100% satisfaction guarantee Immediately available after payment Both online and in PDF No strings attached 4.6 TrustPilot
logo-home
Exam (elaborations)

Hondros College NUR 212| NUR212 Exam 3 | Answered 100% Correct; Summer 2025.

Rating
-
Sold
-
Pages
17
Grade
A+
Uploaded on
06-06-2025
Written in
2024/2025

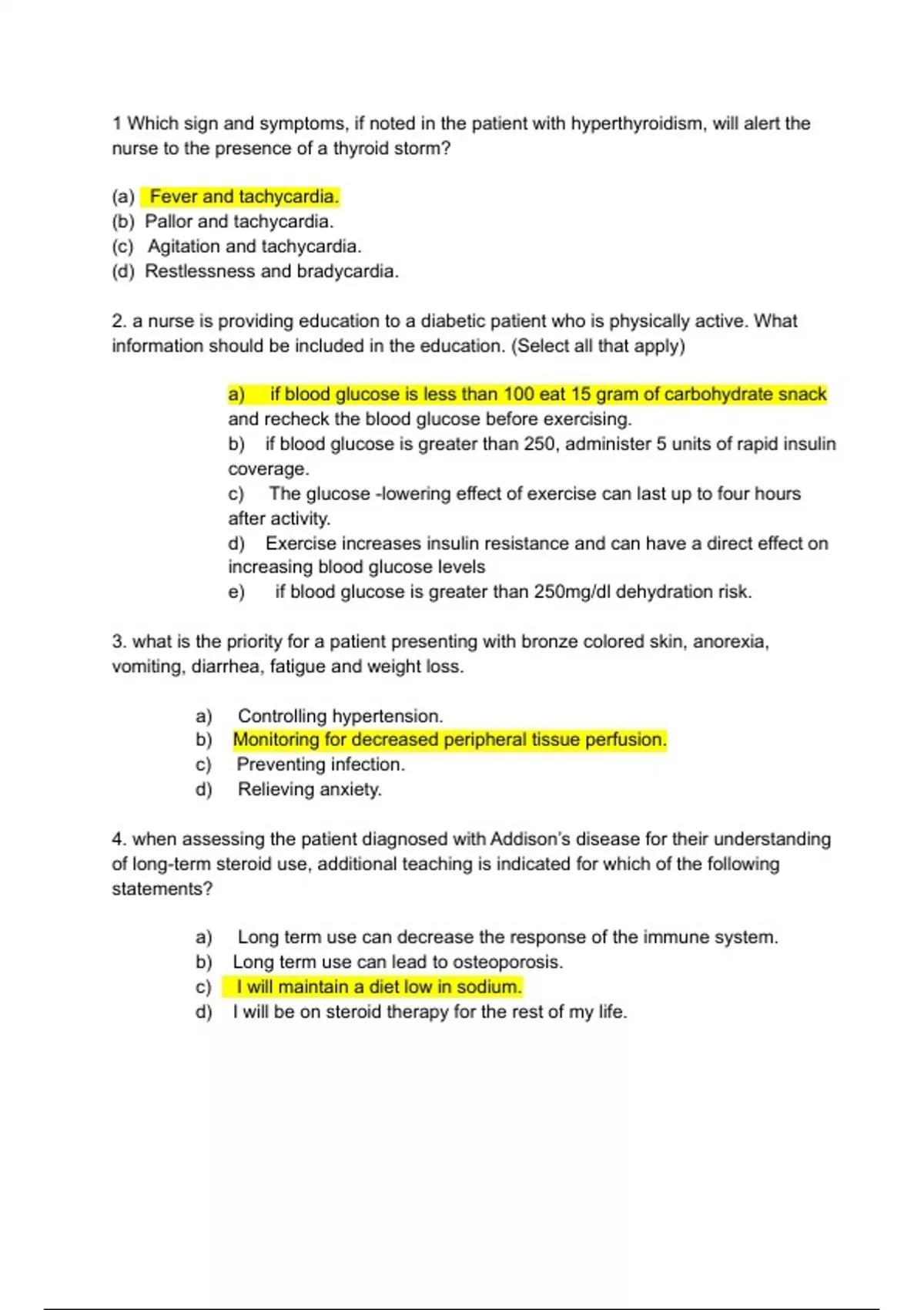
1 Which sign and symptoms, if noted in the patient with hyperthyroidism, will alert the nurse to the presence of a thyroid storm? (a) Fever and tachycardia. (b) Pallor and tachycardia. (c) Agitation and tachycardia. (d) Restlessness and bradycardia. 2. a nurse is providing education to a diabetic patient who is physically active. What information should be included in the education. (Select all that apply) a) if blood glucose is less than 100 eat 15 gram of carbohydrate snack and recheck the blood glucose before exercising. b) if blood glucose is greater than 250, administer 5 units of rapid insulin coverage. c) The glucose -lowering effect of exercise can last up to four hours after activity. d) Exercise increases insulin resistance and can have a direct effect on increasing blood glucose levels e) if blood glucose is greater than 250mg/dl dehydration risk. 3. what is the priority for a patient presenting with bronze colored skin, anorexia, vomiting, diarrhea, fatigue and weight loss. a) Controlling hypertension. b) Monitoring for decreased peripheral tissue perfusion. c) Preventing infection. d) Relieving anxiety. 4. when assessing the patient diagnosed with Addison’s disease for their understanding of long-term steroid use, additional teaching is indicated for which of the following statements? a) Long term use can decrease the response of the immune system. b) Long term use can lead to osteoporosis. c) I will maintain a diet low in sodium. d) I will be on steroid therapy for the rest of my life.5. after obtaining the following information regarding a patient with addisons, disease which prescribed action will the nurse take first? Assessment: Bronze color skin, complaints of fatigue, and poor skin turgor. Vital sign: Bp 76/40, Hr 126, RR 24, 02 Sat 94% Lab Data: Sodium 123 mEq/Potassium 5.1 mEq/L Glucose 62 mg/dL a) Give 4 oz of fruit juice orally. b) Recheck blood glucose level. c) Administer 02 therapy as needed. d) Infuse 0.9% Normal Saline. 6. The nurse is reviewing the chart of a female patient a Body Mass Index (BMI) of 30. Which clinical findings require intervention by the nurse to prevent further complications in the patient’s health? (select all that apply) a) Hemoglobin 121. 9/dL b) Blood pressure 140/90. c) Hemoglobin A1C 6.8% d) Sodium 145 mEq/L e) Triglyceride level 200 mg/mL. 7. The nurse is caring for a patient who is admitted with hyperosmolar hyperglycemic syndrome (HHS) . What is the primary nursing concept to consider when planning the initial emergency management of this patient? a) Compromised Gas Exchange. b) Acid Base imbalance c) Fluid and electrolyte imbalance. d) Patient education.8. A nurse in the emergency department (ED) suspects that a patient is in Addisonian crisis. What assessment findings support the nurse's suspicions? a) Hyperpigmentation of skin at joints. b) Weight gain, sodium retention. c) Sudden withdrawal of glucocorticoids d) Recent treatment for a respiratory infection e) Hyperglycemia. 9. A patient has just arrived on the unit after a thyroidectomy during nurse initial Assessment, which of the following is the top priority? a) Observe the dressing for bleeding, b) Check the blood pressure and pulse. c) Assess the patient respiratory effort. d) Support the patients head with pillows. 