100% de satisfacción garantizada Inmediatamente disponible después del pago Tanto en línea como en PDF No estas atado a nada 4,6 TrustPilot
logo-home
Examen

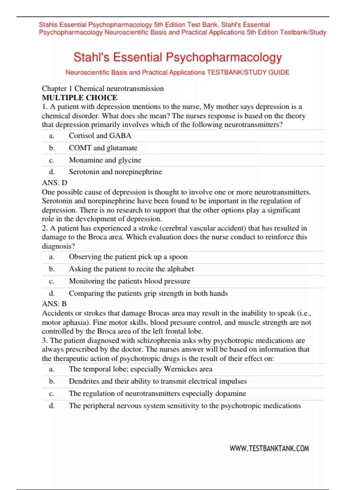
Stahls Essential Psychopharmacology 5th Edition Test Bank. Stahl's Essential Psychopharmacology Neuroscientific Basis and Practical Applications 5th Edition Testbank Study

Puntuación
-
Vendido
-
Páginas
121
Grado
A+
Subido en
19-11-2023
Escrito en
2023/2024

Stahls Essential Psychopharmacology 5th Edition Test Bank. Stahl's Essential Psychopharmacology Neuroscientific Basis and Practical Applications 5th Edition Testbank Study

Institución
Stahls Essential Psychopharmacology 5th Edition Te
Grado
Stahls Essential Psychopharmacology 5th Edition Te











Ups! No podemos cargar tu documento ahora. Inténtalo de nuevo o contacta con soporte.

Escuela, estudio y materia

Institución
Stahls Essential Psychopharmacology 5th Edition Te
Grado
Stahls Essential Psychopharmacology 5th Edition Te

Información del documento

Subido en
19 de noviembre de 2023
Número de páginas
121
Escrito en
2023/2024
Tipo
Examen
Contiene
Preguntas y respuestas

Temas

$18.49
Accede al documento completo:

100% de satisfacción garantizada
Inmediatamente disponible después del pago
Tanto en línea como en PDF
No estas atado a nada


Documento también disponible en un lote

Conoce al vendedor

Seller avatar
Los indicadores de reputación están sujetos a la cantidad de artículos vendidos por una tarifa y las reseñas que ha recibido por esos documentos. Hay tres niveles: Bronce, Plata y Oro. Cuanto mayor reputación, más podrás confiar en la calidad del trabajo del vendedor.
Academicgeniuss Kaplan College - Jacksonville
Seguir Necesitas iniciar sesión para seguir a otros usuarios o asignaturas
Vendido
67
Miembro desde
3 año
Número de seguidores
23
Documentos
1312
Última venta
9 horas hace
Best nursing exam s sold here pass 100%

I have done papers of various topics and complexities. I am punctual and always submit work on-deadline. I write engaging and informative content on all subjects. Send me your research papers, case studies, psychology papers, etc, and I’ll do them to the best of my abilities. Writing is my passion when it comes to academic work. I’ve got a good sense of structure and enjoy finding interesting ways to deliver information in any given paper. I love impressing clients with my work, and I am very punctual about deadlines. Send me your assignment and I’ll take it to the next level. I strive for my content to be of the highest quality. Your wishes come first— send me your requirements and I’ll make a piece of work with fresh ideas, consistent structure, and following the academic formatting rules.

Lee mas Leer menos
3.8

13 reseñas

5
5
4
2
3
5
2
0
1
1

Recientemente visto por ti

Por qué los estudiantes eligen Stuvia

Creado por compañeros estudiantes, verificado por reseñas

Calidad en la que puedes confiar: escrito por estudiantes que aprobaron y evaluado por otros que han usado estos resúmenes.

¿No estás satisfecho? Elige otro documento

¡No te preocupes! Puedes elegir directamente otro documento que se ajuste mejor a lo que buscas.

Paga como quieras, empieza a estudiar al instante

Sin suscripción, sin compromisos. Paga como estés acostumbrado con tarjeta de crédito y descarga tu documento PDF inmediatamente.

Student with book image

“Comprado, descargado y aprobado. Así de fácil puede ser.”

Alisha Student

Preguntas frecuentes