100% satisfaction guarantee Immediately available after payment Both online and in PDF No strings attached 4,6 TrustPilot
logo-home
Exam (elaborations)

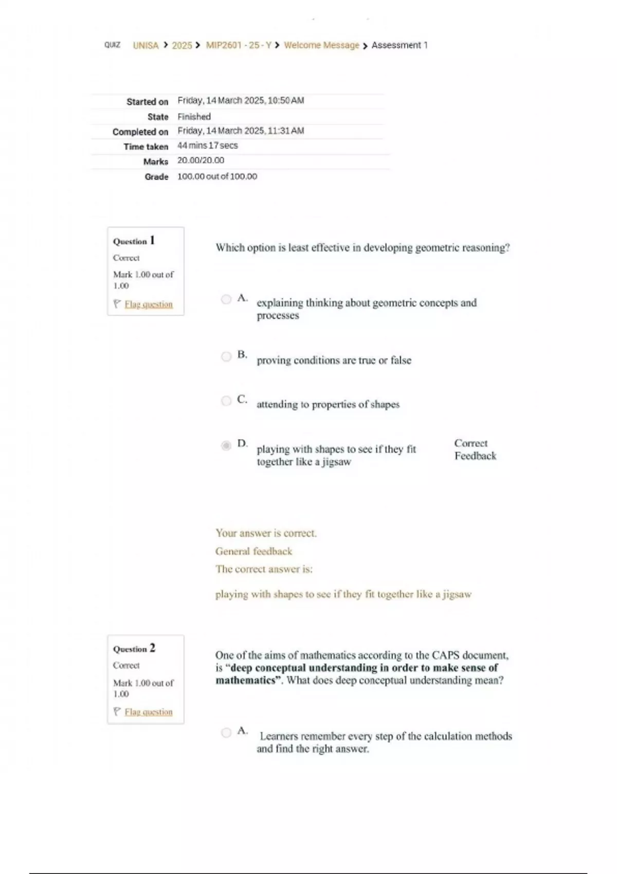
MIP2601 Assignment 1 Quiz (ACTUAL ANSWERS) 2025 - DUE 14 May 2025, trusted solutions and explanations.

Rating
-
Sold
-
Pages
11
Grade
A+
Uploaded on
16-04-2025
Written in
2024/2025

MIP2601 Assignment 1 Quiz (ACTUAL ANSWERS) 2025 - DUE 14 May 2025, trusted solutions and explanations.










Whoops! We can’t load your doc right now. Try again or contact support.

Document information

Uploaded on
April 16, 2025
Number of pages
11
Written in
2024/2025
Type
Exam (elaborations)
Contains
Questions & answers

Subjects

Get to know the seller

Seller avatar
Reputation scores are based on the amount of documents a seller has sold for a fee and the reviews they have received for those documents. There are three levels: Bronze, Silver and Gold. The better the reputation, the more your can rely on the quality of the sellers work.
provedguide Teachme2-tutor
View profile
Follow You need to be logged in order to follow users or courses
Sold
61
Member since
1 year
Number of followers
19
Documents
537
Last sold
2 months ago

3,9

10 reviews

5
4
4
3
3
2
2
0
1
1

Recently viewed by you

Why students choose Stuvia

Created by fellow students, verified by reviews

Quality you can trust: written by students who passed their exams and reviewed by others who've used these notes.

Didn't get what you expected? Choose another document

No worries! You can immediately select a different document that better matches what you need.

Pay how you prefer, start learning right away

No subscription, no commitments. Pay the way you're used to via credit card or EFT and download your PDF document instantly.

Student with book image

“Bought, downloaded, and aced it. It really can be that simple.”

Alisha Student

Frequently asked questions