10. A nurse is caring for a patient 24 hours after a subtotal thyroidectomy. Which clinical manifestations should the nurse monitor for ? a)urine specific gravity of 1.030 b) potassium level of 5.5 mEq/L c)calcium level of 6.5 mg/dl. d)urine output less than 30 mL/hr. 11. The nurse is teaching a patient with a new diagnosis of hypothyroidism about levothyroxine. a nurse knows the patient understands the teaching when the patient states:( select all that apply) a.) I need to take this medication, by itself, first thing in the morning” b.) I need to take this medication at the same time every day” c. ) I will need to take this medication for 6 weeks and then I will be cured” d. ) I will need to have my blood drawn to check my thyroid hormone levels so the medication can be adjusted” e.) “Feelings of excitability, irritability, and/or anxiety are normal when taking this medication.”12. What information will the nurse instruct the patient about minimizing local skin reactions to insulin? a.) Injecting insulin slowly b. ) Always refrigerating it c. ) Giving it in divided doses d. ) Injecting insulin at room temperature 13, a diabetic patient is brought into the emergency department with lethargy, Weakness, and a heart rate of 122 the arterial blood gas report a PH of 7.28 and a bicarbonate of 16. Which clinical manifestation would the nurse monitor for? a) Cool,clammy, and pale skin. b) Slow ,shallow respirations and fruity breath. c) Weight gain and low urine output. d) Deep, rapid respirations and nausea. 14. A patient with ulcerative colitis is on total parenteral nutrition (TPN) at 125mL/hr from 7pm until 7am. The patient has an order for AC and HS blood sugars with Lispro (Humalog) insulin sling scale coverage. At 9:00pm a blood sugar was obtained and was noted to be 402mg/dl. What should the nurse do next? The sliding scale orders are: Blood glucose Insulin order 200mg/dl No insulin 201-250mg/dl 2 units 251-300mg/dl 4 units 301-350mg/dl 6 units 351-400mg/dl 8 units 401-450mg/dl 10 units 451 call health care provider a. Notify the health care provider. b. Administer 10 units of lispro insulin subcutaneous. c. Add 10 units of lispro insulin to the TPN bag d. Do nothing and just monitor the patient.15. A pregnant patient in the first trimester has been diagnosed with hyperthyroidism. Which prescription should the nurse anticipate for this patient? a. Propylthiouracil (propacil) b. Fludrocortisone (Florinef) c. Levothyroxine (Synthoid) d. Glipizide (Glucotro) 16.A patient is visiting a health Care Provider (HCP) for a semi-annual appointment and reports Frequent urination, being thirsty, and being hungry. A. A1C of 7% B. Fasting Plasma glucose (FPG) of 120 mg/dL C. A2-hour plasma glucose level of 130 mg/dl during an Oral Glucose Tolerance Test. D. A Glycosated Hemoglobin of 5% 17. Which information will the nurse teach to a patient who has been newly diagnosed with hyperthyroidism? (select all that apply) a) Vigorous exercise to help increase metabolic rate. b) Iodine therapy may be needed to reduce thyroid activity. c) Antithyroid medication may take several months to become fully effective. d) Surgery may eventually be required to remove the thyroid gland. e) Have an extra sweater/jacket available to stay warm.18.a patient arrives in the hospital emergency department in an unconscious state and intravenous access is initiated, a blood glucose level elevated and the result is 40 mg/dL. Which medication should the nurse anticipate to be prescribed? a) Rapid acting insulin 100 units subcutaneously. b) Bolus infusion of 0.9% Normal Saline intravenously. c) Sodium Bicarbonate 50 mL intravenously. d) 50% Dextrose intravenously. 19. The nurse is caring for a patient that had bariatric surgery three days ago. The nurse is teaching self -management care to the patient and family. A. Include ice cream in the diet for adequate calcium intake. B. Choose foods high in fiber to promote bowel function. C. Separate Fluid intake from meals due to anatomical changes. D. Use a straw when drinking fluids to increase daily intake. 