100% satisfaction guarantee Immediately available after payment Both online and in PDF No strings attached 4.6 TrustPilot
logo-home
Exam (elaborations)

. A nurse is reinforcing teaching with an older adult client who has osteoporosis. Which of the following instructions should the nurse in the teaching? a) "Place throw rugs on wooden floors at home. b) " b) "Supplement your diet with vitamin

Rating
-
Sold
-
Pages
30
Grade
A+
Uploaded on
21-11-2023
Written in
2023/2024

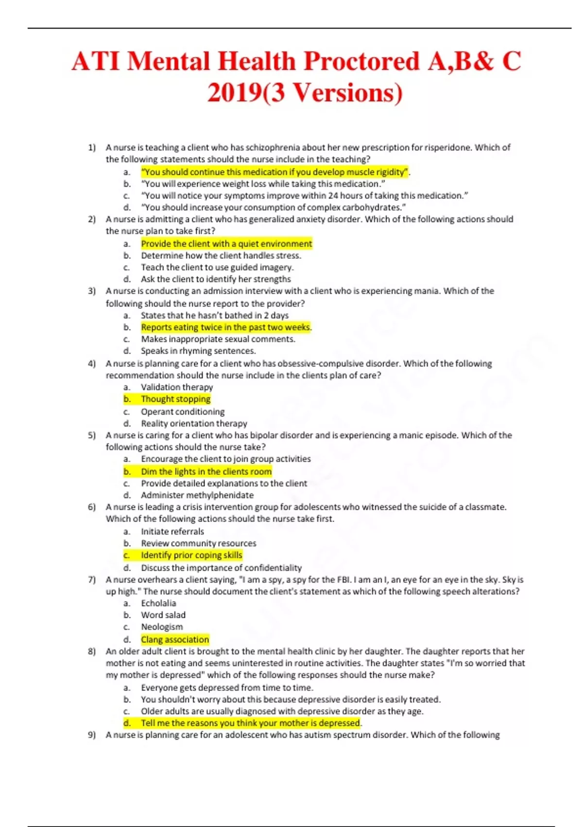
. A nurse is reinforcing teaching with an older adult client who has osteoporosis. Which of the following instructions should the nurse in the teaching? a) "Place throw rugs on wooden floors at home. b) " b) "Supplement your diet with vitamin E." c) "Swim laps for 20 minutes twice per week." d) "Take calcium supplements with meals." (The nurse should instruct the client to take calcium carbonate supplements with or following meals to increase absorption and effectiveness.) 2. A nurse is reviewing the medication record of a client who is taking digoxin. Which of the following medications should the nurse identify as increasing the risk for the client to develop digoxin toxicity? a) Potassium chloride b) Famotidine c) Levothyroxine d) Furosemide (The nurse should identify that loop diuretics, such as furosemide, increase the urinary excretion of potassium, which can lead to hypokalemia. Hypokalemia increases the risk for the development of digoxin toxicity.)

Show more Read less
Institution
Nursing Course
Course
Nursing course










Whoops! We can’t load your doc right now. Try again or contact support.

Written for

Institution
Nursing course
Course
Nursing course

Document information

Uploaded on
November 21, 2023
Number of pages
30
Written in
2023/2024
Type
Exam (elaborations)
Contains
Questions & answers

Subjects

$11.99
Get access to the full document:

100% satisfaction guarantee
Immediately available after payment
Both online and in PDF
No strings attached

Get to know the seller
Seller avatar
WisdomTeeth
1.0
(4)

Get to know the seller

Seller avatar
WisdomTeeth Abington State University
View profile
Follow You need to be logged in order to follow users or courses
Sold
4
Member since
2 year
Number of followers
1
Documents
111
Last sold
2 year ago
Breeze limited

1.0

4 reviews

5
0
4
0
3
0
2
0
1
4

Why students choose Stuvia

Created by fellow students, verified by reviews

Quality you can trust: written by students who passed their tests and reviewed by others who've used these notes.

Didn't get what you expected? Choose another document

No worries! You can instantly pick a different document that better fits what you're looking for.

Pay as you like, start learning right away

No subscription, no commitments. Pay the way you're used to via credit card and download your PDF document instantly.

Student with book image

“Bought, downloaded, and aced it. It really can be that simple.”

Alisha Student

Frequently asked questions