100% de satisfacción garantizada Inmediatamente disponible después del pago Tanto en línea como en PDF No estas atado a nada 4,6 TrustPilot
logo-home
Examen

Fast-Track Your Learning with the [Financial Accounting Concepts, International Edition,Stice,11e] 2023 Test Bank

Puntuación
-
Vendido
-
Páginas
443
Grado
A+
Subido en
19-07-2023
Escrito en
2022/2023

Look no further, the Test Bank for [Financial Accounting Concepts, International Edition,Stice,11e] is your ticket to exam success. It's packed with practice exam questions to help you prepare for the real thing. Make the most of and secure your academic achievement.

Mostrar más Leer menos
Institución
Grado











Ups! No podemos cargar tu documento ahora. Inténtalo de nuevo o contacta con soporte.

Libro relacionado

Escuela, estudio y materia

Institución
Grado

Información del documento

Subido en
19 de julio de 2023
Número de páginas
443
Escrito en
2022/2023
Tipo
Examen
Contiene
Preguntas y respuestas

Temas

Vista previa del contenido

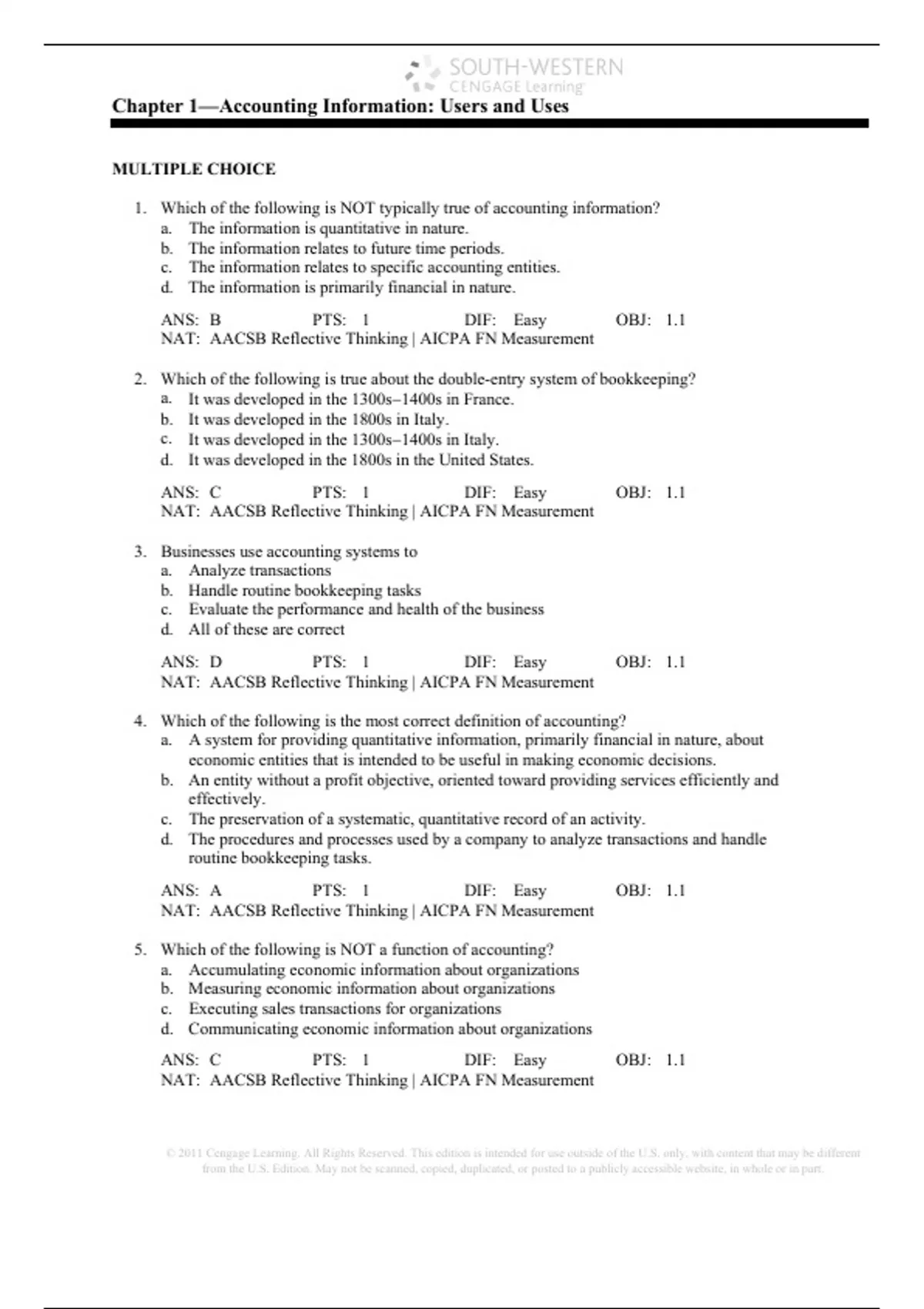
Chapter 1—Accounting Information: Users and Uses