20. After receiving change- of – shift report about the following four patients, which patient should the nurse assess first? A. 31- year-old with Cushing Syndrome with a blood glucose of 244 mg/gL. B. A -22-year-old status post thyroidectomy in thyrotoxicosis. C. A 70- years – old who recently started taking levothyroxine (Synthroid) and has a pulse of 104. D. A 53 –year – old who has Addison’s disease and is due for a scheduled dose of hydrocortisone (Solu-Cortex). 21. A patient has been diagnosed with Cushing’s syndrome. The nurse should assess the patient for which expected manifestations of this A. Bronze-colored skinB. Weight Loss C. Hypoglycemia D. Truncal obesity. 22. A patient scheduled for a partial thyroidectomy asks the nurse why they are receiving a solution of potassium iodine (SSKI) before surgery. Who is the best response by the nurse? A. “Iodine will help make the internal surgical environment sterile.” B. “It is given to simulate the storage of excess thyroid hormones “ C. “This will replace the hormones you will lose after your operation.” D. “It will prevent excessive bleeding and thyroid hormones during surgery.” 23. When taking the blood pressure of a patient post sub – total thyroidectomy, the nurse notes that the patient’s hand has gone into a flection type of contraction. Which Laboratory result does the nurse correlate with this condition? A. Serum Potassium, 2.9 mEg/L B. Serum Potassium, 5.8 mEq/ C. Serum Calcium 10.5 mg/dL D. Serum Calcium, 6.9 mg/dL 24. A patient Presents with elevations in triiodothyronine (T3) and thyroxine (T4) and with Low thyroid- stimulating hormone (TSH) elevates which is the nurse’s priority intervention. zx A. Administer levothyroxine (Synthroid) B. Administer propranolol (Inderal) C. Monitor the apical pulse. D. Assess for Trousseaus sign. 25. The nurse is caring for a diabetic patient and the blood glucose level is 40 mg/dL. Which of these changes in the patient’s condition would require immediate intervention? (Select all that apply).A. Acute changes in vision B. Blood pressure 100/60 C. Heart rate 60 D. Tremors E. Slurred Speech. 26. The nurse is providing patient education for a patient diagnosed with metabolic syndrome. Which statement made by the patient indicates that further teaching is needed? a. I understand that lifestyle changes, such as diet and exercise are considered first line treatment. b. I need to exercise and eat a healthy diet because I am at an increased risk for developing diabetes mellitus. c. I need to exercise more and eat a healthy diet to increase my Triglyceride levels d. I need to exercise more to increase my high density lipoprotein (HDL) level. 27. The patient diagnosed with Type 1 diabetes is found lying unconscious on the floor of the bathroom. Which intervention should the nurse implement first? a. Administer 50% dextrose IVP. b. Notify the health care provider. c. Move the patient to the ICU d. Check the serum glucose level 28. What information is important to include on the discharge teaching plan for a newly diagnosed diabetic about insulin injection A. A insulin needs to be shaken well before being drawn up into the syringe B. Intermediate acting insulins are clear in colorC. When putting regular and NPH insulin in the same syring, draw regular insulin up first D. NPH is compatible with 70/30 insulin 29. A nurse is caring for a patient after a sleeve gastrectomy. What special consideration is important to include in postoperative nursing management of the patient A. Begin ambulation in the evening on postoperative day one B. Provide a minimum of 3000 Ml of clear liquid fluids daily C. Provide low protein and high carbohydate food choices D. Obtain continuous or frequent pulse oximetry 30.A 65 year old patient with insulin Dependent diabetes mellitus complains of walking up in the middle of the night feeling shaky, sweaty and very hungry even after eating the prescribed bedtimes snack. Self-monitoring Blood glucose readings in the morning have been between 180 to mg/Ddl. What is the priority teacher for this patient? A. Increase your NPH insulin dose in the evening before