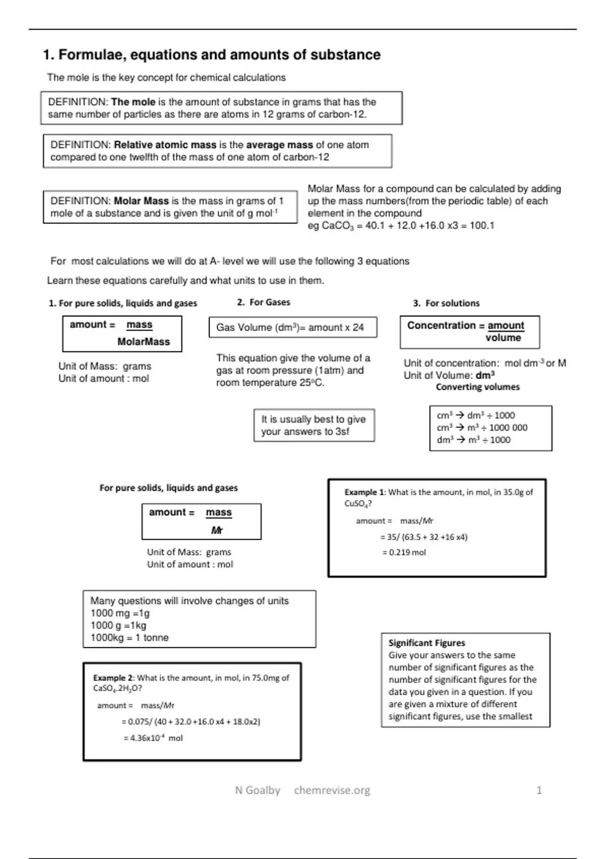
1. Formulae, equations and amounts of substance
The mole is the key concept for chemical calculations
DEFINITION: The mole is the amount of substance in grams that has the
same number of particles as there are atoms in 12 grams of carbon-12.
DEFINITION: Relative atomic mass is the average mass of one atom
compared to one twelfth of the mass of one atom of carbon-12
Molar Mass for a compound can be calculated by adding
DEFINITION: Molar Mass is the mass in grams of 1 up the mass numbers(from the periodic table) of each
mole of a substance and is given the unit of g mol-1 element in the compound
eg CaCO3 = 40.1 + 12.0 +16.0 x3 = 100.1
For most calculations we will do at A- level we will use the following 3 equations
Learn these equations carefully and what units to use in them.
1. For pure solids, liquids and gases 2. For Gases 3. For solutions
amount = mass Gas Volume (dm3)= amount x 24 Concentration = amount
MolarMass volume
This equation give the volume of a
Unit of Mass: grams Unit of concentration: mol dm-3 or M
gas at room pressure (1atm) and
Unit of amount : mol Unit of Volume: dm3
room temperature 25oC. Converting volumes
It is usually best to give cm3 dm3 ÷ 1000
your answers to 3sf cm3 m3 ÷ 1000 000
dm3 m3 ÷ 1000
For pure solids, liquids and gases Example 1: What is the amount, in mol, in 35.0g of
CuSO4?
amount = mass
amount = mass/Mr
Mr
= 35/ (63.5 + 32 +16 x4)
Unit of Mass: grams = 0.219 mol
Unit of amount : mol
Many questions will involve changes of units
1000 mg =1g
1000 g =1kg
1000kg = 1 tonne
Significant Figures
Give your answers to the same
number of significant figures as the
Example 2: What is the amount, in mol, in 75.0mg of number of significant figures for the
CaSO4.2H2O? data you given in a question. If you
amount = mass/Mr are given a mixture of different
significant figures, use the smallest
= 0.075/ (40 + 32.0 +16.0 x4 + 18.0x2)
= 4.36x10-4 mol
N Goalby chemrevise.org 1
,Hydrated salt
A Hydrated salt contains water of crystallisation Example 3
Na2SO4 . xH2O has a molar mass of 322.1, Calculate
.
