100% satisfaction guarantee Immediately available after payment Both online and in PDF No strings attached 4.2 TrustPilot
logo-home
Exam (elaborations)

Solution Manual for Principles of Corporate Finance 14th Edition by Richard Brealey, Stewart Myers, Verified Chapters 1 - 34, Complete Newest Version

Rating
-
Sold
-
Pages
413
Grade
A+
Uploaded on
14-07-2025
Written in
2024/2025

Solution Manual for Principles of Corporate Finance 14th Edition by Richard Brealey, Stewart Myers, Verified Chapters 1 - 34, Complete Newest VersionSolution Manual for Principles of Corporate Finance 14th Edition by Richard Brealey, Stewart Myers, Verified Chapters 1 - 34, Complete Newest VersionSolution Manual for Principles of Corporate Finance 14th Edition by Richard Brealey, Stewart Myers, Verified Chapters 1 - 34, Complete Newest VersionSolution Manual for Principles of Corporate Finance 14th Edition by Richard Brealey, Stewart Myers, Verified Chapters 1 - 34, Complete Newest VersionSolution Manual for Principles of Corporate Finance 14th Edition by Richard Brealey, Stewart Myers, Verified Chapters 1 - 34, Complete Newest Version

Show more Read less
Institution
Principles Of Corporate Finance 14th Edition
Module
Principles of Corporate Finance 14th Edition











Whoops! We can’t load your doc right now. Try again or contact support.

Connected book

Written for

Institution
Principles of Corporate Finance 14th Edition
Module
Principles of Corporate Finance 14th Edition

Document information

Uploaded on
July 14, 2025
Number of pages
413
Written in
2024/2025
Type
Exam (elaborations)
Contains
Questions & answers

Subjects

Content preview

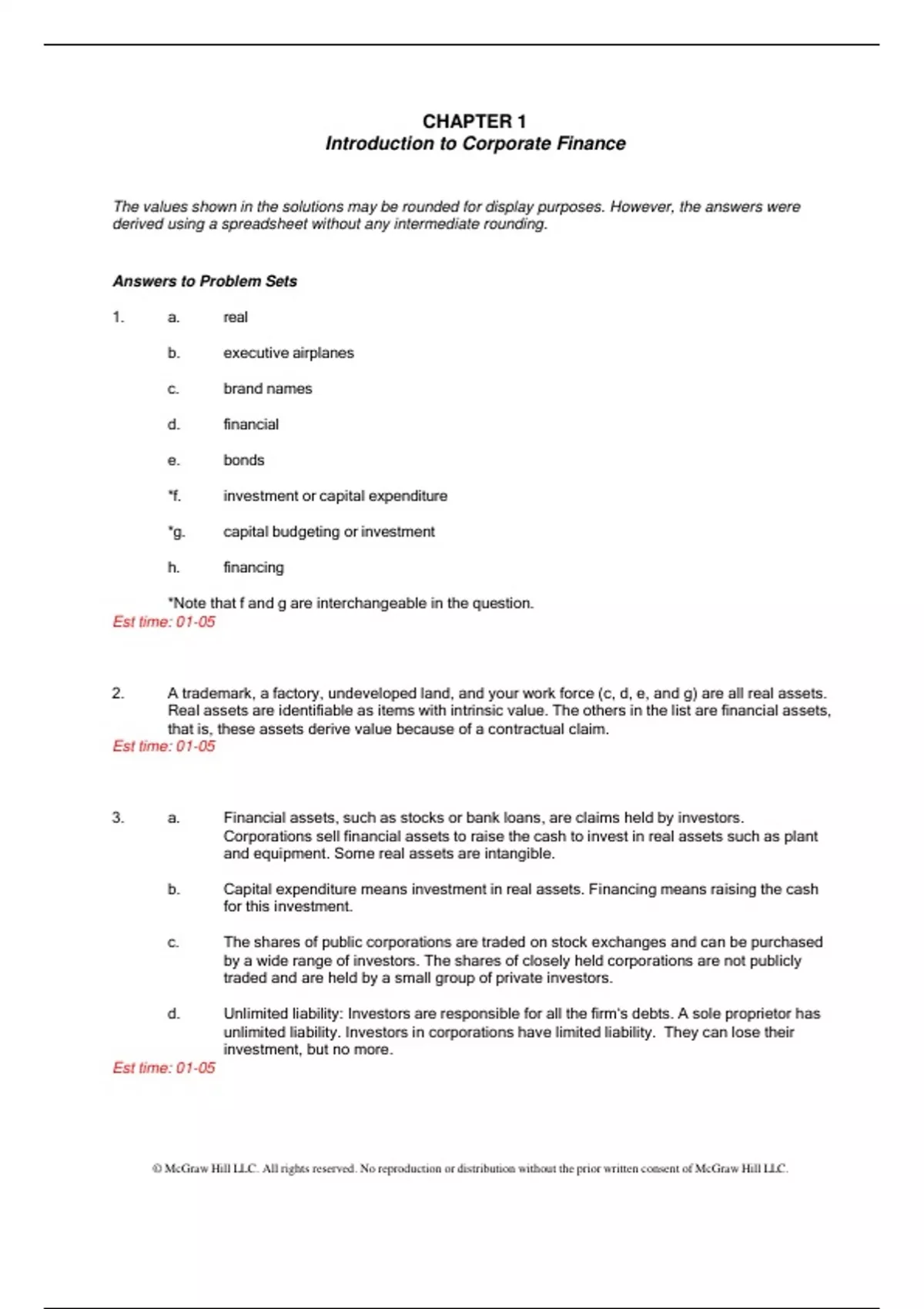
CHAPTER 1
Introduction to Corporate Finance