bed B. Check your blood glucose when you wake up with these symptoms C. Eat a simple carbohydrate snack in the evening before bed D. Hold your evening dose of NPH insulin 31. A patient has an 8 am order for insulin NPH (Humulin N) 36 units subcutaneous daily. The patient is also on regular( Humulin R) sliding scale insulin. The morning blood sugar level is 198. What will be the total amount of insulin the nurse administers? The sliding scale orders are: Blood glucose: insulin order 200 mg/dl :no insulin 201-250 mg/ dl :2 units 251- 300mg/dl :4 units 301-350mg/dl :6 units 351- 400 mg :8 units 401- 450 mg/dl :10 units 451 call health care provider. A. 36 units B. 2 units C. 38 units D. No insulin32. During office triage, the nurse is reviewing a patient who underwent a thyroidectomy last week. During the focused assessment the patient has several complaints. Which complaint is the highest priority and requires further evaluation ? A. Pain B. Thirst C. Hoarseness D. Nausea 33. The Patient with insulin dependent diabetes mellitus (IDDM) is taking 25 of NPH ( Humulin N) insulin at 5 pm each evening. The patient should be instructed that the highest risk for a hypoglycemic reaction would happen between which times. A. Between 5:30pm – 8 pm B. Between 7 pm – 10pm C. No risk of hypoglycemia because this insulin does not peak D. Between 9pm- 5pm 34. A patient is admitted to the hospital with a diagnosis of Diabetic keto- Acidosis (DKA) The initial blood glucose was 450 mg/ dl intravenous hydration with 0.9 Normal Saline and an insulin infusion with regular insulin and an insulin infusion with regular insulin was initiated. The serum glucose level is now 240 mg/ dL which would be the next expected action of the nurse? A. Administer an ampule of 50% dextrose intravenous B. Administer lantus insulin per ordered amount subcutaneously C. Change the IV solution to 5% Dextrose and 0.9% Normal saline D. Hold the insulin infusion until blood glucose levels increase 35. A patient admitted with mental sluggishness and lethargy has a suspected diagnosis of myxedema coma. Which action would be a priority for the nurse to perform first A. Assess airway patency B. Administer IV thyroid hormone medication C. Administer IV fluid therapy D. Monitor Vital signs36. A female client with hypothyroidism is receiving levothyroxine 25 mcg P.O. which finding should cause the nurse to hold the medication? A. Dysuria B. Chest pain C. Leg cramps D. Blurred vision 37 A nurse is caring for a patient admitted for complications of diabetes mellitus Type II. The patient is being discharged home on glyburide(diabeta) which information is most important to include in the teaching plan for this prescription? A. Take the medication in the morning before eating B. Taking the medication with the first bite of food C. Monitor blood glucose for shakiness or tremors D. Hold the medication 48-72 hours before contrast dye 38 The nurse is evaluating an unlicensed assistive personnel (UAP) performing a blood glucose monitoring test. Which action would the nurse correct? a. The UAP warms the patient’s hand with warm water prior to the test b. The UAP punctures the side of side of the finger pad c. The UAP cleans the site with alcohol and uses the first drop of blood d. The UAP perform a puncture just deep enough to get a drop of blood 39 The nurse is assessing a newly diagnosed diabetic patient for hypoglycemia . What symptoms would indicate that the patient is experiencing a low blood sugar? A. Blurred vision, dry mucus membranes, constipation and urinary retention B. Tremors, shuffling gait, pill rolling, cogwheel rigidity and festination C. Shakiness, palpitations, nervousness, anxiety, diaphoresis, hunger and pallor D. Hunger, thirst excessive urination sleepy fatigued and a headache40 The nurse is providing dietary education to a patient newly diagnosed with hyperthyroidism. Which statement made by the patient indicates understanding