MULTIPLE CHOICE

1. Which of the following is NOT typically true of accounting information?
a. The information is quantitative in nature.
b. The information relates to future time periods.
c. The information relates to specific accounting entities.
d. The information is primarily financial in nature.
ANS: B PTS: 1 DIF: Easy OBJ: 1.1
NAT: AACSB Reflective Thinking | AICPA FN Measurement

2. Which of the following is true about the double-entry system of bookkeeping?
a. It was developed in the 1300s−1400s in France.
b. It was developed in the 1800s in Italy.
c. It was developed in the 1300s−1400s in Italy.
d. It was developed in the 1800s in the United States.
ANS: C PTS: 1 DIF: Easy OBJ: 1.1
NAT: AACSB Reflective Thinking | AICPA FN Measurement

3. Businesses use accounting systems to
a. Analyze transactions
b. Handle routine bookkeeping tasks
c. Evaluate the performance and health of the business
d. All of these are correct
ANS: D PTS: 1 DIF: Easy OBJ: 1.1
NAT: AACSB Reflective Thinking | AICPA FN Measurement

4. Which of the following is the most correct definition of accounting?
a. A system for providing quantitative information, primarily financial in nature, about
economic entities that is intended to be useful in making economic decisions.
b. An entity without a profit objective, oriented toward providing services efficiently and
effectively.
c. The preservation of a systematic, quantitative record of an activity.
d. The procedures and processes used by a company to analyze transactions and handle
routine bookkeeping tasks.
ANS: A PTS: 1 DIF: Easy OBJ: 1.1
NAT: AACSB Reflective Thinking | AICPA FN Measurement

5. Which of the following is NOT a function of accounting?
a. Accumulating economic information about organizations
b. Measuring economic information about organizations
c. Executing sales transactions for organizations
d. Communicating economic information about organizations
ANS: C PTS: 1 DIF: Easy OBJ: 1.1
NAT: AACSB Reflective Thinking | AICPA FN Measurement



© 2011 Cengage Learning. All Rights Reserved. This edition is intended for use outside of the U.S. only, with content that may be different
from the U.S. Edition. May not be scanned, copied, duplicated, or posted to a publicly accessible website, in whole or in part.

, 6. Which of the following is NOT a key component of the definition of accounting?
a. Financial
b. Qualitative
c. Useful
d. Decision-oriented
ANS: B PTS: 1 DIF: Easy OBJ: 1.1
NAT: AACSB Reflective Thinking | AICPA FN Measurement

7. Which of the following is NOT a step in the decision making process?
a. Identify the issue.
b. Identify alternatives.
c. Select the option that will result in the greatest financial increase.
d. Gather information.
ANS: C PTS: 1 DIF: Easy OBJ: 1.1
NAT: AACSB Reflective Thinking | AICPA FN Decision Modeling

8. Accounting can be best described as a
a. Manufacturing activity
b. Service activity
c. Retailing activity
d. All of these are correct
ANS: B PTS: 1 DIF: Easy OBJ: 1.1
NAT: AACSB Reflective Thinking | AICPA FN Measurement

9. Which of the following is NOT a typical source of monetary resources for a business enterprise?
a. Investors
b. Creditors
c. Business earnings
d. Employees
ANS: D PTS: 1 DIF: Easy OBJ: 1.1
NAT: AACSB Reflective Thinking | AICPA FN Measurement

10. Accountants typically perform what action related to the financial results of business activities?
a. Report the results of business activities
b. Advise on how to structure business activities
c. Both report the results of and advise on how to structure business activities
d. None of these are correct
ANS: C PTS: 1 DIF: Easy OBJ: 1.1
NAT: AACSB Reflective Thinking | AICPA FN Reporting

11. The accounting cycle includes all of the following, EXCEPT:
a. Recording
b. Summarizing
c. Analyzing
d. Interpreting
ANS: D PTS: 1 DIF: Easy OBJ: 1.1
NAT: AACSB Reflective Thinking | AICPA FN Measurement


© 2011 Cengage Learning. All Rights Reserved. This edition is intended for use outside of the U.S. only, with content that may be different
from the U.S. Edition. May not be scanned, copied, duplicated, or posted to a publicly accessible website, in whole or in part.