The values shown in the solutions may be rounded for display purposes. However, the answers were
derived using a spreadsheet without any intermediate rounding.


Answers to Problem Sets

1. a. real

b. executive airplanes

c. brand names

d. financial

e. bonds

*f. investment or capital expenditure

*g. capital budgeting or investment

h. financing

*Note that f and g are interchangeable in the question.
Est time: 01-05



2. A trademark, a factory, undeveloped land, and your work force (c, d, e, and g) are all real assets.
Real assets are identifiable as items with intrinsic value. The others in the list are financial assets,
that is, these assets derive value because of a contractual claim.
Est time: 01-05



3. a. Financial assets, such as stocks or bank loans, are claims held by investors.
Corporations sell financial assets to raise the cash to invest in real assets such as plant
and equipment. Some real assets are intangible.

b. Capital expenditure means investment in real assets. Financing means raising the cash
for this investment.

c. The shares of public corporations are traded on stock exchanges and can be purchased
by a wide range of investors. The shares of closely held corporations are not publicly
traded and are held by a small group of private investors.

d. Unlimited liability: Investors are responsible for all the firm‘s debts. A sole proprietor has
unlimited liability. Investors in corporations have limited liability. They can lose their
investment, but no more.
Est time: 01-05




© McGraw Hill LLC. All rights reserved. No reproduction or distribution without the prior written consent of McGraw Hill LLC.

,4. Items c and d apply to corporations. Because corporations have perpetual life, ownership can be
transferred without affecting operations, and managers can be fired with no effect on ownership.
Other forms of business may have unlimited liability and limited life.
Est time: 01-05



5. Separation of ownership facilitates the key attributes of a corporation, including limited liability for
investors, transferability of ownership, a separate legal personality of the corporation, and
delegated centralized management. These four attributes provide substantial benefit for
investors, including the ability to diversify their investment among many uncorrelated returns—a
very valuable tool explored in later chapters. Also, these attributes allow investors to quickly exit,
enter, or short sell an investment, thereby generating an active liquid market for corporations.

However, these positive aspects also introduce substantial negative externalities as well. The
separation of ownership from management typically leads to agency problems, where managers
prefer to consume private perks or make other decisions for their private benefit—rather than
maximize shareholder wealth. Shareholders tend to exercise less oversight of each individual
investment as their diversification increases. Finally, the corporation‘s separate legal personality
makes it difficult to enforce accountability if they externalize costs onto society.
Est time: 01-05



6. Shareholders will only vote to maximize shareholder wealth. Shareholders can modify their
pattern of consumption through borrowing and lending, match risk preferences, and hopefully
balance their own checkbooks (or hire a qualified professional to help them with these tasks).
Est time: 01-05



7. If the investment increases the firm‘s wealth, it increases the firm‘s share value. Ms. Espinoza
could then sell some or all these more valuable shares to provide for her retirement income.
Est time: 01-05



8. a. Assuming that the encabulator market is risky, an 8% expected return on
the F&H encabulator investments may be inferior to a 4% return on U.S.
government securities, depending on the relative risk between the two assets.

b. Unless the financial assets are as safe as U.S. government securities, their cost of capital
would be higher. The CFO could consider expected returns on assets with similar risk.
Est time: 06-10



9. Managers would act in shareholders‘ interests because they have a legal duty to act in their
interests. Managers may also receive compensation— bonuses, stock, and option payouts with
value tied (roughly) to firm performance. Managers may fear personal reputational damage from
not acting in shareholders‘ interests. And managers can be fired by the board of directors (elected
by shareholders). If managers still fail to act in shareholders‘ interests, shareholders may sell
their shares, lowering the stock price and potentially creating the possibility of a takeover, which
can again lead to changes in the board of directors and senior management.
Est time: 01-05




© McGraw Hill LLC. All rights reserved. No reproduction or distribution without the prior written consent of McGraw Hill LLC.

