100% satisfaction guarantee Immediately available after payment Both online and in PDF No strings attached 4.2 TrustPilot
logo-home
Summary

Summary IAS 12 Taxation: Various types, current income tax and deferred tax

Rating
-
Sold
-
Pages
7
Uploaded on
13-08-2024
Written in
2024/2025

A summary of different types of taxes, current income tax (calculation, taxable vs accounting profits, temporary and permanent differences, provisional tax payments, presentation and disclosure) and deferred tax (definitions, measurement on the income statement method and the balance sheet method, calculation of the tax base of an asset and a liability, creating deferred tax assets and liabilities and presentation of deferred tax)

Show more Read less









Whoops! We can’t load your doc right now. Try again or contact support.

Document information

Summarized whole book?
No
Which chapters are summarized?
Chapters 5 to 6
Uploaded on
August 13, 2024
Number of pages
7
Written in
2024/2025
Type
Summary

Content preview

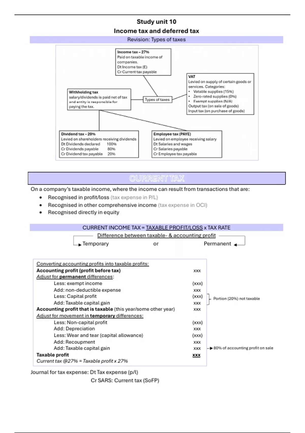
Study unit 10
Income tax and deferred tax
Revision: Types of taxes




On a company’s taxable income, where the income can result from transactions that are:
 Recognised in profit/loss (tax expense in P/L)
 Recognised in other comprehensive income (tax expense in OCI)
 Recognised directly in equity

CURRENT INCOME TAX = TAXABLE PROFIT/LOSS x TAX RATE
Di erence between taxable- & accounting profit
Temporary or Permanent


Converting accounting profits into taxable profits:
Accounting profit (profit before tax) xxx
Adjust for permanent di erences:
Less: exempt income (xxx)
Add: non-deductible expense xxx
Less: Capital profit (xxx) Portion (20%) not taxable
Add: Taxable capital gain xxx
Accounting profit that is taxable (this year/some other year) xxx
Adjust for movement in temporary di erences:
Less: Non-capital profit (xxx)
Add: Depreciation xxx
Less: Wear and tear (capital allowance) (xxx)
Add: Recoupment xxx
Add: Taxable capital gain xxx 80% of accounting profit on sale
Taxable profit xxx
Current tax @27% = Taxable profit x 27%

Journal for tax expense: Dt Tax expense (p/l)
Cr SARS: Current tax (SoFP)

, Accounting profits Taxable profits
= Income earned – expenses incurred = Income that is taxable – expenses deductible
 Profit/loss for a period before deducting tax  Profit/loss for a period determined in accordance
expense with rules established by taxation authorities upon
 Calculated in terms of IFRS which income taxes are payable (recoverable)
 Calculated ito local tax authorities



Temporary di erences Permanent di erences
Accounting and tax treatments of something di er The accounting and tax treatments of something will
in a year, but overtime there is essentially no di er in a year and will never disappear over time.
di erences between the two. Di erence in e ective rate and applicable rate –
Can be caused by: disclose di erences in rate recon.
The accrual system: Exempt income and non-deductible expense:
IFRS: Recognise income/expenses when it is Exempt income – income per the accountant that the
earned/incurred. (Income received in advance, income tax authorities will never tax
receivable, prepaid expense, expense payable, provisions) Non-deductible expense – the expenses per the
Tax authorities: Earlier of income received and accountant that tax authorities will never allow as a tax
earned. When expense is incurred except if its deduction.
prepaid (may be deducted earlier) or relates to a
provision (May only be deducted when later, when
paid)
Depreciable assets: Capital profits vs taxable capital gains:
Depreciation vs tax deduction: Accountant and tax IFRS: Capital profits –
authority may expense the asset’s cost at di erent Non-current asset= proceeds on sale-carrying
speeds (20% depreciation vs 10& wear-and-tear) amount. Current assets = proceeds on sale – original
Carrying amount vs tax base: IFRS – Carrying cost.
amount=cost – accumulated depreciation. Tax Tax legislation: Taxable capital gains –
legislation – Tax base = cost – accumulated Proceeds on sale – base cost. 80% of capital gains of a
deductions for tax purposes. company is taxable.
Selling the asset:
@ below original cost: IFRS – Profit/loss on sale = Di erence: exempt portion of capital profit = capital
proceeds – carrying amount. Tax legislation – profit – taxable gain.
Recoupment (scrapping allowance) on sale =
proceeds (limited to original cost) – tax base.
@ Above original cost: Summary below

Implications of a sale above cost in terms of IFRS:
Proceeds Capital profit
Profit on sale (capital & non- (Proceeds – og cost x80% = TCG)
Original cost
capital portion) Non-capital profit
Carrying amount

Implications of sale above cost according to tax legislation:
Proceeds on Companies – 80%, thus 20% portion Is
sale Capital gain of which only certain % is taxable not taxable
Base cost If base cost and original cost is
Original cost di erent, di erence will not be taxed
Recoupment (no scrapping allowance if
Recoupment=proceeds (limited to cost
Tax base proceeds > cost)
– tax base)
Cost – accumulated deductions for tax purposes
Proceeds > base cost = gain
Expenditure incurred to acquire & retain asset
Proceeds < base cost = loss
(incl. acquisition-, improvement- and direct cost)
R80,00
Get access to the full document:

100% satisfaction guarantee
Immediately available after payment
Both online and in PDF
No strings attached

Get to know the seller
Seller avatar
Amieke

Get to know the seller

Seller avatar
Amieke North-West University
View profile
Follow You need to be logged in order to follow users or courses
Sold
6
Member since
1 year
Number of followers
2
Documents
19
Last sold
8 months ago
B.Com Chartered/Forensic accountancy

0,0

0 reviews

5
0
4
0
3
0
2
0
1
0

Recently viewed by you

Why students choose Stuvia

Created by fellow students, verified by reviews

Quality you can trust: written by students who passed their exams and reviewed by others who've used these notes.

Didn't get what you expected? Choose another document

No worries! You can immediately select a different document that better matches what you need.

Pay how you prefer, start learning right away

No subscription, no commitments. Pay the way you're used to via credit card or EFT and download your PDF document instantly.

Student with book image

“Bought, downloaded, and aced it. It really can be that simple.”

Alisha Student

Frequently asked questions