Garantie de satisfaction à 100% Disponible immédiatement après paiement En ligne et en PDF Tu n'es attaché à rien 4.2 TrustPilot
logo-home
Resume

Uitgebreide samenvatting Data acquisitie - 2e bachelor industrieel ingenieur

Note
-
Vendu
-
Pages
84
Publié le
14-01-2026
Écrit en
2025/2026

Een samenvatting voor het vak in bach 2 industrieel ingenieur aan KUL. In de samenvatting vind je een uitgebreide beschrijving van alle sensoren: verplaatsingssensoren, snelheidssensoren, druk sensoren, optische sensoren, versnellingssensoren, krachtsensoren, MEMS, .... Ook zal je een uitgebreide uitleg en voorbeelden krijgen over alles omtrent signalen: ADC, DAC, sampling, soorten, data interface, .... Verder vindt je in het document allerlei karakteristieken en afbeelding om het leren van dit vak gemakkelijker te maken. Ik ben op dit vak geslaagd aan de hand van deze samenvatting.

Montrer plus Lire moins











Oups ! Impossible de charger votre document. Réessayez ou contactez le support.

Infos sur le Document

Publié le
14 janvier 2026
Nombre de pages
84
Écrit en
2025/2026
Type
Resume

Aperçu du contenu

Data-acquisitie

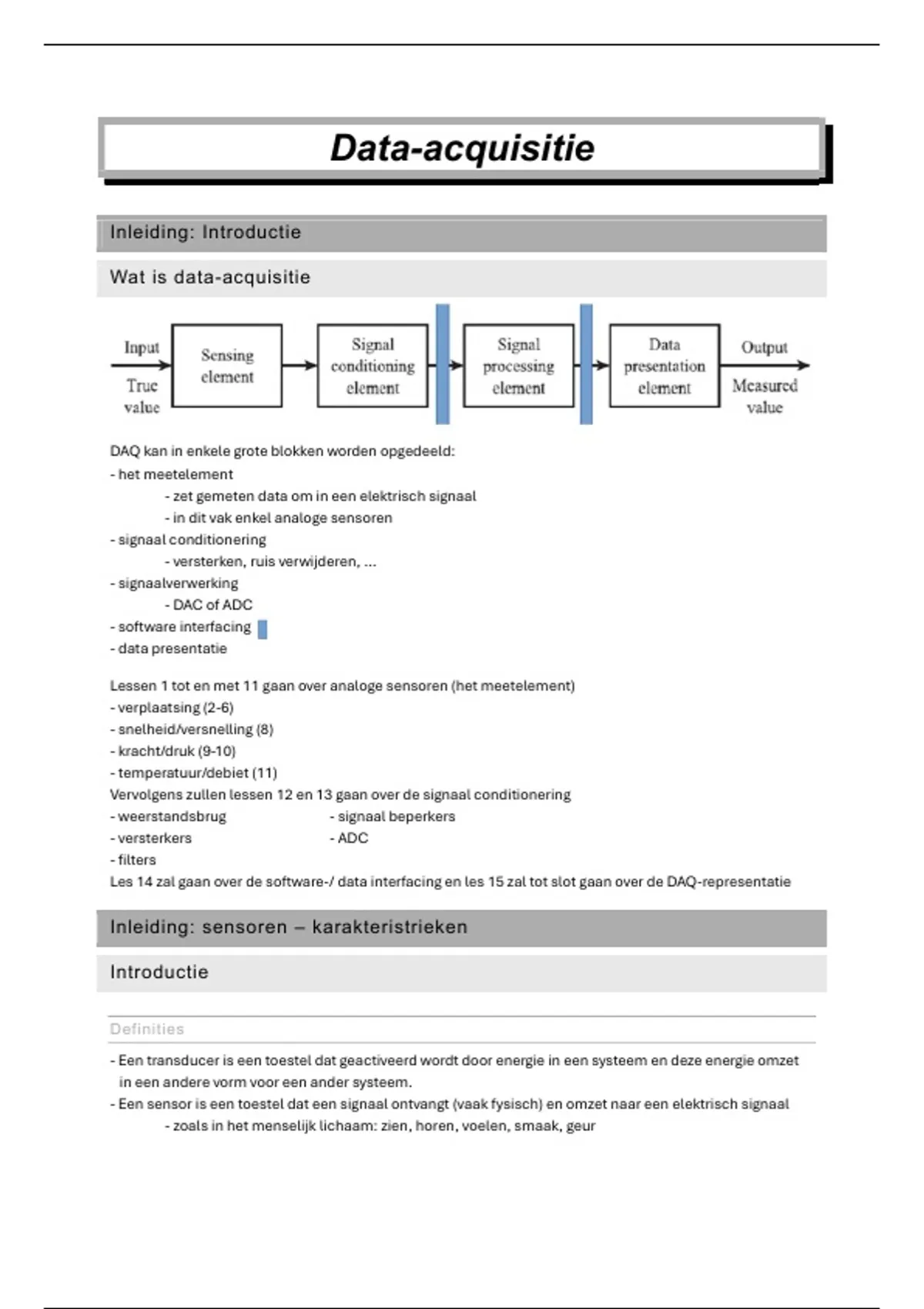
Inleiding: Introductie

Wat is data-acquisitie




DAQ kan in enkele grote blokken worden opgedeeld:
- het meetelement
- zet gemeten data om in een elektrisch signaal
- in dit vak enkel analoge sensoren
- signaal conditionering
- versterken, ruis verwijderen, …
- signaalverwerking
- DAC of ADC
- software interfacing
- data presentatie

Lessen 1 tot en met 11 gaan over analoge sensoren (het meetelement)
- verplaatsing (2-6)
- snelheid/versnelling (8)
- kracht/druk (9-10)
- temperatuur/debiet (11)
Vervolgens zullen lessen 12 en 13 gaan over de signaal conditionering
- weerstandsbrug - signaal beperkers
- versterkers - ADC
- filters
Les 14 zal gaan over de software-/ data interfacing en les 15 zal tot slot gaan over de DAQ-representatie

Inleiding: sensoren – karakteristrieken

Introductie

Definities