of the education? A. I will decrease my calories and proteins and increase my carbohydrates B. I will Eliminate all carbohydrates and increase my intake of protein and fat C. I will increase my calories proteins and carbohydrates D. I will use supplemental vitamins and reduce my caloric intake 41 Which assessment finding for a 33 year old female patient admitted with hyperthyroidism requires the most rapid intervention by the nurse? A. Heart rate of 125 beats/minute B. Severe bilateral exophthalmos C. Temperature of 103.8 F(40.4) D. Blood pressure of 160/90 mm Hg 42 A patient presenting with truncal obesity. Elevated blood pressure impaired glucose and dyslipidemia is being assessed for metabolic syndrome. The nurse understands which diagnostic criteria is included for metabolic syndrome? A. Blood pressure greater than 130/85 mmHg. Triglyceride levels greater than 150mg /dl and waist circumference greater than 35 inches in women and 40 inches in men B. Fasting blood glucose greater than 126 mg/dll, waist circumference greater than 30 inches in women and 35 inches in men C. A1c greater than 6, blood pressure greater than 140/90 mmHg, HDL less than 70 mg/dl and a body mass index (BMI) greater than 35. D.Blood pressure greater than 140/Hg. Triglyceridesdes greater than 200 mg/dl, A1C greater than 7 total cholesterol greater than 250 mg/dl 43. The nurse is responsible for the care of a patient with diabetes who is unconscious and showing seizure activity. The blood glucose is 20 mg/dl which nursing actions are the most appropriate for the patient at this time? (Select all that apply) A. Check the patient chart for the most recent HgA1C result. B. Administer glucagon 1 mg subcutaneously or intramuscularly C. Repeat the dose of glucagon in 15 minutes if the patient remains unconsciousD. Position the patient on the left side E. Immediately administer glucose get sublingually 44 Which important teaching point should the nurse include in the plan of care for a patient diagnosed with cushing’s disease? A. Frequent hand washing B. Monitor weights weekly C. Avoid annual influenza vaccine D. Monitor for symptoms of hypoglycemia 45 The nurse is caring for a patient with a new diagnosis of diabetic neuropathy. Which should the nurse include in patient teaching? A. The patient should wash their feet daily with an alcohol based soap B. The patient should test the temperature of the water with their elbow C. The patient should examine their feet once a week for cuts D. The patient should apply a heating pad to painful areas on their feet. 46 Which of the following are health risks associated with obesity. (select all that apply) A. Osteoarthritis B. Type 2 diabetes mellitus C. Sleep Apnea D. Depression E. Infertility 48. A nurse is caring for a diabetic patient that reports a decrease in visual acuity. Which plan would be the highest priority for this patient? a. Demonstrating administration of prescribed insulin b. Monitoring blood glucose levels weekly c. Reviewing daily carbohydrate intake. d. Inspecting feet for wounds weekly49. The nurse is caring for a patient with a BMI of 30. What should the nurse include in the teaching plan? (select all that apply) a. Weigh regularly b. Reduce physical activity c. Consume 5 or more servings of fruits and vegetables daily d. Avoid highly processed foods made with refined white sugar and saturated fats e. Avoid all muscle strengthening activities. 