Garantie de satisfaction à 100% Disponible immédiatement après paiement En ligne et en PDF Tu n'es attaché à rien 4,6 TrustPilot
logo-home
Resume

Samenvatting identificatieblad indeling van polymeren

Note
-
Vendu
3
Pages
31
Publié le
15-05-2023
Écrit en
2022/2023

identificatieblad indeling van polymeren.












Oups ! Impossible de charger votre document. Réessayez ou contactez le support.

Infos sur le Document

Publié le
15 mai 2023
Nombre de pages
31
Écrit en
2022/2023
Type
Resume

Aperçu du contenu

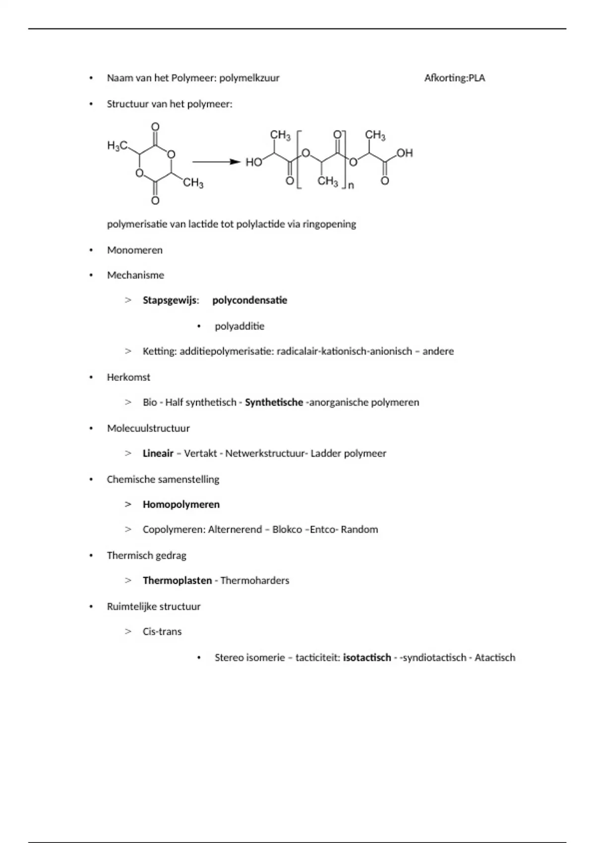
• Naam van het Polymeer: polymelkzuur Afkorting:PLA

• Structuur van het polymeer:




polymerisatie van lactide tot polylactide via ringopening

• Monomeren

• Mechanisme

> Stapsgewijs: polycondensatie

• polyadditie

> Ketting: additiepolymerisatie: radicalair-kationisch-anionisch – andere

• Herkomst

> Bio - Half synthetisch - Synthetische -anorganische polymeren

• Molecuulstructuur

> Lineair – Vertakt - Netwerkstructuur- Ladder polymeer

• Chemische samenstelling

> Homopolymeren

> Copolymeren: Alternerend – Blokco –Entco- Random

• Thermisch gedrag

> Thermoplasten - Thermoharders

• Ruimtelijke structuur

> Cis-trans

• Stereo isomerie – tacticiteit: isotactisch - -syndiotactisch - Atactisch

,• Naam van het Polymeer: polyethyleenoxide Afkorting:PEO of PEG

• Structuur van het polymeer:




• Monomeren

• Mechanisme

> Stapsgewijs: polycondensatie

• polyadditie

> Ketting: additiepolymerisatie: radicalair-kationisch-anionisch – andere

• Herkomst

> Bio - Half synthetisch - Synthetische -anorganische polymeren

• Molecuulstructuur

> Lineair – Vertakt - Netwerkstructuur- Ladder polymeer

• Chemische samenstelling

> Homopolymeren

> Copolymeren: Alternerend – Blokco –Entco- Random

• Thermisch gedrag

> Thermoplasten - Thermoharders

• Ruimtelijke structuur

> Cis-trans

• Stereo isomerie – tacticiteit: isotactisch - -syndiotactisch - Atactisch

, • Naam van het Polymeer: Polyethyleentereftalaat Afkorting: PET

• Structuur van het polymer:




• Monomeren




tereftaalzuur en ethyleenglycol

• Mechanisme

> Stapsgewijs: polycondensatie

• polyadditie

> Ketting: additiepolymerisatie: radicalair-kationisch-anionisch – andere

• Herkomst

> Bio - Half synthetisch - Synthetische -anorganische polymeren

• Molecuulstructuur

> Lineair – Vertakt - Netwerkstructuur- Ladder polymeer

• Chemische samenstelling

> Homopolymeren

> Copolymeren: Alternerend – Blokco –Entco- Random

• Thermisch gedrag

> Thermoplasten - Thermoharders

• Ruimtelijke structuur

> Cis-trans

• Stereo isomerie – tacticiteit: isotactisch - -syndiotactisch - Atactisch

, • Naam van het Polymeer: polyvinylchloride Afkorting: PVC

• Structuur van het polymeer:




• Monomeren




• Mechanisme

> Stapsgewijs: polycondensatie

• polyadditie

> Ketting: additiepolymerisatie: radicalair-kationisch-anionisch – andere

• Herkomst

> Bio - Half synthetisch - Synthetische -anorganische polymeren

• Molecuulstructuur

> Lineair – Vertakt - Netwerkstructuur- Ladder polymeer

• Chemische samenstelling

> Homopolymeren

> Copolymeren: Alternerend – Blokco –Entco- Random

• Thermisch gedrag

> Thermoplasten - Thermoharders

• Ruimtelijke structuur

> Cis-trans

• Stereo isomerie – tacticiteit: isotactisch - -syndiotactisch - Atactisch

• Toepassingen

> Kunststoffen (foliën, films)- Vezels - Elastomeren = rubbers -Lakken & lijmen
€9,79
Accéder à l'intégralité du document:

Garantie de satisfaction à 100%
Disponible immédiatement après paiement
En ligne et en PDF
Tu n'es attaché à rien

Faites connaissance avec le vendeur
Seller avatar
chemiestudent

Faites connaissance avec le vendeur

Seller avatar
chemiestudent Artesis Plantijn Hogeschool Antwerpen
Voir profil
S'abonner Vous devez être connecté afin de suivre les étudiants ou les cours
Vendu
3
Membre depuis
2 année
Nombre de followers
3
Documents
0
Dernière vente
1 année de cela

0,0

0 revues

5
0
4
0
3
0
2
0
1
0

Récemment consulté par vous

Pourquoi les étudiants choisissent Stuvia

Créé par d'autres étudiants, vérifié par les avis

Une qualité sur laquelle compter : rédigé par des étudiants qui ont réussi et évalué par d'autres qui ont utilisé ce document.

Le document ne convient pas ? Choisis un autre document

Aucun souci ! Tu peux sélectionner directement un autre document qui correspond mieux à ce que tu cherches.

Paye comme tu veux, apprends aussitôt

Aucun abonnement, aucun engagement. Paye selon tes habitudes par carte de crédit et télécharge ton document PDF instantanément.

Student with book image

“Acheté, téléchargé et réussi. C'est aussi simple que ça.”

Alisha Student

Foire aux questions