Cu(NO3)2 6H2O the value of x
hydrated copper (II) nitrate(V). Molar mass xH2O = 322.1 – (23x2 + 32.1 + 16x4)
= 180
Cu(NO3)2 X = 180/18
Anhydrous copper (II) nitrate(V). =10
This method could be used for measuring mass loss in various
Heating in a crucible thermal decomposition reactions and also for mass gain when
reacting magnesium in oxygen.
The lid improves the accuracy of the
The water of crystallisation in calcium sulphate crystals can be
experiment as it prevents loss of solid
removed as water vapour by heating as shown in the following
from the crucible but should be loose
equation.
fitting to allow gas to escape.
CaSO4.xH2O(s) → CaSO4(s) + xH2O(g)
Method.
•Weigh an empty clean dry crucible and lid .
•Add 2g of hydrated calcium sulphate to the crucible and
weigh again
•Heat strongly with a Bunsen for a couple of minutes
•Allow to cool
•Weigh the crucible and contents again
•Heat crucible again and reweigh until you reach a constant
mass ( do this to ensure reaction is complete).
Large amounts of hydrated calcium sulphate, such as
50g, should not be used in this experiment as the
decomposition is like to be incomplete.
Small amounts the solid , such as
0.100 g, should not be used in
The crucible needs to be dry otherwise a wet crucible this experiment as errors in
would give an inaccurate result. It would cause mass loss weighing are too high.
to be too large as water would be lost when heating.
Example 4. 3.51 g of hydrated zinc sulphate were heated and 1.97 g
of anhydrous zinc sulphate were obtained.
Use these data to calculate the value of the integer x in ZnSO4.xH2O
Calculate the mass of H2O = 3.51 – 1.97 = 1.54g
Calculate moles Calculate moles = 1.54
= 1.97 of H2O
of ZnSO4 161.5 18
= 0.0122 =0.085
Calculate ratio of mole
of ZnSO4 to H2O = 0.0122 = 0.085
0.0122 0.0122
=7
=1
X=7
N Goalby chemrevise.org 2
,Avogadro's Constant
The mole is the amount of substance in Avogadro's Constant
grams that has the same number of There are 6.02 x 1023 atoms in 12 grams of carbon-12. Therefore
particles as there are atoms in 12 grams explained in simpler terms 'One mole of any specified entity
of carbon-12. contains 6.02 x 1023 of that entity':
1 mole of copper atoms will contain 6.02 x 1023 atoms
Avogadro's Constant can be
1 mole of carbon dioxide molecules will contain 6.02 x 1023 molecules
used for atoms, molecules and
1 mole of sodium ions will contain 6.02 x 1023 ions
ions
No of particles = amount of substance (in mol) X Avogadro's constant
Example 5: How many atoms of Tin are Example 6 : How many chloride ions are there in a 25.0
there in a 6.00 g sample of Tin metal? cm3 of a solution of magnesium chloride of concentration
amount = mass/Ar 0.400 moldm-3 ?
= 6/ 118.7 amount= concentration x Volume
= 0.05055 mol MgCl2 = 0.400 x 0.025
Number atoms = amount x 6.02 x 1023 = 0.0100 mol
There are two moles of
= 0.05055 x 6.02 x 1023 Amount of chloride ions = 0.0100 x2 chloride ions for every
= 3.04 x1022 = 0.0200 one mole of MgCl2
Number ions of Cl- = amount x 6.02 x 1023
= 0.0200 x 6.02 x 1023
= 1.204 x1022
Density calculations are usually used with pure liquids but to work out the mass
Density
from a measured volume. It can also be used with solids and gases.
density = mass Density is usually given in g cm-3
Care needs to be taken if different units are
Volume
used.
Example 7 : How many molecules of ethanol are there in a Example 8: There are 980mol of pure gold in a bar
0.500 dm3 of ethanol (CH3CH2OH) liquid ? The density of measuring 10 cm by 20 cm by 50 cm. What is the
ethanol is 0.789 g cm-3 density of gold in kg dm−3
Mass = amount x Mr
Mass = density x Volume
ethanol = 980 x 197
= 0.789 x 500
= 193060 g
= 394.5g
= 193.06kg
amount = mass/Mr
Volume = 10x20x50
= 394.5/ 46.0
= 10 000cm3
= 8.576 mol = 10dm3
Number of molecules= amount x 6.022 x 1023 density = mass/volume
= 8.576 x 6.022 x 1023 = 193/10
= 19.3 kg dm-3
= 5.16 x1024(to 3 sig fig)
N Goalby chemrevise.org 3
, Parts per million (ppm)
Concentrations can be given also in parts per million.