,10. Managers that are insulated from takeovers may be more prone to agency problems and
therefore more likely to act in their own interests rather than in shareholders‘. If a firm instituted a
new takeover defense, we might expect to see the value of its shares decline as agency
problems increase and less shareholder value maximization occurs. The counterargument is that
defensive measures allow managers to negotiate for a higher purchase price in the face of a
takeover bid—to the benefit of shareholder value.
Est time: 01-05



Appendix Questions:

1. Both would still invest in their friend‘s business. A invests and receives $121,000 for his
investment at the end of the year—which is greater than the $120,000 that would be received
from lending at 20% ($100,000 × 1.20 = $120,000). G also invests, but borrows against the
$121,000 payment, and thus receives $100,833 ($121,.20) today.
Est time: 01-05



2. a. He could consume up to $200,000 now (forgoing all future consumption) or up to $216,000
next year ($200,000 × 1.08, forgoing all consumption this year). He should invest all of his wealth
to earn $216,000 next year. To choose the same consumption (C) in both years, C = ($200,000
– C) × 1.08 = $103,846.

Dollars Next Year

220,000

216,000




203,704

200,000
Dollars Now


b. He should invest all of his wealth to earn $220,000 ($200,000 × 1.10) next year. If he
consumes all this year, he can now have a total of $203,703.70 ($200,000 × 1.10/1.08) this year
or $220,000 next year. If he consumes C this year, the amount available for next year‘s
consumption is ($203,703.70 – C) × 1.08. To get equal consumption in both years, set the
amount consumed today equal to the amount next year:

C = ($203,703.70 – C) × 1.08
C = $105,769.20
Est time: 06-10




© McGraw Hill LLC. All rights reserved. No reproduction or distribution without the prior written consent of McGraw Hill LLC.

, CHAPTER 2
How to Calculate Present Values


The values shown in the solutions may be rounded for display purposes. However, the answers were
derived using a spreadsheet without any intermediate rounding.


Answers to Problem Sets

1. a. False. The opportunity cost of capital varies with the risks associated with each individual
project or investment. The cost of borrowing is unrelated to these risks.

b. True. The opportunity cost of capital depends on the risks associated with each project and
its cash flows.

c. True. The opportunity cost of capital is dependent on the rates of returns shareholders can
earn on the own by investing in projects with similar risks

d. False. Bank accounts, within FDIC limits, are considered to be risk-free. Unless an investment
is also risk-free, its opportunity cost of capital must be adjusted upward to account for
the associated risks.
Est time: 01-05




2. a. In the first year, you will earn $1,000 × 0.04 = $40.00

b. In the second year, you will earn $1,040 × 0.04 = $41.60

c. By the end of the ninth year, you will accrue a principle of $1,040 × (1.049) = $1,423.31.
Therefore, in the Tenth year, you will earn $1,423.31 × 0.04 = $56.93
Est time: 01-05



3.
Transistors  Transistors  (1 r)t
2019 1972

32, 000, 000, 000  2, 250  (1 r)48

r  40.94%  59.00%  rPredicted
Est time: 01-05



4. The ―Rule of 72‖ is a rule of thumb that says with discrete compounding the time it takes for an
investment to double in value is roughly 72/interest rate (in percent).
Therefore, without a calculator, the Rule of 72 estimate is:
Time to double = 72 / r
Time to double =
Time to double = 18 years, so less than 25 years.



© McGraw Hill LLC. All rights reserved. No reproduction or distribution without the prior written consent of McGraw Hill LLC.
£12.53
Get access to the full document:

100% satisfaction guarantee
Immediately available after payment
Both online and in PDF
No strings attached

Get to know the seller
Seller avatar
LECTMERIT

Get to know the seller

Seller avatar
LECTMERIT CHAMBERLAIN UNIVERSITY
Follow You need to be logged in order to follow users or courses
Sold
6
Member since
9 months
Number of followers
0
Documents
583
Last sold
2 months ago
REALITY EXAMS

0.0

0 reviews

5
0
4
0
3
0
2
0
1
0

Recently viewed by you

Why students choose Stuvia

Created by fellow students, verified by reviews

Quality you can trust: written by students who passed their exams and reviewed by others who've used these revision notes.

Didn't get what you expected? Choose another document

No problem! You can straightaway pick a different document that better suits what you're after.

Pay as you like, start learning straight away

No subscription, no commitments. Pay the way you're used to via credit card and download your PDF document instantly.

Student with book image

“Bought, downloaded, and smashed it. It really can be that simple.”

Alisha Student

Frequently asked questions