50. A nurse is caring for a patient with insulin Dependent Diabetes Mellitus and Nephropathy. What would be most important for the nurse to include in the plan of care for this patient? a. Monitor for creatinine levels b. Administer an oral hypoglycemic medication c. Collect urine samples for osmolarity and PH d. Educate on using lanolin on the feet to prevent drying of skin. 51. The nurse is caring for a patient who had a thyroidectomy and is at an increased risk for hypocalcemia. What manifestations relating to hypocalcemia should the nurse assess for? a. Swelling of the neck, tracheal deviation, and severe pain b. The quality of the clients voice postoperatively noting any drastic changes c. An elevated thyroid stimulating hormone level d. Muscle twitching and numbness or tingling of the lips, fingers, and toes 52. When assessing a patient with hyperthyroidism and a notable goiter which finding by the nurse will require the most immediate action? a. New-onset changes in the patient’s voice b. Elevation in the patient’s T3 and T4 Levels c. Resting apical pulse rate of 102 beats/ minutes d. Weight gain of 2.2 pounds53. A patient has an order for 8:00 am insulin Humulin N 35 Units subcutaneous daily. The patient is also on Lispro (Humalog) sling scale insulin before meals and at bedtime. The morning blood sugar level is 250. The sliding scale orders are as follows. Blood Glucose Insulin Order 200 mg/dl No insulin 201-250mg/dl 2 units 251-300mg/dl 4 units 301-350mg/dl 6 units 350mg/dl call health care provider (HCP) What will be the total amount of insulin the nurse will administer? a. 35 units of insulin b. 37 units of insulin c. 39 units of insulin d. 2 units of insulin 54. An insulin Dependent Diabetic patient asks the nurse about the effects of alcohol on blood glucose. Which response by the nurse is best? a. Alcohol always increases blood sugar and will require additional Lantus insulin. b. Alcohol can decrease blood glucose and should be consumed with food. c. Refrain from all alcoholic beverages. d. There is no limit on alcohol if blood glucose is monitored hourly. 55. Which information obtained by the nurse in the endocrine clinic, about a patient who has been prescribed prednisone (Deltasone) 40 mg p.o daily for 3 weeks, is a priority to report to the Health Care Provider (HCP)? a. Clients has a blood pressure that is 148/94 mm Hg b. Client has bilateral 2+ pitting ankle edema c. Client has abruptly stopped taking medication 5 days ago d. Client has not been taking the prescribed vitamin D56. A patient with a diagnosis of hypothyroidism is being educated about signs and symptoms of the disease. The nurse determines that the patient understands when the patient states which signs and symptoms are associated with this diagnosis? Select all that apply a. Nervousness b. Weight gain c. Cold intolerance d. Exophthalmos e. Lethargy 57. The nurse provides medication instructions to a patient taking levothyroxine (Synthroid). Which statement by the patient indicates an understanding of the adverse drug effects of this medication? a. I will notify my health care provider if I have blurred vision b. I will notify my health care provider if I have constipation. c. I will notify my health care provider if I have an elevated heart rate d. I will notify my health care provider if I have an increase in leg cramps 58. A patient with a new diagnosis of hyperthyroidism is being educated about signs and symptoms of the disease. The nurse determines that the patient understands when the patient states which signs and symptoms are associated with this diagnosis? Select all that apply a. Insomnia b. Weight loss with increased appetite c. Cold Intolerance d. Hair loss e. Anemia. 59. The nurse is caring for a patient newly diagnosed with hypothyroidism. With symptoms would the nurse assess for? a. Exophthalmos and conjunctival redness b. Flushed warm moist skin and heat intolerance c. Systolic murmur at the left sternal border d. Decreased body temperature and cold intolerance60. A newly diagnosed diabetic patient is being discharged home. Which of these statements would indicate that the patient understands the discharge teaching? Select all that apply a. I will start counting my carbohydrate intake. b. I will stop drinking all alcoholic beverages c. I will start walking 30 minutes a day, five times a week d. I will monitor my blood glucose if I develop a headache e. I will visually inspect my feet once a month