- Een transducer is een toestel dat geactiveerd wordt door energie in een systeem en deze energie omzet
in een andere vorm voor een ander systeem.
- Een sensor is een toestel dat een signaal ontvangt (vaak fysisch) en omzet naar een elektrisch signaal
- zoals in het menselijk lichaam: zien, horen, voelen, smaak, geur

,Actieve en passieve sensoren

Een actieve sensor heeft altijd een
excitatiespanning of stroom die aangelegd
moet worden voordat er metingen kunnen
uitgevoerd worden. Er moet dus een
energiebron zijn voordat deze kunnen
werken. Een passieve sensor heeft geen
energie nodig om te kunnen werken


Sensor in regellus




De 4 tot 20 mA is een standaard die voor lussen gebruikt
wordt, vaak wordt er ook een LEDje aan het einde gehangen.
Wanneer dit LEDje nu uit is weet men dat er een kabelbreuk
is doordat de minimale spanning van de lus het LEDje zou
doen branden.

Dit was echter de standaardlus, tegenwoordig zijn er echter
gigantisch veel sensoren in gebruik voor elke toepassing (vb.
in een auto 200-300 sensoren). Hierdoor zijn nu de slimme sensoren in gebruik genomen, wanneer alle
kabels van alle lussen naast elkaar zouden moeten liggen zouden deze stromen elkaar namelijk
beïnvloeden.


Slimme sensoren

Slimme sensoren hebben maar één
kabel nodig, waar nu alle sensoren
mee verbonden worden. Dit is
mogelijk doordat niet enkel de
sensor in “de sensor” zit, maar hier
wordt ook de signaalconditionering
en de ADC ingebouwd.




Statische karakteristieken van een sensor
De dit wordt uitgelegd aan de hand van een voorbeeld, we bekijken de Pt 102 temperatuur sensor, dit is
een sensor waarbij de weerstandswaarde veranderd bij een verandering in temperatuur

,Voorbeeld: Pt 102 sensor
Dit is de datasheet van de sensor, de blauw omkaderde delen worden in dit voorbeeld toegelicht.




Systematische karakteristieken
Veel sensoren werden vorige eeuw ontwikkeld toen er nog geen computers waren, dit zorgt ervoor dat
sensoren een lineair gedrag moesten vertonen. Dit zorgde er namelijk voor dat het veel makkelijker was
om de output te berekenen
door de mensen.

