100% satisfaction guarantee Immediately available after payment Both online and in PDF No strings attached 4.2 TrustPilot
logo-home
Exam (elaborations)

Chem Test 3

Rating
-
Sold
1
Pages
4
Grade
A
Uploaded on
11-07-2023
Written in
2022/2023

Exam of 4 pages for the course Chem1050 at U of G (Chem test)









Whoops! We can’t load your doc right now. Try again or contact support.

Document information

Uploaded on
July 11, 2023
Number of pages
4
Written in
2022/2023
Type
Exam (elaborations)
Contains
Questions & answers

Content preview

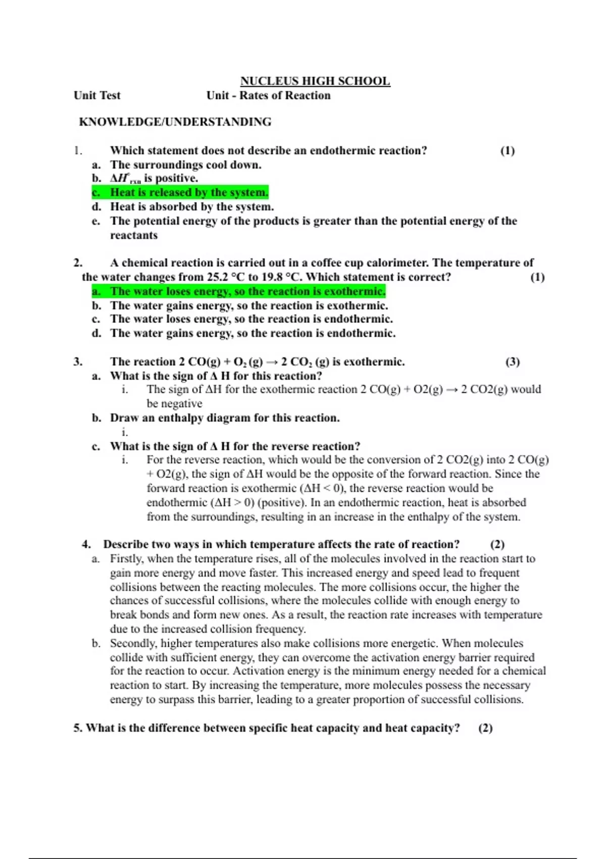
NUCLEUS HIGH SCHOOL
Unit Test Unit - Rates of Reaction

KNOWLEDGE/UNDERSTANDING

1. Which statement does not describe an endothermic reaction? (1)
a. The surroundings cool down.
b. ΔH°rxn is positive.
c. Heat is released by the system.
d. Heat is absorbed by the system.
e. The potential energy of the products is greater than the potential energy of the
reactants

2. A chemical reaction is carried out in a coffee cup calorimeter. The temperature of
the water changes from 25.2 °C to 19.8 °C. Which statement is correct? (1)
a. The water loses energy, so the reaction is exothermic.
b. The water gains energy, so the reaction is exothermic.
c. The water loses energy, so the reaction is endothermic.
d. The water gains energy, so the reaction is endothermic.

3. The reaction 2 CO(g) + O2 (g) → 2 CO2 (g) is exothermic. (3)
a. What is the sign of Δ H for this reaction?
i. The sign of ΔH for the exothermic reaction 2 CO(g) + O2(g) → 2 CO2(g) would
be negative
b. Draw an enthalpy diagram for this reaction.
i.
c. What is the sign of Δ H for the reverse reaction?
i. For the reverse reaction, which would be the conversion of 2 CO2(g) into 2 CO(g)
+ O2(g), the sign of ΔH would be the opposite of the forward reaction. Since the
forward reaction is exothermic (ΔH < 0), the reverse reaction would be
endothermic (ΔH > 0) (positive). In an endothermic reaction, heat is absorbed
from the surroundings, resulting in an increase in the enthalpy of the system.

4. Describe two ways in which temperature affects the rate of reaction? (2)
a. Firstly, when the temperature rises, all of the molecules involved in the reaction start to
gain more energy and move faster. This increased energy and speed lead to frequent
collisions between the reacting molecules. The more collisions occur, the higher the
chances of successful collisions, where the molecules collide with enough energy to
break bonds and form new ones. As a result, the reaction rate increases with temperature
due to the increased collision frequency.
b. Secondly, higher temperatures also make collisions more energetic. When molecules
collide with sufficient energy, they can overcome the activation energy barrier required
for the reaction to occur. Activation energy is the minimum energy needed for a chemical
reaction to start. By increasing the temperature, more molecules possess the necessary
energy to surpass this barrier, leading to a greater proportion of successful collisions.

5. What is the difference between specific heat capacity and heat capacity? (2)
CA$11.58
Get access to the full document:

100% satisfaction guarantee
Immediately available after payment
Both online and in PDF
No strings attached

Get to know the seller
Seller avatar
barb123

Get to know the seller

Seller avatar
barb123 University of Guelph
View profile
Follow You need to be logged in order to follow users or courses
Sold
1
Member since
2 year
Number of followers
1
Documents
7
Last sold
2 year ago

0.0

0 reviews

5
0
4
0
3
0
2
0
1
0

Recently viewed by you

Why students choose Stuvia

Created by fellow students, verified by reviews

Quality you can trust: written by students who passed their tests and reviewed by others who've used these notes.

Didn't get what you expected? Choose another document

No worries! You can instantly pick a different document that better fits what you're looking for.

Pay as you like, start learning right away

No subscription, no commitments. Pay the way you're used to via credit card and download your PDF document instantly.

Student with book image

“Bought, downloaded, and aced it. It really can be that simple.”

Alisha Student

Frequently asked questions