100% satisfaction guarantee Immediately available after payment Both online and in PDF No strings attached 4.2 TrustPilot
logo-home
Exam (elaborations)

ACS Organic Chemistry ACS Final Exam Latest 2025 Actual Questions and Verified Answers (2025 / 2026) A+ Grade 100% Guarantee Verified by Experts

Rating
1.0
(1)
Sold
2
Pages
6
Grade
A+
Uploaded on
22-08-2025
Written in
2025/2026

ACS Organic Chemistry ACS Final Exam Latest 2025 Actual Questions and Verified Answers (2025 / 2026) A+ Grade 100% Guarantee Verified by Experts. ACS EXAMS 2025 verified answers for general chemistry final. Latest ACS instrumental analysis exam questions with solutions. ACS organic chemistry final exam study guide 2025/2026. ACS physical chemistry thermochemistry practice questions. Analytical chemistry ACS exam review materials 2025. ACS gas laws exam questions with detailed explanations. ACS general chemistry exam 2025 complete question set. ACS organic chemistry first semester final exam tips. ACS physical chemistry quantum mechanics study resources. ACA chemistry final exam preparation materials 2025. ACS EXAMS 2025 actual questions for organic chemistry. ACS instrumental analysis multiple choice questions practice. ACS general chemistry 1 final exam study strategies. ACS physical chemistry thermodynamics exam preparation. Analytical chemistry ACS exam sample questions 2025

Show more Read less
Institution
ACS EXM
Course
ACS EXM









Whoops! We can’t load your doc right now. Try again or contact support.

Written for

Institution
ACS EXM
Course
ACS EXM

Document information

Uploaded on
August 22, 2025
Number of pages
6
Written in
2025/2026
Type
Exam (elaborations)
Contains
Questions & answers

Subjects

Content preview

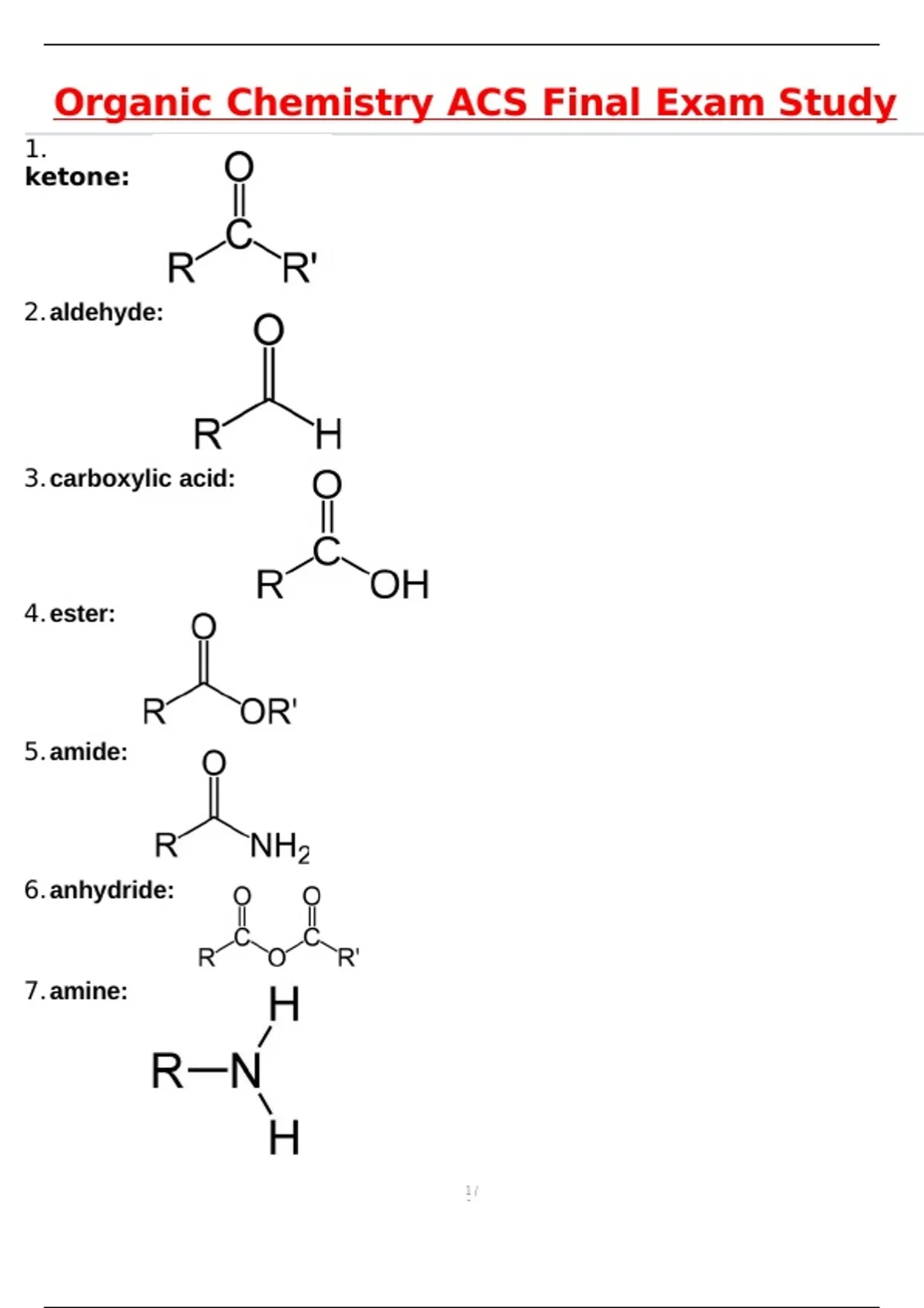
Organic Chemistry ACS Final Exam Study
1.
ketone:




2.aldehyde:




3.carboxylic acid:




4.ester:




5.amide:




6.anhydride:



7.amine:




1/
6

, 8.ether:



9.constitutional isomers: same formula, different connectivity
10.stereoisomers: same formula, different spatial arrangement
11.enantiomers: non-superimposable mirror images
12.diastereomers: stereoisomers that are not mirror images of each othe
13.R configuration: clockwise
14.S configuration: counter clockwise
15.what functional groups does a peptide bond contain: amide
16.what functional groups does a lipid contain: esters
17.what functional groups do amino acids contain?: aromatic rings
18.meso compound: molecule with multiple stereo centers and it is
superimpos- able on its mirror image
19.NO2 prefix: nitro
20.CH=CH2 prefix: vinyl
21.CH2CH=CH2 prefix: allyl
22.phenol:




23.benzoic acid:




24.aniline:




25.toluene:
2/
6

Reviews from verified buyers

Showing all reviews
6 days ago

1.0

1 reviews

5
0
4
0
3
0
2
0
1
1
Trustworthy reviews on Stuvia

All reviews are made by real Stuvia users after verified purchases.

Get to know the seller

Seller avatar
Reputation scores are based on the amount of documents a seller has sold for a fee and the reviews they have received for those documents. There are three levels: Bronze, Silver and Gold. The better the reputation, the more your can rely on the quality of the sellers work.
TIPSCORE Walden University
View profile
Follow You need to be logged in order to follow users or courses
Sold
975
Member since
2 year
Number of followers
394
Documents
10547
Last sold
16 hours ago

3.6

170 reviews

5
70
4
25
3
36
2
10
1
29

Recently viewed by you

Why students choose Stuvia

Created by fellow students, verified by reviews

Quality you can trust: written by students who passed their tests and reviewed by others who've used these notes.

Didn't get what you expected? Choose another document

No worries! You can instantly pick a different document that better fits what you're looking for.

Pay as you like, start learning right away

No subscription, no commitments. Pay the way you're used to via credit card and download your PDF document instantly.

Student with book image

“Bought, downloaded, and aced it. It really can be that simple.”

Alisha Student

Frequently asked questions