This is often used for gases in the atmosphere or in
exhausts, and pollutants in water.
parts per million (ppm) of = mass of substance in mixture
X 1000 000
substance, by mass total mass of mixture
Example 9 : Blood plasma typically contains 20 parts per million
(ppm) of magnesium, by mass. Calculate the mass of
magnesium, in grams, present in 100 g of plasma.
parts per million (ppm) of = mass of substance in mixture
substance, by mass total mass of mixture X 1000 000
20 = mass of substance in mixture X 1000 000
100
mass of substance in mixture = 20 x100/1000 000
= 2 x 10-3 g
N Goalby chemrevise.org 4
The mole is the key concept for chemical calculations
DEFINITION: The mole is the amount of substance in grams that has the
same number of particles as there are atoms in 12 grams of carbon-12.
DEFINITION: Relative atomic mass is the average mass of one atom
compared to one twelfth of the mass of one atom of carbon-12
Molar Mass for a compound can be calculated by adding
DEFINITION: Molar Mass is the mass in grams of 1 up the mass numbers(from the periodic table) of each
mole of a substance and is given the unit of g mol-1 element in the compound
eg CaCO3 = 40.1 + 12.0 +16.0 x3 = 100.1
For most calculations we will do at A- level we will use the following 3 equations
Learn these equations carefully and what units to use in them.
1. For pure solids, liquids and gases 2. For Gases 3. For solutions
amount = mass Gas Volume (dm3)= amount x 24 Concentration = amount
MolarMass volume
This equation give the volume of a
Unit of Mass: grams Unit of concentration: mol dm-3 or M
gas at room pressure (1atm) and
Unit of amount : mol Unit of Volume: dm3
room temperature 25oC. Converting volumes
It is usually best to give cm3 dm3 ÷ 1000
your answers to 3sf cm3 m3 ÷ 1000 000
dm3 m3 ÷ 1000
For pure solids, liquids and gases Example 1: What is the amount, in mol, in 35.0g of
CuSO4?
amount = mass
amount = mass/Mr
Mr
= 35/ (63.5 + 32 +16 x4)
Unit of Mass: grams = 0.219 mol
Unit of amount : mol
Many questions will involve changes of units
1000 mg =1g
1000 g =1kg
1000kg = 1 tonne
Significant Figures
Give your answers to the same
number of significant figures as the
Example 2: What is the amount, in mol, in 75.0mg of number of significant figures for the
CaSO4.2H2O? data you given in a question. If you
amount = mass/Mr are given a mixture of different
significant figures, use the smallest
= 0.075/ (40 + 32.0 +16.0 x4 + 18.0x2)
= 4.36x10-4 mol
N Goalby chemrevise.org 1
,Hydrated salt
A Hydrated salt contains water of crystallisation Example 3
Na2SO4 . xH2O has a molar mass of 322.1, Calculate
.
Cu(NO3)2 6H2O the value of x
hydrated copper (II) nitrate(V). Molar mass xH2O = 322.1 – (23x2 + 32.1 + 16x4)
= 180
Cu(NO3)2 X = 180/18
Anhydrous copper (II) nitrate(V). =10
This method could be used for measuring mass loss in various
Heating in a crucible thermal decomposition reactions and also for mass gain when
reacting magnesium in oxygen.
The lid improves the accuracy of the
The water of crystallisation in calcium sulphate crystals can be
experiment as it prevents loss of solid
removed as water vapour by heating as shown in the following
from the crucible but should be loose
equation.
fitting to allow gas to escape.
CaSO4.xH2O(s) → CaSO4(s) + xH2O(g)
Method.
•Weigh an empty clean dry crucible and lid .
•Add 2g of hydrated calcium sulphate to the crucible and
weigh again
•Heat strongly with a Bunsen for a couple of minutes
•Allow to cool
•Weigh the crucible and contents again
•Heat crucible again and reweigh until you reach a constant
mass ( do this to ensure reaction is complete).
