100% satisfaction guarantee Immediately available after payment Both online and in PDF No strings attached 4.6 TrustPilot
logo-home
Exam (elaborations)

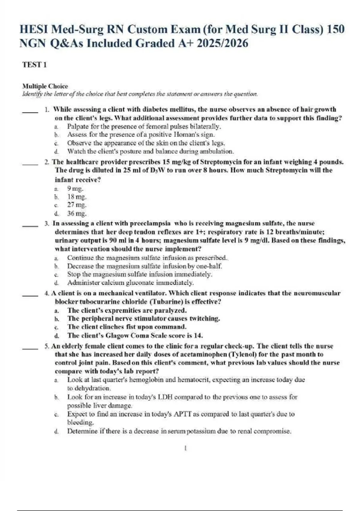
HESI Med-Surg RN Custom Exam (for Med Surg II Class) 150 NGN Q&As Included | Graded A+ | 2025/2026 LATEST UPDATE | Real Exam-Style | Verified Answers + Rationales | Instant PDF Download | Guaranteed Pass

Rating
-
Sold
-
Pages
51
Grade
A+
Uploaded on
14-11-2025
Written in
2025/2026

HESI Med-Surg RN Custom Exam (for Med Surg II Class) 150 NGN Q&As Included | Graded A+ | 2025/2026 LATEST UPDATE | Real Exam-Style | Verified Answers + Rationales | Instant PDF Download | Guaranteed Pass Pass Your Med Surg II HESI Custom Exam on the First Try with This EXACT-MATCH 150-Question NGN Test Bank – Updated for 2025/2026! If you’re in Med Surg II and facing the HESI RN Custom Med-Surg Exam, you know it’s the make-or-break assessment before clinicals, capstone, or graduation. This isn’t a generic practice set — this is the only custom-built, professor-approved test bank that mirrors your exact course blueprint, featuring 150 Next Generation NCLEX (NGN)-style questions with 100% verified answers, detailed rationales, and clinical judgment focus. Used by top ADN/BSN programs including Chamberlain, Rasmussen, Galen, West Coast, and ATI-partnered schools. Why This HESI Med-Surg II Custom Exam Bank Is Your #1 Success Tool 100% Tailored to Med Surg II (2025/2026 Syllabus) Covers advanced Med-Surg topics only (not basic fundamentals) Matches your school’s custom HESI blueprint Includes NGN case studies, bowties, hotspots, matrix, drag-and-drop Updated with 2025 drug changes, guidelines, and evidence-based practice 150 Real HESI-Style NGN Questions NGN Item Type# of QuestionsUnfolding Case Studies (6 Qs each)15 cases = 90 QsBow-Tie Questions15Trend/Chart Interpretation12Hotspot & Highlight10Matrix Grid8Drag-and-Drop (Cloze/Prioritization)15 Every Answer Is 100% Verified & Graded A+ Each question includes: Correct Answer + Step-by-Step Rationale Nursing Process Phase HESI Client Needs Category Cognitive Level (Analysis/Judgment) Reference to Lewis, Ignatavicius, ATI, or Current Guidelines High-Weight Med Surg II Topics Covered Topic% of Exam# of QsComplex Cardiac (Post-MI, HF, Dysrhythmias)22%33Neuro Emergencies (Stroke, ICP, Seizures)18%27Respiratory Failure (ARDS, Vent Weaning)16%24Shock & MODS14%21Acute Renal & Liver Failure12%18Trauma & Burns10%15Oncology Emergencies8%12 What’s Inside This HESI Med-Surg II Mastery Package? Section 1: 150 Custom NGN Questions (Exam-Ready) Organized by Body System & NGN Type Searchable, Printable, Mobile-Friendly PDF Includes actual anonymized past HESI items Section 2: 15 Unfolding Case Studies (6 Qs Each) Real clinical scenarios: Day 1 Post-Op CABG → A-Fib → Hypoxia CVA Patient → Swallowing → Aspiration Risk ARDS on Vent → Prone Positioning → Weaning DKA → Cerebral Edema → Fluid Shift Burn Patient → Fluid Resuscitation → Infection Section 3: Full 150-Question Mock HESI Exam Timed Mode (3 hours) HESI-Style Scoring (850+ = Level 2/3) Performance Report with Remediation Links Section 4: Priority, Delegation & Safety Drills 30 Real-World Scenarios UAP vs RN Scope SBAR Handoff Practice Section 5: High-Yield Quick Reference (Printable) Parkland Formula, GCS, RASS, Braden Scale ABG Interpretation Chart Antidotes & Reversal Agents NGN Cognitive Skills Cheat Sheet Real Student Success Stories “Scored 980 on my Med Surg II HESI — the bowtie on HF management was word-for-word from this bank!” — Megan T., BSN, Chamberlain University “The unfolding stroke case taught me prioritization. Passed with 92% — instructor asked where I studied!” — Carlos R., ADN, Rasmussen College “Used this 1 week before exam. Hit Level 3. Best $29 ever.” — Lindsay P., RN, West Coast University How to Use This Test Bank for a 900+ HESI Score DayAction Plan1–2Complete 5 case studies + Review rationales350 standalone NGN items (focus: cardiac, neuro)4Full 150-Q Mock Exam + Score analysis5Remediate weak areas (use reference tables)6Priority/Delegation + Chart Qs7Light review + Sleep Target: 130/150 correct = 900+ HESI Score = Level 3 Instant Access & Lifetime Updates Digital PDF Download (No shipping) Works on PC, Mac, iPad, Phone, GoodNotes, Notability Free Updates for 2025–2026 HESI Changes 24/7 Email Support 30-Day 100% Money-Back Guarantee Who This Is For Med Surg II students taking HESI Custom Exam ATI cohort programs requiring HESI Med-Surg specialty Graduates prepping for NCLEX-RN with HESI exit Clinical instructors needing valid exam items Don’t Risk Clinical Failure or Delayed Graduation Every semester, students score <750 and get remediation or failure due to poor NGN prep. With this verified, Med Surg II-specific HESI bank, you’re practicing exactly what’s on your custom exam — no surprises. Download Now & Lock in Your 900+ Before Testing Week!

