100% de satisfacción garantizada Inmediatamente disponible después del pago Tanto en línea como en PDF No estas atado a nada 4,6 TrustPilot
logo-home
Examen

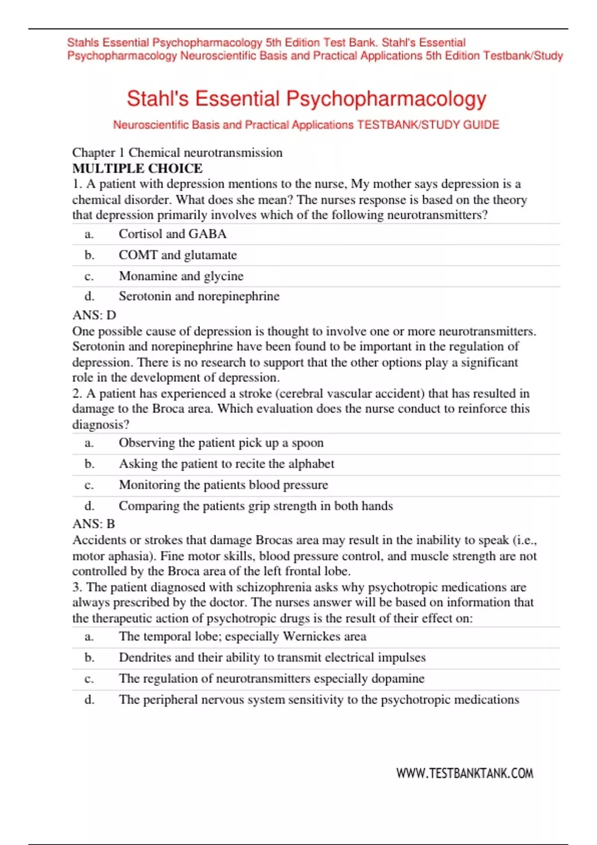
Stahls Essential Psychopharmacology 5th Edition Test Bank. Stahl's Essential Psychopharmacology Neuroscientific Basis and Practical Applications 5th Edition Testbank Study

Puntuación
-
Vendido
-
Páginas
121
Grado
A+
Subido en
19-11-2023
Escrito en
2023/2024

Stahls Essential Psychopharmacology 5th Edition Test Bank. Stahl's Essential Psychopharmacology Neuroscientific Basis and Practical Applications 5th Edition Testbank Study

Institución
Stahls Essential Psychopharmacology 5th Edition Te
Grado
Stahls Essential Psychopharmacology 5th Edition Te











Ups! No podemos cargar tu documento ahora. Inténtalo de nuevo o contacta con soporte.

Escuela, estudio y materia

Institución
Stahls Essential Psychopharmacology 5th Edition Te
Grado
Stahls Essential Psychopharmacology 5th Edition Te

Información del documento

Subido en
19 de noviembre de 2023
Número de páginas
121
Escrito en
2023/2024
Tipo
Examen
Contiene
Preguntas y respuestas

Temas

$18.49
Accede al documento completo:

100% de satisfacción garantizada
Inmediatamente disponible después del pago
Tanto en línea como en PDF
No estas atado a nada

Conoce al vendedor

Seller avatar
Los indicadores de reputación están sujetos a la cantidad de artículos vendidos por una tarifa y las reseñas que ha recibido por esos documentos. Hay tres niveles: Bronce, Plata y Oro. Cuanto mayor reputación, más podrás confiar en la calidad del trabajo del vendedor.
performer Chamberlain College Of Nursing
Seguir Necesitas iniciar sesión para seguir a otros usuarios o asignaturas
Vendido
40
Miembro desde
4 año
Número de seguidores
24
Documentos
979
Última venta
3 meses hace

4.3

6 reseñas

5
5
4
0
3
0
2
0
1
1

Recientemente visto por ti

Por qué los estudiantes eligen Stuvia

Creado por compañeros estudiantes, verificado por reseñas

Calidad en la que puedes confiar: escrito por estudiantes que aprobaron y evaluado por otros que han usado estos resúmenes.

¿No estás satisfecho? Elige otro documento

¡No te preocupes! Puedes elegir directamente otro documento que se ajuste mejor a lo que buscas.

Paga como quieras, empieza a estudiar al instante

Sin suscripción, sin compromisos. Paga como estés acostumbrado con tarjeta de crédito y descarga tu documento PDF inmediatamente.

Student with book image

“Comprado, descargado y aprobado. Así de fácil puede ser.”

Alisha Student

Preguntas frecuentes