Show more Read less

Content preview

1 Which sign and symptoms, if noted in the patient with hyperthyroidism, will alert the
nurse to the presence of a thyroid storm?

(a) Fever and tachycardia.
(b) Pallor and tachycardia.
(c) Agitation and tachycardia.
(d) Restlessness and bradycardia.

2. a nurse is providing education to a diabetic patient who is physically active. What
information should be included in the education. (Select all that apply)

a) if blood glucose is less than 100 eat 15 gram of carbohydrate snack
and recheck the blood glucose before exercising.
b) if blood glucose is greater than 250, administer 5 units of rapid insulin
coverage.
c) The glucose -lowering effect of exercise can last up to four hours
after activity.
d) Exercise increases insulin resistance and can have a direct effect on
increasing blood glucose levels
e) if blood glucose is greater than 250mg/dl dehydration risk.

3. what is the priority for a patient presenting with bronze colored skin, anorexia,
vomiting, diarrhea, fatigue and weight loss.

a) Controlling hypertension.
b) Monitoring for decreased peripheral tissue perfusion.
c) Preventing infection.
d) Relieving anxiety.

4. when assessing the patient diagnosed with Addison’s disease for their understanding
of long-term steroid use, additional teaching is indicated for which of the following
statements?

a) Long term use can decrease the response of the immune system.
b) Long term use can lead to osteoporosis.
c) I will maintain a diet low in sodium.
d) I will be on steroid therapy for the rest of my life.

