100% satisfaction guarantee Immediately available after payment Both online and in PDF No strings attached 4.2 TrustPilot
logo-home
Exam (elaborations)

DEP 2000 Real Estate Final Exam Review Exam 2023 with Complete Questions and Answers 100% Correct

Rating
-
Sold
-
Pages
21
Uploaded on
04-08-2023
Written in
2023/2024

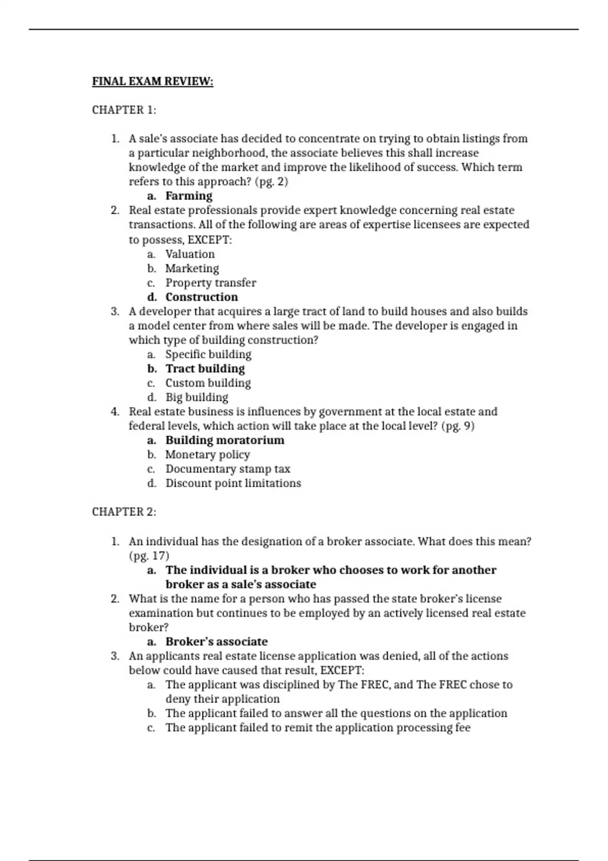
FINAL EXAM REVIEW: CHAPTER 1: 1. A sale’s associate has decided to concentrate on trying to obtain listings from a particular neighborhood, the associate believes this shall increase knowledge of the market and improve the likelihood of success. Which term refers to this approach? (pg. 2) a. Farming 2. Real estate professionals provide expert knowledge concerning real estate transactions. All of the following are areas of expertise licensees are expected to possess, EXCEPT: a. Valuation b. Marketing c. Property transfer d. Construction 3. A developer that acquires a large tract of land to build houses and also builds a model center from where sales will be made. The developer is engaged in which type of building construction? a. Specific building b. Tract building c. Custom building d. Big building 4. Real estate business is influences by government at the local estate and federal levels, which action will take place at the local level? (pg. 9) a. Building moratorium b. Monetary policy c. Documentary stamp tax d. Discount point limitations CHAPTER 2: 1. An individual has the designation of a broker associate. What does this mean? (pg. 17) a. The individual is a broker who chooses to work for another broker as a sale’s associate 2. What is the name for a person who has passed the state broker’s license examination but continues to be employed by an actively licensed real estate broker? a. Broker’s associate 3. An applicants real estate license application was denied, all of the actions below could have caused that result, EXCEPT: a. The applicant was disciplined by The FREC, and The FREC chose to deny their application b. The applicant failed to answer all the questions on the application c. The applicant failed to remit the application processing fee d. The applicant was not a US citizen 4. Franceen has been licensed, as a sale’s associate for three years, she now wishes to obtain her broker’s license. Which is correct regarding broker’s licensing requirements? a. Must have been active for the 3 years within the past 5 years b. Must obtain permission from her broker to apply for the license c. Must complete the 72 hours broker’s pre-license course, and must have been active for at least 24 months within the past 5 years d. Must prove

Show more Read less










Whoops! We can’t load your doc right now. Try again or contact support.

Document information

Uploaded on
August 4, 2023
Number of pages
21
Written in
2023/2024
Type
Exam (elaborations)
Contains
Unknown

Subjects

Get to know the seller

Seller avatar
Reputation scores are based on the amount of documents a seller has sold for a fee and the reviews they have received for those documents. There are three levels: Bronze, Silver and Gold. The better the reputation, the more your can rely on the quality of the sellers work.
greatsolutions Chamberlain College Nursing
View profile
Follow You need to be logged in order to follow users or courses
Sold
356
Member since
3 year
Number of followers
286
Documents
4087
Last sold
1 month ago
greatsolutions

Expertise in Nursing, Mathematics, History, Psychology, Economics, Biology etc,. My Work contains the latest, updated Exam Solutions, Study Guides, Notes 100% verified Guarantee Top Grades.

3.5

57 reviews

5
25
4
9
3
6
2
3
1
14

Recently viewed by you

Why students choose Stuvia

Created by fellow students, verified by reviews

Quality you can trust: written by students who passed their tests and reviewed by others who've used these notes.

Didn't get what you expected? Choose another document

No worries! You can instantly pick a different document that better fits what you're looking for.

Pay as you like, start learning right away

No subscription, no commitments. Pay the way you're used to via credit card and download your PDF document instantly.

Student with book image

“Bought, downloaded, and aced it. It really can be that simple.”

Alisha Student

Frequently asked questions