100% satisfaction guarantee Immediately available after payment Both online and in PDF No strings attached 4.2 TrustPilot
logo-home
Exam (elaborations)

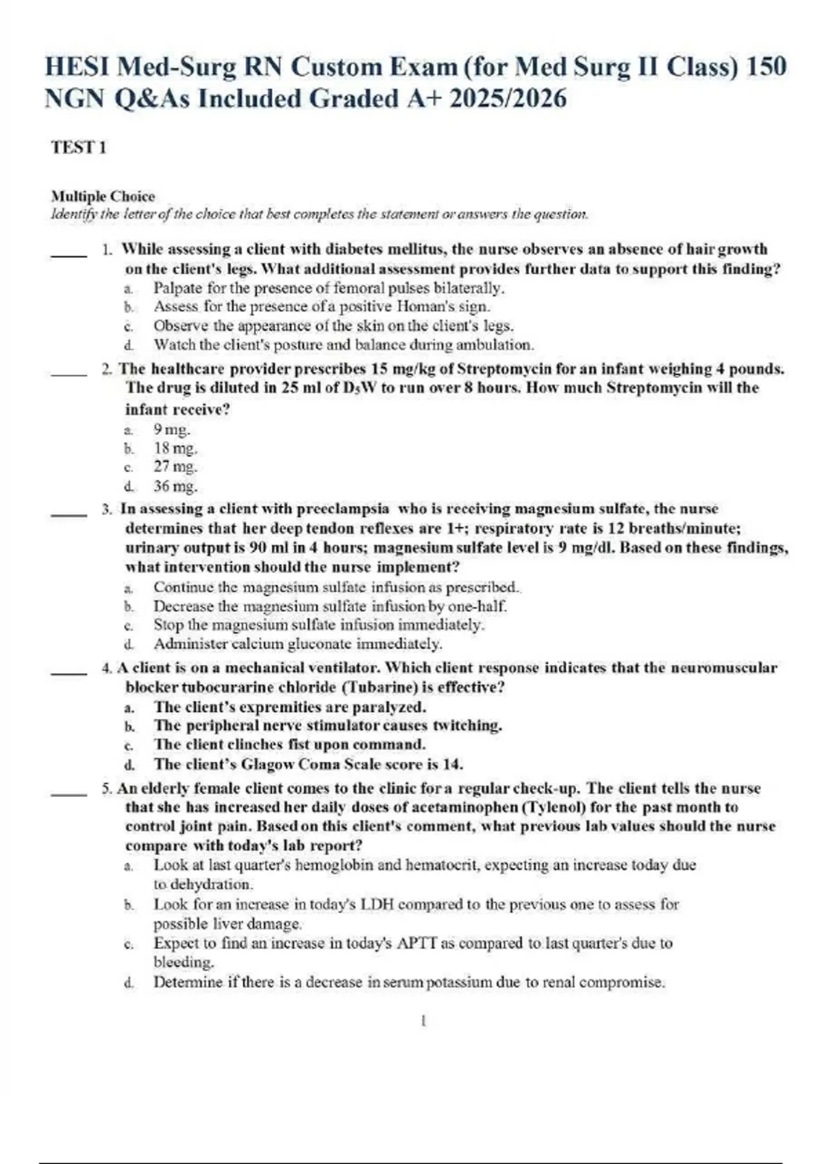
HESI Med-Surg RN Custom Exam (for Med Surg II Class) 150 NGN Q&As Included Graded A+ 2025/2026

Rating
-
Sold
-
Pages
51
Grade
A+
Uploaded on
02-10-2025
Written in
2025/2026

This document contains 150 Next Generation NCLEX-style questions and answers specifically curated for the HESI Medical-Surgical RN Custom Exam used in the Med Surg II class. It includes graded A+ content that reflects high-yield topics covered in advanced medical-surgical nursing. Ideal for exam preparation, the questions are scenario-based and follow NGN standards, helping students apply clinical judgment effectively.

Show more Read less
Institution
HESI Med-Surg RN Custom
Course
HESI Med-Surg RN Custom











Whoops! We can’t load your doc right now. Try again or contact support.

Written for

Institution
HESI Med-Surg RN Custom
Course
HESI Med-Surg RN Custom

Document information

Uploaded on
October 2, 2025
Number of pages
51
Written in
2025/2026
Type
Exam (elaborations)
Contains
Questions & answers

Subjects

Get to know the seller

Seller avatar
Reputation scores are based on the amount of documents a seller has sold for a fee and the reviews they have received for those documents. There are three levels: Bronze, Silver and Gold. The better the reputation, the more your can rely on the quality of the sellers work.
klmz Teachme2-tutor
View profile
Follow You need to be logged in order to follow users or courses
Sold
110
Member since
1 year
Number of followers
7
Documents
632
Last sold
10 hours ago

4.9

61 reviews

5
59
4
1
3
0
2
0
1
1

Recently viewed by you

Why students choose Stuvia

Created by fellow students, verified by reviews

Quality you can trust: written by students who passed their tests and reviewed by others who've used these notes.

Didn't get what you expected? Choose another document

No worries! You can instantly pick a different document that better fits what you're looking for.

Pay as you like, start learning right away

No subscription, no commitments. Pay the way you're used to via credit card and download your PDF document instantly.

Student with book image

“Bought, downloaded, and aced it. It really can be that simple.”

Alisha Student

Frequently asked questions