,5. after obtaining the following information regarding a patient with addisons, disease
which prescribed action will the nurse take first?
Assessment: Bronze color skin, complaints of fatigue, and poor skin turgor.
Vital sign: Bp 76/40, Hr 126, RR 24, 02 Sat 94%
Lab Data: Sodium 123 mEq/Potassium 5.1 mEq/L Glucose 62 mg/dL


a) Give 4 oz of fruit juice orally.
b) Recheck blood glucose level.
c) Administer 02 therapy as needed.
d) Infuse 0.9% Normal Saline.




6. The nurse is reviewing the chart of a female patient a Body Mass Index (BMI) of 30.
Which clinical findings require intervention by the nurse to prevent further complications
in the patient’s health? (select all that apply)


a) Hemoglobin 121. 9/dL
b) Blood pressure 140/90.
c) Hemoglobin A1C 6.8%
d) Sodium 145 mEq/L
e) Triglyceride level 200 mg/mL.

7. The nurse is caring for a patient who is admitted with hyperosmolar hyperglycemic
syndrome (HHS) . What is the primary nursing concept to consider when planning the
initial emergency management of this patient?

a) Compromised Gas Exchange.
b) Acid Base imbalance
c) Fluid and electrolyte imbalance.
d) Patient education.

, 8. A nurse in the emergency department (ED) suspects that a patient is in Addisonian
crisis. What assessment findings support the nurse's suspicions?

a) Hyperpigmentation of skin at joints.
b) Weight gain, sodium retention.
c) Sudden withdrawal of glucocorticoids
d) Recent treatment for a respiratory infection
e) Hyperglycemia.


9. A patient has just arrived on the unit after a thyroidectomy during nurse initial
Assessment, which of the following is the top priority?

a) Observe the dressing for bleeding,
b) Check the blood pressure and pulse.
c) Assess the patient respiratory effort.
d) Support the patients head with pillows.

10. A nurse is caring for a patient 24 hours after a subtotal thyroidectomy. Which clinical
manifestations should the nurse monitor for ?

a)urine specific gravity of 1.030
b) potassium level of 5.5 mEq/L
c)calcium level of 6.5 mg/dl.
d)urine output less than 30 mL/hr.


11. The nurse is teaching a patient with a new diagnosis of hypothyroidism about
levothyroxine. a nurse knows the patient understands the teaching when the patient
states:( select all that apply)

a.) I need to take this medication, by itself, first thing in the morning”
b.) I need to take this medication at the same time every day”
c. ) I will need to take this medication for 6 weeks and then I will be cured”
d. ) I will need to have my blood drawn to check my thyroid hormone levels so the
medication can be adjusted”
e.) “Feelings of excitability, irritability, and/or anxiety are normal when taking this
medication.”

Document information

Uploaded on
June 6, 2025
Number of pages
17
Written in
2024/2025
Type
Exam (elaborations)
Contains
Questions & answers

Subjects

Get to know the seller

Seller avatar
Reputation scores are based on the amount of documents a seller has sold for a fee and the reviews they have received for those documents. There are three levels: Bronze, Silver and Gold. The better the reputation, the more your can rely on the quality of the sellers work.
melleystuvia Nightingale College
View profile
Follow You need to be logged in order to follow users or courses
Sold
102
Member since
10 months
Number of followers
5
Documents
1556
Last sold
1 day ago
Edusolutionguides.

We learn all subject preparation for the final exam. We give the online assignment and homework for all the subjects. That's why you prepare well for all the paperwork.

3.0

18 reviews

5
5
4
4
3
2
2
0
1
7

Recently viewed by you

Why students choose Stuvia

Created by fellow students, verified by reviews

Quality you can trust: written by students who passed their tests and reviewed by others who've used these notes.

Didn't get what you expected? Choose another document

No worries! You can instantly pick a different document that better fits what you're looking for.

Pay as you like, start learning right away

No subscription, no commitments. Pay the way you're used to via credit card and download your PDF document instantly.

Student with book image

“Bought, downloaded, and aced it. It really can be that simple.”

Alisha Student

Frequently asked questions