Garantie de satisfaction à 100% Disponible immédiatement après paiement En ligne et en PDF Tu n'es attaché à rien 4.2 TrustPilot
logo-home
Resume

Samenvatting Organische stoffen

Note
-
Vendu
-
Pages
7
Publié le
12-11-2023
Écrit en
2022/2023

Samenvatting van thema 1 - organische stoffen

Établissement
2º Degres
Cours









Oups ! Impossible de charger votre document. Réessayez ou contactez le support.

École, étude et sujet

Établissement
Lycée
Cours
2º Degres
Cours
Inconnu
Année scolaire
4

Infos sur le Document

Livre entier ?
Non
Quels chapitres sont résumés ?
Hoofdstuk 1
Publié le
12 novembre 2023
Nombre de pages
7
Écrit en
2022/2023
Type
Resume

Aperçu du contenu

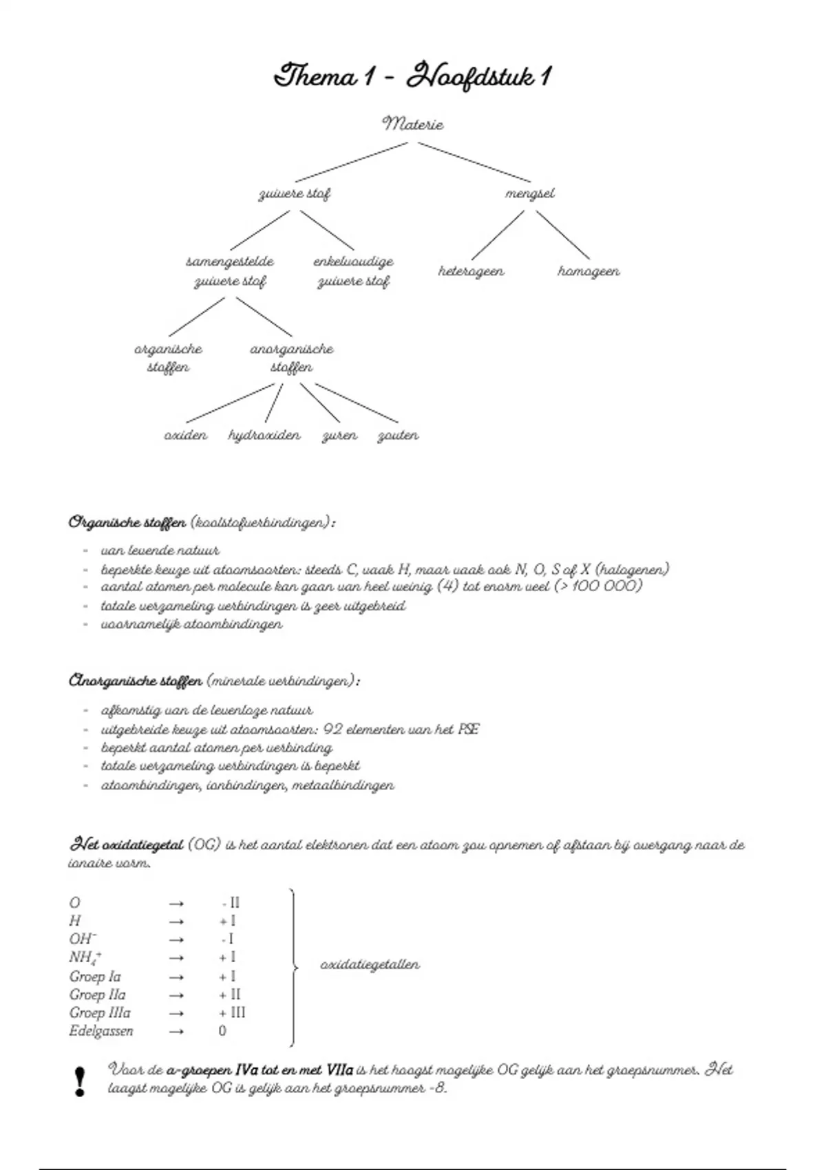
Thema 1 - Hoofdstuk 1
Materie



zuivere stof mengsel



samengestelde enkelvoudige
heterogeen homogeen
zuivere stof zuivere stof



organische anorganische
stoffen stoffen



oxiden hydroxiden zuren zouten




Organische stoffen (koolstofverbindingen):
- van levende natuur
- beperkte keuze uit atoomsoorten: steeds C, vaak H, maar vaak ook N, O, S of X (halogenen)
- aantal atomen per molecule kan gaan van heel weinig (4) tot enorm veel (> 100 000)
- totale verzameling verbindingen is zeer uitgebreid
- voornamelijk atoombindingen


Anorganische stoffen (minerale verbindingen):
- afkomstig van de levenloze natuur
- uitgebreide keuze uit atoomsoorten: 92 elementen van het PSE
- beperkt aantal atomen per verbinding
- totale verzameling verbindingen is beperkt
- atoombindingen, ionbindingen, metaalbindingen


Het oxidatiegetal (OG) is het aantal elektronen dat een atoom zou opnemen of afstaan bij overgang naar de
ionaire vorm.

O → - II
H → +I
OHˉ → -I
NH4+ → +I
oxidatiegetallen
Groep Ia → +I
Groep IIa → + II
Groep IIIa → + III
Edelgassen → 0

Voor de a-groepen IVa tot en met VIIa is het hoogst mogelijke OG gelijk aan het groepsnummer. Het
laagst mogelijke OG is gelijk aan het groepsnummer -8.

