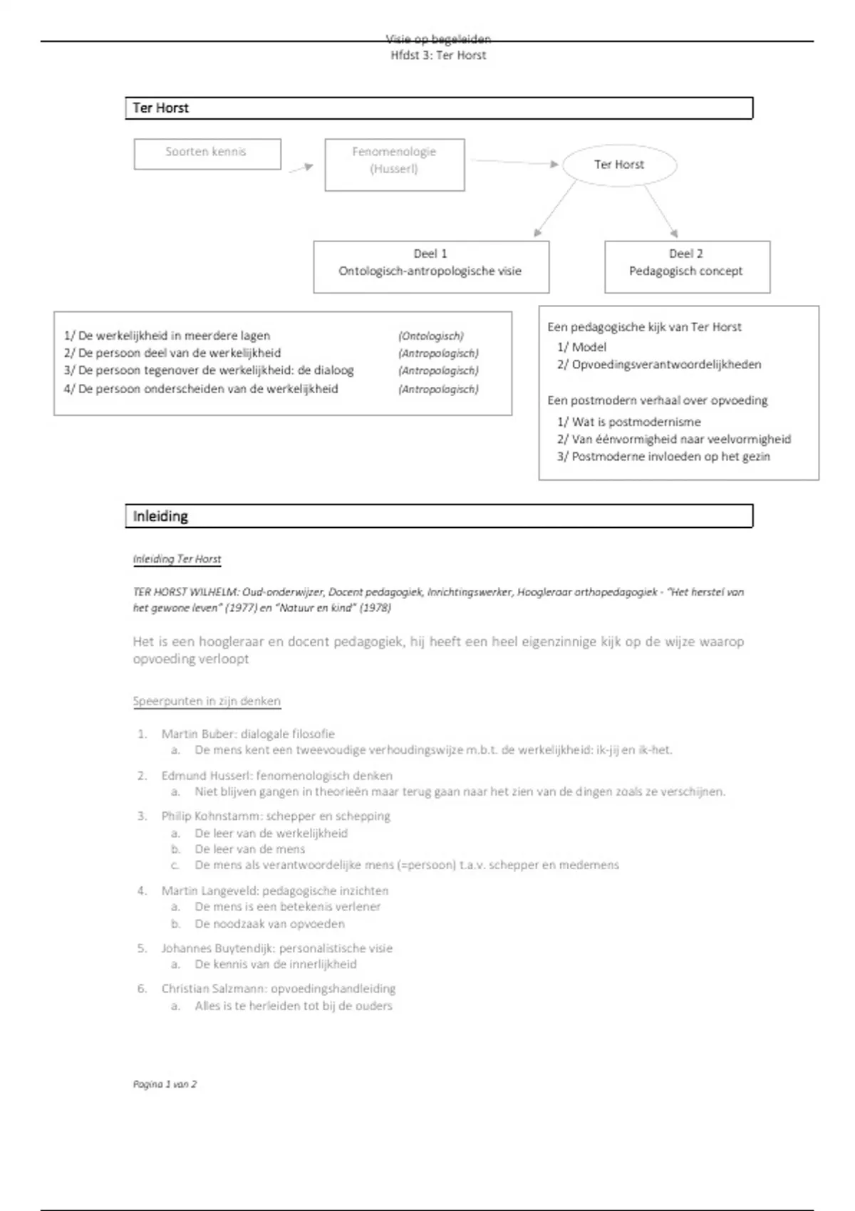
Visie op begeleiden
Hfdst 3: Ter Horst


Ter Horst

Soorten kennis Fenomenologie
(Husserl) Ter Horst




Deel 1 Deel 2
Ontologisch-antropologische visie Pedagogisch concept



Een pedagogische kijk van Ter Horst
1/ De werkelijkheid in meerdere lagen (Ontologisch)
2/ De persoon deel van de werkelijkheid (Antropologisch) 1/ Model
3/ De persoon tegenover de werkelijkheid: de dialoog (Antropologisch) 2/ Opvoedingsverantwoordelijkheden
4/ De persoon onderscheiden van de werkelijkheid (Antropologisch)
Een postmodern verhaal over opvoeding
1/ Wat is postmodernisme
2/ Van éénvormigheid naar veelvormigheid
3/ Postmoderne invloeden op het gezin



Inleiding

Inleiding Ter Horst

TER HORST WILHELM: Oud-onderwijzer, Docent pedagogiek, Inrichtingswerker, Hoogleraar orthopedagogiek - “Het herstel van
het gewone leven” (1977) en “Natuur en kind” (1978)

Het is een hoogleraar en docent pedagogiek, hij heeft een heel eigenzinnige kijk op de wijze waarop
opvoeding verloopt

Speerpunten in zijn denken

1. Martin Buber: dialogale filosofie
a. De mens kent een tweevoudige verhoudingswijze m.b.t. de werkelijkheid: ik-jij en ik-het.
2. Edmund Husserl: fenomenologisch denken
a. Niet blijven gangen in theorieën maar terug gaan naar het zien van de dingen zoals ze verschijnen.
3. Philip Kohnstamm: schepper en schepping
a. De leer van de werkelijkheid
b. De leer van de mens
c. De mens als verantwoordelijke mens (=persoon) t.a.v. schepper en medemens
4. Martin Langeveld: pedagogische inzichten
a. De mens is een betekenis verlener
b. De noodzaak van opvoeden
5. Johannes Buytendijk: personalistische visie
a. De kennis van de innerlijkheid
6. Christian Salzmann: opvoedingshandleiding
a. Alles is te herleiden tot bij de ouders




Pagina 1 van 2

Faites connaissance avec le vendeur

Seller avatar
Les scores de réputation sont basés sur le nombre de documents qu'un vendeur a vendus contre paiement ainsi que sur les avis qu'il a reçu pour ces documents. Il y a trois niveaux: Bronze, Argent et Or. Plus la réputation est bonne, plus vous pouvez faire confiance sur la qualité du travail des vendeurs.
Shera Arteveldehogeschool
Voir profil
S'abonner Vous devez être connecté afin de suivre les étudiants ou les cours
Vendu
21
Membre depuis
4 année
Nombre de followers
15
Documents
74
Dernière vente
6 mois de cela

4,0

3 revues

5
1
4
1
3
1
2
0
1
0

Récemment consulté par vous

Pourquoi les étudiants choisissent Stuvia

Créé par d'autres étudiants, vérifié par les avis

Une qualité sur laquelle compter : rédigé par des étudiants qui ont réussi et évalué par d'autres qui ont utilisé ce document.

Le document ne convient pas ? Choisis un autre document

Aucun souci ! Tu peux sélectionner directement un autre document qui correspond mieux à ce que tu cherches.

Paye comme tu veux, apprends aussitôt

Aucun abonnement, aucun engagement. Paye selon tes habitudes par carte de crédit et télécharge ton document PDF instantanément.

Student with book image

“Acheté, téléchargé et réussi. C'est aussi simple que ça.”

Alisha Student

Foire aux questions