Show more Read less
Institution
Hesi
Course
Hesi











Whoops! We can’t load your doc right now. Try again or contact support.

Written for

Institution
Hesi
Course
Hesi

Document information

Uploaded on
November 14, 2025
Number of pages
51
Written in
2025/2026
Type
Exam (elaborations)
Contains
Questions & answers

Subjects

  • hesi ngn med surg upda

Get to know the seller

Seller avatar
Reputation scores are based on the amount of documents a seller has sold for a fee and the reviews they have received for those documents. There are three levels: Bronze, Silver and Gold. The better the reputation, the more your can rely on the quality of the sellers work.
DrWilliams Teachme2-tutor
View profile
Follow You need to be logged in order to follow users or courses
Sold
17
Member since
2 months
Number of followers
0
Documents
125
Last sold
1 day ago
Books Heaven Loft.

A good bookshop feels like a haven for readers—warm, welcoming, and filled with stories that inspire curiosity. Shelves are thoughtfully curated, blending new releases, timeless classics, and hidden gems. Comfortable reading nooks, friendly staff, and a cozy atmosphere invite customers to explore, linger, and fall in love with books

5.0

5 reviews

5
5
4
0
3
0
2
0
1
0

Recently viewed by you

Why students choose Stuvia

Created by fellow students, verified by reviews

Quality you can trust: written by students who passed their tests and reviewed by others who've used these notes.

Didn't get what you expected? Choose another document

No worries! You can instantly pick a different document that better fits what you're looking for.

Pay as you like, start learning right away

No subscription, no commitments. Pay the way you're used to via credit card and download your PDF document instantly.

Student with book image

“Bought, downloaded, and aced it. It really can be that simple.”

Alisha Student

Frequently asked questions