100% de satisfacción garantizada Inmediatamente disponible después del pago Tanto en línea como en PDF No estas atado a nada 4,6 TrustPilot
logo-home
Examen

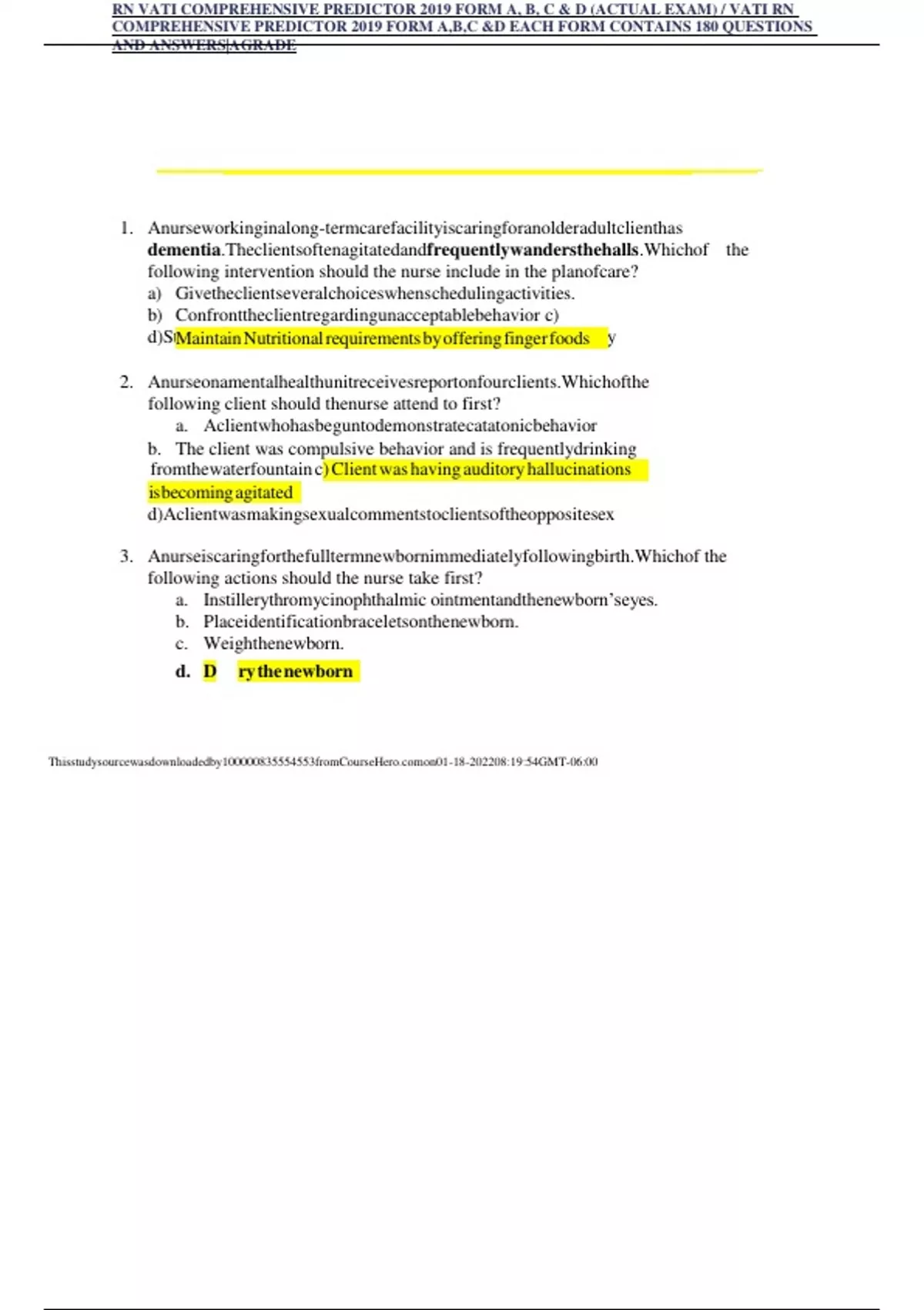
RN VATI COMPREHENSIVE PREDICTOR 2019 FORM A, B, C & D (ACTUAL EXAM) VATI RN COMPREHENSIVE PREDICTOR 2019 FORM A,B,C &D EACH FORM CONTAINS 180 QUESTIONS AND ANSWERS AGRADE

Puntuación
-
Vendido
-
Páginas
7
Grado
A+
Subido en
29-11-2023
Escrito en
2023/2024

RN VATI COMPREHENSIVE PREDICTOR 2019 FORM A, B, C & D (ACTUAL EXAM) VATI RN COMPREHENSIVE PREDICTOR 2019 FORM A,B,C &D EACH FORM CONTAINS 180 QUESTIONS AND ANSWERS AGRADE

Institución
RN VATI COMPREHENSIVE PREDICTOR 2019 FORM A, B, C
Grado
RN VATI COMPREHENSIVE PREDICTOR 2019 FORM A, B, C









Ups! No podemos cargar tu documento ahora. Inténtalo de nuevo o contacta con soporte.

Escuela, estudio y materia

Institución
RN VATI COMPREHENSIVE PREDICTOR 2019 FORM A, B, C
Grado
RN VATI COMPREHENSIVE PREDICTOR 2019 FORM A, B, C

Información del documento

Subido en
29 de noviembre de 2023
Número de páginas
7
Escrito en
2023/2024
Tipo
Examen
Contiene
Preguntas y respuestas

Temas

$11.49
Accede al documento completo:

100% de satisfacción garantizada
Inmediatamente disponible después del pago
Tanto en línea como en PDF
No estas atado a nada

Conoce al vendedor
Seller avatar
Hesisolutions

Conoce al vendedor

Seller avatar
Hesisolutions Chamberlain College Of Nursing
Seguir Necesitas iniciar sesión para seguir a otros usuarios o asignaturas
Vendido
15
Miembro desde
2 año
Número de seguidores
2
Documentos
483
Última venta
4 meses hace
Nursingsolutions

BUY FOR AS LOW AS $3!!!!!! ALL DOCUMENTS ON OFFER!! Welcome to nursing solutions where you find all nursing revision questions with their verified answers . Be sure of great grades. ALL THE BEST. YOU GOT THIS!!

0.0

0 reseñas

5
0
4
0
3
0
2
0
1
0

Recientemente visto por ti

Por qué los estudiantes eligen Stuvia

Creado por compañeros estudiantes, verificado por reseñas

Calidad en la que puedes confiar: escrito por estudiantes que aprobaron y evaluado por otros que han usado estos resúmenes.

¿No estás satisfecho? Elige otro documento

¡No te preocupes! Puedes elegir directamente otro documento que se ajuste mejor a lo que buscas.

Paga como quieras, empieza a estudiar al instante

Sin suscripción, sin compromisos. Paga como estés acostumbrado con tarjeta de crédito y descarga tu documento PDF inmediatamente.

Student with book image

“Comprado, descargado y aprobado. Así de fácil puede ser.”

Alisha Student

Preguntas frecuentes