Large amounts of hydrated calcium sulphate, such as
50g, should not be used in this experiment as the
decomposition is like to be incomplete.
Small amounts the solid , such as
0.100 g, should not be used in
The crucible needs to be dry otherwise a wet crucible this experiment as errors in
would give an inaccurate result. It would cause mass loss weighing are too high.
to be too large as water would be lost when heating.
Example 4. 3.51 g of hydrated zinc sulphate were heated and 1.97 g
of anhydrous zinc sulphate were obtained.
Use these data to calculate the value of the integer x in ZnSO4.xH2O
Calculate the mass of H2O = 3.51 – 1.97 = 1.54g
Calculate moles Calculate moles = 1.54
= 1.97 of H2O
of ZnSO4 161.5 18
= 0.0122 =0.085
Calculate ratio of mole
of ZnSO4 to H2O = 0.0122 = 0.085
0.0122 0.0122
=7
=1
X=7
N Goalby chemrevise.org 2
,Avogadro's Constant
The mole is the amount of substance in Avogadro's Constant
grams that has the same number of There are 6.02 x 1023 atoms in 12 grams of carbon-12. Therefore
particles as there are atoms in 12 grams explained in simpler terms 'One mole of any specified entity
of carbon-12. contains 6.02 x 1023 of that entity':
1 mole of copper atoms will contain 6.02 x 1023 atoms
Avogadro's Constant can be
1 mole of carbon dioxide molecules will contain 6.02 x 1023 molecules
used for atoms, molecules and
1 mole of sodium ions will contain 6.02 x 1023 ions
ions
No of particles = amount of substance (in mol) X Avogadro's constant
Example 5: How many atoms of Tin are Example 6 : How many chloride ions are there in a 25.0
there in a 6.00 g sample of Tin metal? cm3 of a solution of magnesium chloride of concentration
amount = mass/Ar 0.400 moldm-3 ?
= 6/ 118.7 amount= concentration x Volume
= 0.05055 mol MgCl2 = 0.400 x 0.025
Number atoms = amount x 6.02 x 1023 = 0.0100 mol
There are two moles of
= 0.05055 x 6.02 x 1023 Amount of chloride ions = 0.0100 x2 chloride ions for every
= 3.04 x1022 = 0.0200 one mole of MgCl2
Number ions of Cl- = amount x 6.02 x 1023
= 0.0200 x 6.02 x 1023
= 1.204 x1022
Density calculations are usually used with pure liquids but to work out the mass
Density
from a measured volume. It can also be used with solids and gases.
density = mass Density is usually given in g cm-3
Care needs to be taken if different units are
Volume
used.
Example 7 : How many molecules of ethanol are there in a Example 8: There are 980mol of pure gold in a bar
0.500 dm3 of ethanol (CH3CH2OH) liquid ? The density of measuring 10 cm by 20 cm by 50 cm. What is the
ethanol is 0.789 g cm-3 density of gold in kg dm−3
Mass = amount x Mr
Mass = density x Volume
ethanol = 980 x 197
= 0.789 x 500
= 193060 g
= 394.5g
= 193.06kg
amount = mass/Mr
Volume = 10x20x50
= 394.5/ 46.0
= 10 000cm3
= 8.576 mol = 10dm3
Number of molecules= amount x 6.022 x 1023 density = mass/volume
= 8.576 x 6.022 x 1023 = 193/10
= 19.3 kg dm-3
= 5.16 x1024(to 3 sig fig)
N Goalby chemrevise.org 3
, Parts per million (ppm)
Concentrations can be given also in parts per million.
This is often used for gases in the atmosphere or in
exhausts, and pollutants in water.
parts per million (ppm) of = mass of substance in mixture
X 1000 000
substance, by mass total mass of mixture
Example 9 : Blood plasma typically contains 20 parts per million
(ppm) of magnesium, by mass. Calculate the mass of
magnesium, in grams, present in 100 g of plasma.
parts per million (ppm) of = mass of substance in mixture
substance, by mass total mass of mixture X 1000 000
20 = mass of substance in mixture X 1000 000
100
mass of substance in mixture = 20 x100/1000 000
= 2 x 10-3 g
N Goalby chemrevise.org 4