, Indeling en naamgeving van de anorganische stoffen


|Stofklasse| |Oxiden| |Hydroxiden| |Zuren| |Zouten|
functionele geen fuctionele
groep O OH H groep

algemene
formule MO / nMO MOH HZ MZ

- ide | - ide|


uitgang naam - oxide - hydroxide - aat - aat
- iet| - iet|



Van formule → stofklasse


Bestaat de formule uit 2 elementen en eindigt het met ‘O’

JA NEE

Het is een oxide Begint de formule met een metaal of
NH4+ en eindigt het op ‘OH’


JA NEE

Het is een hydroxide Begint de formule met ‘H’

JA NEE

Het is een zuur Het is een zout


Eindigt de formule op ‘O’ Eindigt de formule op ‘O’

NEE JA NEE JA


Het is een Het is een Het is een Het is een
binair zuur ternair zuur binair zout ternair zout
€5,99
Accéder à l'intégralité du document:

Garantie de satisfaction à 100%
Disponible immédiatement après paiement
En ligne et en PDF
Tu n'es attaché à rien

Faites connaissance avec le vendeur
Seller avatar
jenniferthiery

Faites connaissance avec le vendeur

Seller avatar
jenniferthiery Stuvia
Voir profil
S'abonner Vous devez être connecté afin de suivre les étudiants ou les cours
Vendu
0
Membre depuis
2 année
Nombre de followers
0
Documents
1
Dernière vente
-

0,0

0 revues

5
0
4
0
3
0
2
0
1
0

Récemment consulté par vous

Pourquoi les étudiants choisissent Stuvia

Créé par d'autres étudiants, vérifié par les avis

Une qualité sur laquelle compter : rédigé par des étudiants qui ont réussi et évalué par d'autres qui ont utilisé ce document.

Le document ne convient pas ? Choisis un autre document

Aucun souci ! Tu peux sélectionner directement un autre document qui correspond mieux à ce que tu cherches.

Paye comme tu veux, apprends aussitôt

Aucun abonnement, aucun engagement. Paye selon tes habitudes par carte de crédit et télécharge ton document PDF instantanément.

Student with book image

“Acheté, téléchargé et réussi. C'est aussi simple que ça.”

Alisha Student

Foire aux questions