100% satisfaction guarantee Immediately available after payment Both online and in PDF No strings attached 4.6 TrustPilot
logo-home
Exam (elaborations)

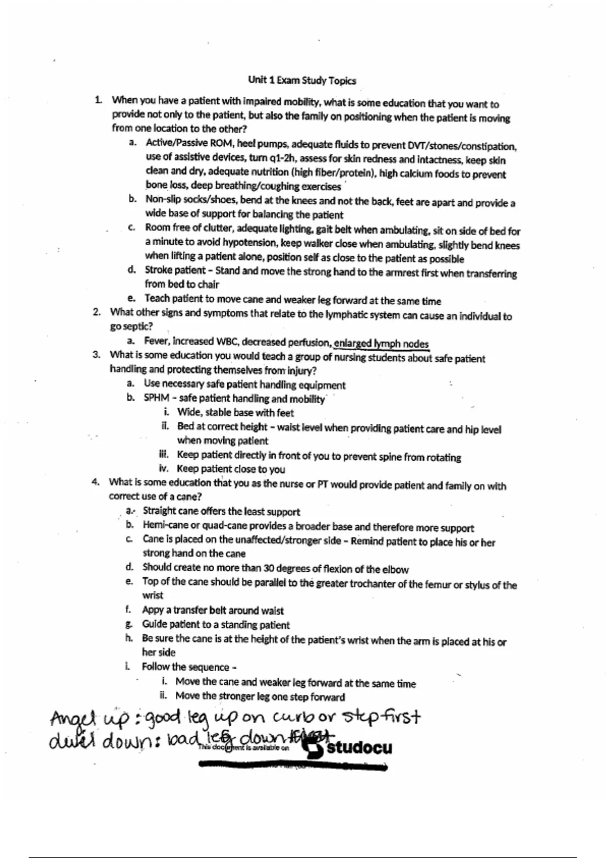
Medical/Surgical Nursing Concepts (NUR242): Exam 1 Study Guide for NUR 242: Patient Mobility & Safety Topics | Complete Answered Latest 2025/26 - Galen College Of Nursing.

Rating
-
Sold
-
Pages
6
Grade
A+
Uploaded on
28-11-2025
Written in
2025/2026

Medical/Surgical Nursing Concepts (NUR242): Exam 1 Study Guide for NUR 242: Patient Mobility & Safety Topics | Complete Answered Latest 2025/26 - Galen College Of Nursing.










Whoops! We can’t load your doc right now. Try again or contact support.

Document information

Uploaded on
November 28, 2025
Number of pages
6
Written in
2025/2026
Type
Exam (elaborations)
Contains
Questions & answers

Subjects

  • nur242 exam 1

Get to know the seller

Seller avatar
Reputation scores are based on the amount of documents a seller has sold for a fee and the reviews they have received for those documents. There are three levels: Bronze, Silver and Gold. The better the reputation, the more your can rely on the quality of the sellers work.
melleystuvia Nightingale College
View profile
Follow You need to be logged in order to follow users or courses
Sold
92
Member since
9 months
Number of followers
4
Documents
1451
Last sold
18 hours ago
Edusolutionguides.

We learn all subject preparation for the final exam. We give the online assignment and homework for all the subjects. That's why you prepare well for all the paperwork.

3.0

18 reviews

5
5
4
4
3
2
2
0
1
7

Recently viewed by you

Why students choose Stuvia

Created by fellow students, verified by reviews

Quality you can trust: written by students who passed their tests and reviewed by others who've used these notes.

Didn't get what you expected? Choose another document

No worries! You can instantly pick a different document that better fits what you're looking for.

Pay as you like, start learning right away

No subscription, no commitments. Pay the way you're used to via credit card and download your PDF document instantly.

Student with book image

“Bought, downloaded, and aced it. It really can be that simple.”

Alisha Student

Frequently asked questions