,12. The emphasis in financial accounting is on which of the following external user groups?
a. Management
b. Certified public accountants
c. Investors and creditors
d. Educators
ANS: C PTS: 1 DIF: Easy OBJ: 1.2
NAT: AACSB Reflective Thinking | AICPA FN Reporting

13. The primary internal group that uses accounting information is
a. Government agencies
b. Investors
c. Management
d. Competitors
ANS: C PTS: 1 DIF: Easy OBJ: 1.2
NAT: AACSB Reflective Thinking | AICPA FN Reporting

14. Internal reports are generally used by
a. Management
b. Suppliers
c. Lenders
d. Employees
ANS: A PTS: 1 DIF: Easy OBJ: 1.2
NAT: AACSB Reflective Thinking | AICPA FN Reporting

15. Which of the following is NOT an important aspect of management accounting?
a. Planning
b. Product design
c. Implementing plans
d. Controlling costs
ANS: B PTS: 1 DIF: Easy OBJ: 1.2
NAT: AACSB Reflective Thinking | AICPA FN Reporting

16. The area of accounting that is concerned with providing information for external users is referred to as
a. Financial accounting
b. Governmental accounting
c. Management accounting
d. Not-for-profit accounting
ANS: A PTS: 1 DIF: Easy OBJ: 1.2
NAT: AACSB Reflective Thinking | AICPA FN Reporting

17. Which of the following is NOT one of the three primary financial statements?
a. Statement of cash flows
b. Income statement
c. Statement of retained earnings
d. Balance sheet
ANS: C PTS: 1 DIF: Easy OBJ: 1.2
NAT: AACSB Reflective Thinking | AICPA FN Reporting


© 2011 Cengage Learning. All Rights Reserved. This edition is intended for use outside of the U.S. only, with content that may be different
from the U.S. Edition. May not be scanned, copied, duplicated, or posted to a publicly accessible website, in whole or in part.

, 18. Which of the following financial statements reports a company's resources, obligations, and owner's
equity?
a. Balance sheet
b. Income statement
c. Statement of retained earnings
d. Statement of cash flows
ANS: A PTS: 1 DIF: Easy OBJ: 1.2
NAT: AACSB Reflective Thinking | AICPA FN Reporting

19. Which of the following financial statements reports the excess of a company's revenues over its
expenses?
a. Balance sheet
b. Income statement
c. Statement of retained earnings
d. Statement of cash flows
ANS: B PTS: 1 DIF: Easy OBJ: 1.2
NAT: AACSB Reflective Thinking | AICPA FN Reporting

20. Which of the following financial statements reports the amount of cash collected and paid out by a
company?
a. Balance sheet
b. Income statement
c. Statement of retained earnings
d. Statement of cash flows
ANS: D PTS: 1 DIF: Easy OBJ: 1.2
NAT: AACSB Reflective Thinking | AICPA FN Reporting

21. Which of the following is NOT an external user of financial information?
a. Competitors
b. Employees
c. Management
d. Suppliers
ANS: C PTS: 1 DIF: Easy OBJ: 1.2
NAT: AACSB Reflective Thinking | AICPA FN Reporting

22. Which of the following is NOT one of the factors that influences the accounting environment?
a. International business
b. Technology
c. The development of generally accepted accounting principles (GAAP)
d. Investors
ANS: D PTS: 1 DIF: Easy OBJ: 1.3
NAT: AACSB Reflective Thinking | AICPA FN Reporting




© 2011 Cengage Learning. All Rights Reserved. This edition is intended for use outside of the U.S. only, with content that may be different
from the U.S. Edition. May not be scanned, copied, duplicated, or posted to a publicly accessible website, in whole or in part.
$38.49
Accede al documento completo:

100% de satisfacción garantizada
Inmediatamente disponible después del pago
Tanto en línea como en PDF
No estas atado a nada

Conoce al vendedor

Seller avatar
Los indicadores de reputación están sujetos a la cantidad de artículos vendidos por una tarifa y las reseñas que ha recibido por esos documentos. Hay tres niveles: Bronce, Plata y Oro. Cuanto mayor reputación, más podrás confiar en la calidad del trabajo del vendedor.
PracticeExams my own
Seguir Necesitas iniciar sesión para seguir a otros usuarios o asignaturas
Vendido
319
Miembro desde
2 año
Número de seguidores
194
Documentos
3266
Última venta
1 semana hace
ExamPrepZone

4.1

42 reseñas

5
26
4
4
3
7
2
2
1
3

Recientemente visto por ti

Por qué los estudiantes eligen Stuvia

Creado por compañeros estudiantes, verificado por reseñas

Calidad en la que puedes confiar: escrito por estudiantes que aprobaron y evaluado por otros que han usado estos resúmenes.

¿No estás satisfecho? Elige otro documento

¡No te preocupes! Puedes elegir directamente otro documento que se ajuste mejor a lo que buscas.

Paga como quieras, empieza a estudiar al instante

Sin suscripción, sin compromisos. Paga como estés acostumbrado con tarjeta de crédito y descarga tu documento PDF inmediatamente.

Student with book image

“Comprado, descargado y aprobado. Así de fácil puede ser.”

Alisha Student

Preguntas frecuentes