De formule die de input en
output nu vergelijkt is:
𝑂 = 𝐾𝐼 + 𝑎
hierin is 𝑂 nu de output, 𝐼 de input en 𝐾 de helling van de rechte. Enkele belangrijke begrippen zijn nu:
- bereik: 𝐼 ,𝐼 en 𝑂 , 𝑂
- span: 𝐼 −𝐼 en 𝑂 −𝑂
de 𝐾 kan heel eenvoudig berekend worden met deze maximale en minimale waarden:
𝑂 −𝑂
𝐾=
𝐼 −𝐼

, Wanneer we terugkijken naar de Pt 102 sensor, zien we
dat deze een maximale en minimale input hebben van 14K en 873K.
het verband tussen deze input en hun output wordt nu
weergegeven door een DIN standaard, dit is de hoogste standaard
die een sensor kan krijgen. Wanneer er nu in bv. een chemisch
bedrijf iets fout loopt door een niet overeenstemmende input en
output krijgt het bedrijf dat de sensor produceert hier de schuld
van.

We zien nu wel dat zelfs sensoren met de hoogste standaard niet
volledig lineair kunnen zijn. Deze niet-lineariteit wordt nu ook nog
bij verwerkt in de formule om de output te berekenen:
𝑂 = 𝐾𝐼 + 𝑎 + 𝑁(𝐼)
het niet lineaire deel kan nu berekend worden als:
𝑁(𝐼) = 𝑂(𝐼) − (𝐾𝐼 + 𝑎)
deze niet-lineariteit (fout) wordt nu uitgedrukt als een percentage t.o.v. de volledige output:
𝑁
max 𝑛𝑖𝑒𝑡 𝑙𝑖𝑛𝑒𝑎𝑟𝑖𝑡𝑒𝑖𝑡 = × 100%
𝑂 −𝑂
wanneer we nu de lineariteit definiëren zonder een referentie te specifiëren of ze in een figuur weer te
geven is deze lineariteit betekenisloos.

Typische modellen
We kunnen nu de lineariteit extra gaan benaderen door transfer
functies te gaan gebruiken. Dit zijn bewerkingen t.o.v. de originele
functie waardoor de functie wel een lineair gedrag gaat vertonen.
Voorbeelden zijn:
- lineair: 𝑂 = 𝑎 + 𝐾𝐼
- logaritmisch: 𝑂 = 𝑎 + 𝐾 ln 𝐼
- exponentieel: 𝑂 = 𝑎𝑒
- power functie: 𝑂 = 𝑎 + 𝑎 𝐼

Omgevingseffecten
We kunnen nu aan de functie nog extra termen toevoegen, dit is om de functie aan te passen nadat er
externe factoren de waarde beïnvloed hebben welke dit eigenlijk niet moeten doen:
𝑂 = 𝐾𝐼 + 𝑎 + 𝑁(𝐼) + 𝐾 𝐼 𝐼 + 𝐾 𝐼
de extra temen zijn nu voor:
- de gevoeligheid
-𝐾 𝐼 𝐼
- veranderd de helling van de functie
- wordt ook een modificerende invloed genoemd
- de bias
-𝐾 𝐼
- veranderd de hoogte van de functie
- wordt ook interferentie genoemd
€9,99
Accéder à l'intégralité du document:

Garantie de satisfaction à 100%
Disponible immédiatement après paiement
En ligne et en PDF
Tu n'es attaché à rien

Faites connaissance avec le vendeur
Seller avatar
robbeverschueren

Faites connaissance avec le vendeur

Seller avatar
robbeverschueren Katholieke Universiteit Leuven
Voir profil
S'abonner Vous devez être connecté afin de suivre les étudiants ou les cours
Vendu
Nouveau sur Stuvia
Membre depuis
7 heures
Nombre de followers
0
Documents
7
Dernière vente
-

0,0

0 revues

5
0
4
0
3
0
2
0
1
0

Pourquoi les étudiants choisissent Stuvia

Créé par d'autres étudiants, vérifié par les avis

Une qualité sur laquelle compter : rédigé par des étudiants qui ont réussi et évalué par d'autres qui ont utilisé ce document.

Le document ne convient pas ? Choisis un autre document

Aucun souci ! Tu peux sélectionner directement un autre document qui correspond mieux à ce que tu cherches.

Paye comme tu veux, apprends aussitôt

Aucun abonnement, aucun engagement. Paye selon tes habitudes par carte de crédit et télécharge ton document PDF instantanément.

Student with book image

“Acheté, téléchargé et réussi. C'est aussi simple que ça.”

Alisha Student

Foire aux questions